识别「ChatGPT造假」,效果超越OpenAI:北大、华为的AI生成检测器来了
知识点掌握了,还需要不断练习才能熟练运用。下面golang学习网给大家带来一个科技周边开发实战,手把手教大家学习《识别「ChatGPT造假」,效果超越OpenAI:北大、华为的AI生成检测器来了》,在实现功能的过程中也带大家重新温习相关知识点,温故而知新,回头看看说不定又有不一样的感悟!
随着生成式大模型的不断进步,它们生成的语料正逐步逼近人类。虽然大模型正在解放无数文书的双手,它以假乱真的强劲能力也为一些不法分子所利用,造成了一系列社会问题:



来自北大、华为的研究者们提出了一种识别各式 AI 生成语料的可靠文本检测器。根据长短文本的不同特性,提出了一种基于 PU 学习的多尺度 AI 生成文本检测器训练方法。通过对检测器训练过程的改进,在同等条件下能取得在长、短 ChatGPT 语料上检测能力的可观提升,解决了目前检测器对于短文本识别精度低的痛点。
- 论文地址:https://arxiv.org/abs/2305.18149
- 代码地址 (MindSpore):https://github.com/mindspore-lab/mindone/tree/master/examples/detect_chatgpt
- 代码地址 (PyTorch):https://github.com/YuchuanTian/AIGC_text_detector
引言
随着大语言模型的生成效果越发逼真,各行各业迫切需要一款可靠的 AI 生成文本检测器。然而,不同行业对检测语料的要求不同,例如在学术界,普遍需要对大段完整的学术文本进行检测;在社交平台上,需要对相对简短而较为支离破碎的假消息进行检测。然而,既有检测器往往无法兼顾各式需求。例如,主流的一些 AI 文本检测器对较短的语料预测能力普遍较差。
对于不同长度语料的不同检测效果,作者观察到较短的 AI 生成文本可能存在着一部分归属上的「不确定性」;或者更直白地说,由于一些 AI 生成短句同时也常常被人类使用,因而很难界定 AI 生成的短文本是否来自于人或 AI。这里列举了几个人和 AI 分别对同一问题做出回答的例子:

由这些例子可见,很难对 AI 生成的简短回答进行识别:这类语料与人的区别过小,很难严格判断其真实属性。因此,将短文本简单标注为人类 / AI 并按照传统的二分类问题进行文本检测是不合适的。
针对这个问题,本研究将人类 / AI 的二分类检测部分转化为了一个部分 PU(Positive-Unlabeled)学习问题,即在较短的句子中,人的语言为正类(Positive),机器语言为无标记类(Unlabeled),以此对训练的损失函数进行了改进。此改进可观地提升了检测器在各式语料上的分类效果。
算法细节
在传统的 PU 学习设定下,一个二分类模型只能根据正训练样本和无标记训练样本进行学习。一个常用的 PU 学习方法是通过制定 PU loss 来估计负样本对应的二分类损失:

其中,
表示正样本与正标签计算的二分类损失;
表示将无标记样本全部假定为负标签计算的二分类损失;
表示将正样本假定为负标签计算的二分类损失;
表示的是先验正样本概率,即正样本在全部 PU 样本中的预估占比。在传统的 PU 学习中,通常将先验
设置为一个固定的超参数。然而在文本检测的场景中,检测器需要处理各式长度不同的文本;而对于不同长度的文本而言,其正样本在所有和该样本相同长度的 PU 样本中的预估占比也是不同的。因此,本研究对 PU Loss 进行了改进,提出了长度敏感的多尺度 PU(MPU)loss 损失函数。
具体地,本研究提出了一个抽象的循环模型对较短文本检测进行建模。传统的 NLP 模型在处理序列时,通常是一个马尔可夫链的结构,如 RNN、LSTM 等。此类循环模型的这个过程通常可以理解为一个逐渐迭代的过程,即每个 token 输出的预测,都是由上一个 token 及之前序列的预测结果和该 token 的预测结果经过变换、融合得到的。即以下过程:

为了根据这个抽象的模型进行先验概率的估计,需要假定该模型的输出为某个句子为正类(Positive)的置信度,即判定为人说出的样本的概率。假设每个 token 的贡献大小为句子 token 长度的反比,是非正(Positive)即无标记(Unlabeled)的,且为无标记的概率远远大于为正的概率。因为随着大模型的词汇量逐渐逼近人类,绝大部分词汇会同时出现在 AI 和人类语料中。根据这个简化后的模型和设定好的正 token 概率,通过求出不同输入情况下模型输出置信度的总期望,来得到最终的先验估计。

