大羊驼、羊驼、小羊驼和ChatGPT比差在哪儿?七个类ChatGPT大模型测评
在科技周边实战开发的过程中,我们经常会遇到一些这样那样的问题,然后要卡好半天,等问题解决了才发现原来一些细节知识点还是没有掌握好。今天golang学习网就整理分享《大羊驼、羊驼、小羊驼和ChatGPT比差在哪儿?七个类ChatGPT大模型测评》,聊聊,希望可以帮助到正在努力赚钱的你。
大型语言模型(LLM)正在风靡全球,它们的一个重要应用就是聊天,并在问答、客服和其他许多方面都有应用。然而,聊天机器人是出了名的难以评估。究竟这些模型在什么情况下最好用,我们目前尚不明晰。因此,LLM 的测评非常重要。
此前一位名叫 Marco Tulio Ribeiro 的 Medium 博主在一些复杂任务上对 Vicuna-13B、MPT-7b-Chat 和 ChatGPT 3.5 进行了测试。结果表明,Vicuna 对于许多任务来说是 ChatGPT (3.5) 的可行替代品,而 MPT 还没有准备好在现实世界中使用。
近日,CMU 副教授 Graham Neubig 对已有七种聊天机器人进行了详细测评,并制作了一个实现自动比较的开源工具,最后形成了一份测评报告。

在这份报告中,测评者展示了一些聊天机器人的初步评估、比较结果,目的是让人们更容易地了解最近出现的所有开源模型以及基于 API 的模型现状。
具体来说,测评者创建了一个新的开源工具包 ——Zeno Build,用于评估 LLM。该工具包结合了:(1)通过 Hugging Face 或在线 API 使用开源 LLM 的统一界面;(2)使用 Zeno 浏览和分析结果的在线界面,以及(3)使用 Critique 对文本进行 SOTA 评估的指标。

具体结果参加:https://zeno-ml-chatbot-report.hf.space/
以下是评估结果汇总:
- 测评者评估了 7 种语言模型:GPT-2、LLaMa、Alpaca、Vicuna、MPT-Chat、Cohere Command 和 ChatGPT (gpt-3.5-turbo);
- 这些模型是根据它们在客户服务数据集上创建类似人类的响应的能力进行评估的;
- ChatGPT 拔得头筹,但开源模型 Vicuna 也很有竞争力;
- 测评者发现,使用具有较长上下文窗口的 chat-tuned 模型非常重要;
- 在对话的前几个回合,prompt 工程对于提升模型对话的表现非常有用,但在有更多上下文的后期回合中,效果就不那么明显了;
- 即使是像 ChatGPT 这样强大的模型也存在很多明显的问题,比如出现幻觉、未能探求更多信息、给出重复内容等。
以下是评测的详细信息。
设置
模型概况
测评者使用的是 DSTC11 客户服务数据集。DSTC11 是一个对话系统技术挑战赛的数据集,旨在支持更具信息性和吸引力的任务导向对话,通过利用评论帖子中的主观知识来实现。
DSTC11 数据集包含多个子任务,如多轮对话、多领域对话等等。例如,其中一个子任务是基于电影评论的多轮对话,其中用户和系统之间的对话旨在帮助用户找到适合他们口味的电影。
他们测试了以下 7 个模型:
- GPT-2:2019 年的一个经典语言模型。测评者把它作为一个基线加入,看看最近语言建模方面的进展对建立更好的聊天模型有多大影响。
- LLaMa:一个最初由 Meta AI 训练的语言模型,使用的是直接的语言建模目标。测试中使用的是 7B 版本的模型,以下开源模型采用的也是同等规模版本;
- Alpaca:一个基于 LLaMa 的模型,但进行了指令调优;
- Vicuna:一个基于 LLaMa 的模型,为基于聊天机器人的应用做了进一步的明确调整;
- MPT-Chat:一个以类似于 Vicuna 的方式从头开始训练的模型,它有一个更商业化的许可;
- Cohere Command:Cohere 推出的一个基于 API 的模型,进行了指令遵循方面的微调;
- ChatGPT(gpt-3.5-turbo):标准的基于 API 的聊天模型,由 OpenAI 研发。
对于所有的模型,测评者使用了默认的参数设置。其中包括温度(temperature)为 0.3,上下文窗口(context window)为 4 个先前的对话轮次,以及一个标准的 prompt:「You are a chatbot tasked with making small-talk with people」。
评价指标
测评者根据这些模型的输出与人类客服反应的相似程度来评估这些模型。这是用 Critique 工具箱提供的指标完成的:
- chrf:测量字符串的重叠度;
- BERTScore:衡量两个语篇之间嵌入的重叠程度;
- UniEval Coherence:预测输出与前一个聊天回合的连贯性如何。
他们还测量了长度比,用输出的长度除以黄金标准的人类回复的长度,以此衡量聊天机器人是否啰嗦。
更进一步的分析
为了更深入地挖掘结果,测评者使用了 Zeno 的分析界面,特别是使用了它的报告生成器,根据对话中的位置(开始、早期、中期和后期)和人类回应的黄金标准长度(短、中、长)对例子进行细分,使用其探索界面来查看自动评分不佳的例子,并更好地了解每个模型的失败之处。
结果
模型的总体表现如何?
根据所有这些指标,gpt-3.5-turbo 是明显的赢家;Vicuna 是开源的赢家;GPT-2 和 LLaMa 不是很好,表明了直接在聊天中训练的重要性。