通过理论推导和实验,估计得到先验概率随着文本长度的上升而上升,最终逐渐稳定。这种现象也符合预期,因为随着文本变长,检测器可以捕捉的信息更多,文本的 「来源不确定性」也逐渐减弱:

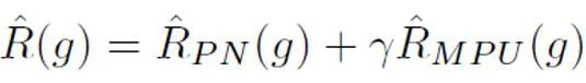
之后,对于每个正样本,根据其样本长度得到的独特先验对 PU loss 进行计算。最后,由于较短文本仅有部分 “不确定性”(即较短文本也会含有一些人或者 AI 的文本特征),可以对二分类 loss 和 MPU loss 进行加权相加,作为最终的优化目标:

此外需要注意的是,MPU loss 适配的是长度较为多样的训练语料。倘若既有的训练数据单质化明显,大部分语料为大段冗长的文本,则无法全面发挥 MPU 方法的功效。为了使得训练语料的长度更多样化,本研究还引入了一个在句子层面进行多尺度化的模块。该模块随机遮盖训练语料中的部分句子,并对余下句子在保留原有顺序的前提下进行重组。经过训练语料的多尺度化操作,训练文本得到了长度上的极大丰富,从而充分利用了 PU 学习进行 AI 文本检测器训练。
实验结果

如上表所示,作者先在较短的 AI 生成语料数据集 Tweep-Fake 上检验 MPU loss 的效果。该数据集中的语料均为推特上较为短小的语段。作者又在传统的语言模型微调基础上将传统二分类 loss 替换为含有 MPU loss 的优化目标。改进之后的语言模型检测器效果较为突出,超过了其它基线算法。

作者又对 chatGPT 生成文本进行了检测,经过传统微调得到的语言模型检测器在短句上表现较差;经过 MPU 方式在同等条件下训练得到的检测器在短句上表现良好,且同时能够在完整语料上取得可观的效果提升,F1-score 提升了 1%,超越了 OpenAI 和 DetectGPT 等 SOTA 算法。