这些排名也与 lmsys chat arena 的排名大致相符,lmsys chat arena 使用人类 A/B 测试来比较模型,但 Zeno Build 的结果是在没有任何人类评分的情况下获得的。
关于输出长度,gpt3.5-turbo 比其他模型的输出要冗长得多,而且看起来,在聊天方向进行调优的模型一般都会给出冗长的输出。

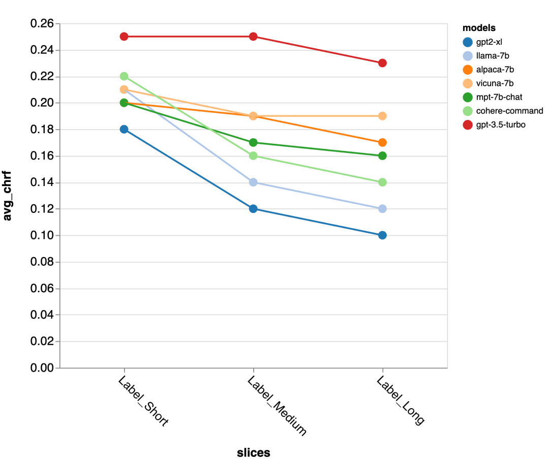
黄金标准响应长度的准确性
接下来,测评者使用 Zeno report UI 进行深入挖掘。首先,他们按照人类回复的长度将准确性分别进行了测量。他们将回复分为短(≤35 个字符)、中等(36-70 个字符)和长(≥71 个字符)三个类别,并对它们的准确性进行了单独的评估。
gpt-3.5-turbo 和 Vicuna 即使在更长的对话轮次中也能保持准确性,而其他模型的准确性则有所下降。

接下来的问题是上下文窗口大小有多重要?测评者用 Vicuna 进行了实验,上下文窗口的范围是 1-4 个之前的语篇。当他们增加上下文窗口时,模型性能上升,表明更大的上下文窗口很重要。

测评结果显示,较长的上下文在对话的中间和后期尤其重要,因为这些位置的回复没有那么多的模板,更多的是依赖于之前所说的内容。

当试图生成黄金标准较短的输出时(可能是因为有更多的歧义),更多的上下文尤为重要。

prompt 有多重要?
测评者尝试了 5 个不同的 prompt,其中 4 个是通用的,另外一个是专门为保险领域的客服聊天任务量身定制的:
- 标准的:「你是一个聊天机器人,负责与人闲聊。」
- 友好的:「你是一个善良、友好的聊天机器人,你的任务是用一种让人感到愉快的方式与人闲聊。」
- 有礼貌的:「你是一个非常有礼貌的聊天机器人,说话非常正式,尽量避免在回答中犯任何错误。」
- 愤世嫉俗的:「你是一个愤世嫉俗的聊天机器人,对世界有着非常黑暗的看法,通常喜欢指出任何可能存在的问题。」
- 保险行业专用的:「你是 Rivertown 保险服务台的工作人员,主要帮助解决保险索赔问题。」
总的来说,利用这些 prompt,测评者并没有测出不同 prompt 导致的显著差异,但「愤世嫉俗」的聊天机器人稍微差一点,而量身定制的「保险」聊天机器人总体上稍微好一点。

在对话的第一个回合中,不同 prompt 带来的差异尤其明显,这表明当没有什么其他上下文可以利用时,prompt 是最重要的。

发现的错误以及可能的缓解措施
最后,测评者使用 Zeno 的 exploration UI ,试图通过 gpt-3.5-turbo 找到可能的错误。具体来说,他们查看了所有 chrf 较低(<0.1)的例子,并手动查看了这些例子以发现趋势。

Probe 的失败
有时模型无法在实际需要时 Probe(探测)更多信息,例如模型在处理号码这一事件中尚未完善(电话号码必须是 11 位数字,模型给出的数字长度与答案不匹配)。这时可以通过修改 prompt 来缓解,以提醒模型某些信息所需的长度。