如上表所示,作者在消融实验中观察了每个部分带来的效果增益。MPU loss 加强了长、短语料的分类效果。

作者还对比了传统 PU 和 Multiscale PU(MPU)。由上表可见 MPU 效果更胜一筹,能更好地适配 AI 多尺度文本检测的任务。
总结
作者通过提出基于多尺度 PU 学习的方案,解决了文本检测器对于短句识别的难题,随着未来 AIGC 生成模型的泛滥,对于这类内容的检测将会越来越重要。这项研究在 AI 文本检测的问题上迈出了坚实的一步,希望未来会有更多类似的研究,把 AIGC 内容进行更好的管控,防止 AI 生成内容的滥用。
今天带大家了解了的相关知识,希望对你有所帮助;关于科技周边的技术知识我们会一点点深入介绍,欢迎大家关注golang学习网公众号,一起学习编程~
Go语言中的代码优化技巧
- 上一篇
- Go语言中的代码优化技巧
- 下一篇
- 36氪首发|计划将外骨骼机器人推向C端 ,「迈宝智能」获数千万元A轮融资
-
- 科技周边 · 人工智能 | 7小时前 |
- DeepSeek多语言代码转换教程 DeepSeek跨平台开发技巧
- 424浏览 收藏
-
- 科技周边 · 人工智能 | 7小时前 | openclaw
- 学习伴侣:OpenClaw自动整理笔记与生成Anki抽认卡
- 404浏览 收藏
-
- 科技周边 · 人工智能 | 7小时前 |
- WorkBuddy vs. ChatGPT:谁更适合中国职场?
- 223浏览 收藏
-
- 科技周边 · 人工智能 | 7小时前 |
- 海螺AI主观视角开场运镜怎么拍_海螺AI沉浸式开场教程
- 444浏览 收藏
-
- 科技周边 · 人工智能 | 7小时前 |
- lovemo官方在线版 lovemo网页免费入口
- 131浏览 收藏
-
- 科技周边 · 人工智能 | 8小时前 |
- WorkBuddy存储对象怎么批量授权_利用前缀规则简化管理
- 487浏览 收藏
-
- 科技周边 · 人工智能 | 8小时前 | AI应用
- AI生成服装设计怎么操作_CalaAI辅助时尚设计教程
- 367浏览 收藏
-
- 科技周边 · 人工智能 | 9小时前 |
- 融光— 开源全流程 AI 视频创作平台,自动化工作流
- 346浏览 收藏
-
- 科技周边 · 人工智能 | 9小时前 |
- Minimax大模型API返回数据格式 JSON参数字段详细解释【文档】
- 392浏览 收藏
-
- 科技周边 · 人工智能 | 9小时前 |
- airpords怎么恢复出厂设置 airpords重置出厂设置步骤【指南】
- 160浏览 收藏
-
- 科技周边 · 人工智能 | 9小时前 | 骡子快跑
- 骡子快跑能解释错误日历_骡子快跑日志分析辅助方法
- 312浏览 收藏
-
- 前端进阶之JavaScript设计模式
- 设计模式是开发人员在软件开发过程中面临一般问题时的解决方案,代表了最佳的实践。本课程的主打内容包括JS常见设计模式以及具体应用场景,打造一站式知识长龙服务,适合有JS基础的同学学习。
- 543次学习
-
- GO语言核心编程课程
- 本课程采用真实案例,全面具体可落地,从理论到实践,一步一步将GO核心编程技术、编程思想、底层实现融会贯通,使学习者贴近时代脉搏,做IT互联网时代的弄潮儿。
- 516次学习
-
- 简单聊聊mysql8与网络通信
- 如有问题加微信:Le-studyg;在课程中,我们将首先介绍MySQL8的新特性,包括性能优化、安全增强、新数据类型等,帮助学生快速熟悉MySQL8的最新功能。接着,我们将深入解析MySQL的网络通信机制,包括协议、连接管理、数据传输等,让
- 500次学习
-
- JavaScript正则表达式基础与实战
- 在任何一门编程语言中,正则表达式,都是一项重要的知识,它提供了高效的字符串匹配与捕获机制,可以极大的简化程序设计。
- 487次学习
-
- 从零制作响应式网站—Grid布局
- 本系列教程将展示从零制作一个假想的网络科技公司官网,分为导航,轮播,关于我们,成功案例,服务流程,团队介绍,数据部分,公司动态,底部信息等内容区块。网站整体采用CSSGrid布局,支持响应式,有流畅过渡和展现动画。
- 485次学习
-
- ChatExcel酷表
- ChatExcel酷表是由北京大学团队打造的Excel聊天机器人,用自然语言操控表格,简化数据处理,告别繁琐操作,提升工作效率!适用于学生、上班族及政府人员。
- 4446次使用
-
- Any绘本
- 探索Any绘本(anypicturebook.com/zh),一款开源免费的AI绘本创作工具,基于Google Gemini与Flux AI模型,让您轻松创作个性化绘本。适用于家庭、教育、创作等多种场景,零门槛,高自由度,技术透明,本地可控。
- 4801次使用
-
- 可赞AI
- 可赞AI,AI驱动的办公可视化智能工具,助您轻松实现文本与可视化元素高效转化。无论是智能文档生成、多格式文本解析,还是一键生成专业图表、脑图、知识卡片,可赞AI都能让信息处理更清晰高效。覆盖数据汇报、会议纪要、内容营销等全场景,大幅提升办公效率,降低专业门槛,是您提升工作效率的得力助手。
- 4680次使用
-
- 星月写作
- 星月写作是国内首款聚焦中文网络小说创作的AI辅助工具,解决网文作者从构思到变现的全流程痛点。AI扫榜、专属模板、全链路适配,助力新人快速上手,资深作者效率倍增。
- 6468次使用
-
- MagicLight
- MagicLight.ai是全球首款叙事驱动型AI动画视频创作平台,专注于解决从故事想法到完整动画的全流程痛点。它通过自研AI模型,保障角色、风格、场景高度一致性,让零动画经验者也能高效产出专业级叙事内容。广泛适用于独立创作者、动画工作室、教育机构及企业营销,助您轻松实现创意落地与商业化。
- 5051次使用
-
- GPT-4王者加冕!读图做题性能炸天,凭自己就能考上斯坦福
- 2023-04-25 501浏览
-
- 单块V100训练模型提速72倍!尤洋团队新成果获AAAI 2023杰出论文奖
- 2023-04-24 501浏览
-
- ChatGPT 真的会接管世界吗?
- 2023-04-13 501浏览
-
- VR的终极形态是「假眼」?Neuralink前联合创始人掏出新产品:科学之眼!
- 2023-04-30 501浏览
-
- 实现实时制造可视性优势有哪些?
- 2023-04-15 501浏览