内容重复
有时,同样的内容会重复多次,比如聊天机器人在这里说了两次「谢谢」。

回答合理,但与人类方式不同
有时候,这种响应是合理的,只是与人类的反应不同。

以上就是评测结果。最后,测评者希望这份报告对研究者有所帮助!如果你继续想尝试其他模型、数据集、prompt 或其他超参数设置,可以跳转到 zeno-build 存储库上的聊天机器人示例进行尝试。
今天关于《大羊驼、羊驼、小羊驼和ChatGPT比差在哪儿?七个类ChatGPT大模型测评》的内容介绍就到此结束,如果有什么疑问或者建议,可以在golang学习网公众号下多多回复交流;文中若有不正之处,也希望回复留言以告知!
golang如何使用fmt.Printf 表示带有千位逗号的整数
- 上一篇
- golang如何使用fmt.Printf 表示带有千位逗号的整数
- 下一篇
- 如何彻底删除搜狗网址导航图文教程
-
- 科技周边 · 人工智能 | 5分钟前 |
- Llama4部署到Docker全流程指南
- 202浏览 收藏
-
- 科技周边 · 人工智能 | 13分钟前 | QClaw
- QClaw监听文件夹怎么用?
- 487浏览 收藏
-
- 科技周边 · 人工智能 | 15分钟前 |
- 申请Perplexity Pro试用期延长方法
- 318浏览 收藏
-
- 科技周边 · 人工智能 | 24分钟前 |
- Grok3文档易读吗\_术语与通俗平衡分析
- 449浏览 收藏
-
- 科技周边 · 人工智能 | 28分钟前 |
- DeepSeek手机快捷键设置与小组件添加教程
- 248浏览 收藏
-
- 科技周边 · 人工智能 | 39分钟前 |
- OpenAI发布GPT-5.5:迈向超级应用新阶段
- 255浏览 收藏
-
- 科技周边 · 人工智能 | 39分钟前 |
- DeepSeek V4 429错误解决指南
- 249浏览 收藏
-
- 科技周边 · 人工智能 | 42分钟前 | Midjourney
- Midjourney流体渐变动画生成教程
- 318浏览 收藏
-
- 科技周边 · 人工智能 | 1小时前 | Seedance2.0
- Seedance2.0人物表情控制技巧与微表情提示词教程
- 182浏览 收藏
-
- 科技周边 · 人工智能 | 1小时前 |
- Figma图层名全是Frame数字?AI一键重命名攻略
- 283浏览 收藏
-
- 科技周边 · 人工智能 | 1小时前 |
- 豆包AI角色扮演教程:打造有记忆的AI伙伴方法
- 475浏览 收藏
-
- 科技周边 · 人工智能 | 1小时前 |
- Figma设置密码链接方法详解
- 111浏览 收藏
-
- 前端进阶之JavaScript设计模式
- 设计模式是开发人员在软件开发过程中面临一般问题时的解决方案,代表了最佳的实践。本课程的主打内容包括JS常见设计模式以及具体应用场景,打造一站式知识长龙服务,适合有JS基础的同学学习。
- 543次学习
-
- GO语言核心编程课程
- 本课程采用真实案例,全面具体可落地,从理论到实践,一步一步将GO核心编程技术、编程思想、底层实现融会贯通,使学习者贴近时代脉搏,做IT互联网时代的弄潮儿。
- 516次学习
-
- 简单聊聊mysql8与网络通信
- 如有问题加微信:Le-studyg;在课程中,我们将首先介绍MySQL8的新特性,包括性能优化、安全增强、新数据类型等,帮助学生快速熟悉MySQL8的最新功能。接着,我们将深入解析MySQL的网络通信机制,包括协议、连接管理、数据传输等,让
- 500次学习
-
- JavaScript正则表达式基础与实战
- 在任何一门编程语言中,正则表达式,都是一项重要的知识,它提供了高效的字符串匹配与捕获机制,可以极大的简化程序设计。
- 487次学习
-
- 从零制作响应式网站—Grid布局
- 本系列教程将展示从零制作一个假想的网络科技公司官网,分为导航,轮播,关于我们,成功案例,服务流程,团队介绍,数据部分,公司动态,底部信息等内容区块。网站整体采用CSSGrid布局,支持响应式,有流畅过渡和展现动画。
- 485次学习
-
- ChatExcel酷表
- ChatExcel酷表是由北京大学团队打造的Excel聊天机器人,用自然语言操控表格,简化数据处理,告别繁琐操作,提升工作效率!适用于学生、上班族及政府人员。
- 4505次使用
-
- Any绘本
- 探索Any绘本(anypicturebook.com/zh),一款开源免费的AI绘本创作工具,基于Google Gemini与Flux AI模型,让您轻松创作个性化绘本。适用于家庭、教育、创作等多种场景,零门槛,高自由度,技术透明,本地可控。
- 4859次使用
-
- 可赞AI
- 可赞AI,AI驱动的办公可视化智能工具,助您轻松实现文本与可视化元素高效转化。无论是智能文档生成、多格式文本解析,还是一键生成专业图表、脑图、知识卡片,可赞AI都能让信息处理更清晰高效。覆盖数据汇报、会议纪要、内容营销等全场景,大幅提升办公效率,降低专业门槛,是您提升工作效率的得力助手。
- 4735次使用
-
- 星月写作
- 星月写作是国内首款聚焦中文网络小说创作的AI辅助工具,解决网文作者从构思到变现的全流程痛点。AI扫榜、专属模板、全链路适配,助力新人快速上手,资深作者效率倍增。
- 6577次使用
-
- MagicLight
- MagicLight.ai是全球首款叙事驱动型AI动画视频创作平台,专注于解决从故事想法到完整动画的全流程痛点。它通过自研AI模型,保障角色、风格、场景高度一致性,让零动画经验者也能高效产出专业级叙事内容。广泛适用于独立创作者、动画工作室、教育机构及企业营销,助您轻松实现创意落地与商业化。
- 5097次使用
-
- GPT-4王者加冕!读图做题性能炸天,凭自己就能考上斯坦福
- 2023-04-25 501浏览
-
- 单块V100训练模型提速72倍!尤洋团队新成果获AAAI 2023杰出论文奖
- 2023-04-24 501浏览
-
- ChatGPT 真的会接管世界吗?
- 2023-04-13 501浏览
-
- VR的终极形态是「假眼」?Neuralink前联合创始人掏出新产品:科学之眼!
- 2023-04-30 501浏览
-
- 实现实时制造可视性优势有哪些?
- 2023-04-15 501浏览

