利用大模型打造文本摘要训练新范式
在IT行业这个发展更新速度很快的行业,只有不停止的学习,才不会被行业所淘汰。如果你是科技周边学习者,那么本文《利用大模型打造文本摘要训练新范式》就很适合你!本篇内容主要包括##content_title##,希望对大家的知识积累有所帮助,助力实战开发!
1、文本任务
该文章的主要议题是关于生成式文本摘要技术,探讨如何运用对比学习和大型模型实现最先进的生成式文本摘要训练方法。主要涉及两篇文章,一篇是BRIO: Bringing Order to Abstractive Summarization(2022),利用对比学习在生成模型中引入ranking任务;另一篇是On Learning to Summarize with Large Language Models as References(2023),在BRIO基础上进一步引入大模型生成高质量训练数据。
2、生成式文本摘要训练方法和问题
生成式文本摘要的训练一般采用极大似估计的方式。首先用一个Encoder对document进行编码,然后用一个Decoder递归的预测摘要中的每个文本,拟合的目标是一个人工构造的摘要标准答案。我们可以将整个优化函数表达为以下形式,使得每个位置生成文本的概率与标准答案尽可能接近:

这种方式的问题在于,训练和下游实际任务并不一致。一个document能够生成多个摘要,这些摘要的品质存在高低之分。而MLE要求拟合的目标必须是唯一一个标准答案。由于这种差距,文本摘要模型无法很好地评估两个质量不同的摘要的优劣。例如在BRIO这篇论文中做了一个实验,一般的文本摘要模型在判断质量不同的两个摘要的相对顺序时,效果非常差。

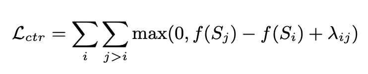
3、生成模型引入排序对比学习
为了解决传统生成式文本摘要模型存在的问题,BRIO: Bringing Order to Abstractive Summarization(2022)提出在生成模型中进一步引入对比学习任务,提升模型对不同质量摘要的排序能力。

BRIO采用多任务的形式进行训练。第一个任务与传统生成式模型相似,采用最大似然估计的方法来拟合标准答案。第二个任务是一个对比学习任务,让一个预训练的文本摘要模型使用beam search生成不同的两个结果,使用ROUGE评估这两个生成结果和标准答案之间哪个更好,以确定这两个摘要的排序。这两个摘要结果输入到Decoder中,得到两个摘要的概率,通过对比学习loss让模型给高质量摘要更高的打分。这部分对比学习loss的计算方式如下:


4、大模型优化文本摘要
人们发现,使用大型模型生成的摘要质量甚至超过了人工生成的摘要,这是随着GPT等大型模型的兴起而实现的。这种情况下,使用人工生成的标准答案就限制了模型效果的天花板。因此On Learning to Summarize with Large Language Models as References(2023)提出使用GPT这种大模型生成训练数据,指导摘要模型学习。
这篇文章提出了3种利用大模型生成训练样本的方式。
第一种是直接使用大模型生成的摘要,替代人工生成的摘要,相当于直接用下游模型拟合大模型的摘要生成能力,训练方式仍然是MLE。
第二种方式为GPTScore,主要是利用预训练大模型对生成的摘要进行打分,以这个打分作为评估摘要质量的依据,然后使用类似BRIO中的方式进行对比学习训练。GPTScore是Gptscore: Evaluate as you desire(2023)中提出的一种基于大模型评估生成文本质量的方法。

第三种方式为GPTRank,这种方法让大模型对各个摘要进行排序而非直接打分,并让大模型对排序逻辑做出解释,以此获取更合理的排序结果。

5、总结
大模型在摘要生成上的能力得到越来越广泛的认可,因此利用大模型作为摘要模型拟合目标的生成器,取代人工标注结果,将成为未来的发展趋势。同时,利用排序对比学习进行摘要生成的训练,让摘要模型感知摘要质量,超越原本的点拟合,对于提升摘要模型效果也至关重要。
以上就是本文的全部内容了,是否有顺利帮助你解决问题?若是能给你带来学习上的帮助,请大家多多支持golang学习网!更多关于科技周边的相关知识,也可关注golang学习网公众号。
如何使用 Go 语言进行智能办公开发?
- 上一篇
- 如何使用 Go 语言进行智能办公开发?
- 下一篇
- 英伟达的AI领域垄断地位:一直无法撼动吗?
-
- 科技周边 · 人工智能 | 4小时前 |
- Recraft AI注册地址及账号登录教程
- 293浏览 收藏
-
- 科技周边 · 人工智能 | 4小时前 |
- TOFAI官网登录入口及手机访问指南
- 415浏览 收藏
-
- 科技周边 · 人工智能 | 4小时前 | 百度AI 百度AI工具
- 百度AI手机识旋律方法教程
- 364浏览 收藏
-
- 科技周边 · 人工智能 | 4小时前 | CanvaAI Canva可画
- Canva可画官网入口及网页版使用指南
- 226浏览 收藏
-
- 科技周边 · 人工智能 | 5小时前 |
- AI一键部署Gradio应用教程
- 149浏览 收藏
-
- 科技周边 · 人工智能 | 5小时前 | Hermes Agent HermesAgent
- 企业微信Hermes Agent接入教程详解
- 483浏览 收藏
-
- 科技周边 · 人工智能 | 5小时前 | openclaw
- Mac安装OpenClaw及AI部署教程
- 251浏览 收藏
-
- 科技周边 · 人工智能 | 6小时前 |
- Figma图层命名加Emoji,批量重命名工具教程
- 168浏览 收藏
-
- 科技周边 · 人工智能 | 6小时前 |
- 百度AI搜索如何追溯信息来源链
- 357浏览 收藏
-
- 科技周边 · 人工智能 | 6小时前 | Vision Veo 3 Vision Banana
- Veo 3 运动描述技巧\_复杂物理过程怎么写
- 233浏览 收藏
-
- 科技周边 · 人工智能 | 6小时前 | Capybara
- CapybaraAI关闭动画方法及流畅优化技巧
- 208浏览 收藏
-
- 前端进阶之JavaScript设计模式
- 设计模式是开发人员在软件开发过程中面临一般问题时的解决方案,代表了最佳的实践。本课程的主打内容包括JS常见设计模式以及具体应用场景,打造一站式知识长龙服务,适合有JS基础的同学学习。
- 543次学习
-
- GO语言核心编程课程
- 本课程采用真实案例,全面具体可落地,从理论到实践,一步一步将GO核心编程技术、编程思想、底层实现融会贯通,使学习者贴近时代脉搏,做IT互联网时代的弄潮儿。
- 516次学习
-
- 简单聊聊mysql8与网络通信
- 如有问题加微信:Le-studyg;在课程中,我们将首先介绍MySQL8的新特性,包括性能优化、安全增强、新数据类型等,帮助学生快速熟悉MySQL8的最新功能。接着,我们将深入解析MySQL的网络通信机制,包括协议、连接管理、数据传输等,让
- 500次学习
-
- JavaScript正则表达式基础与实战
- 在任何一门编程语言中,正则表达式,都是一项重要的知识,它提供了高效的字符串匹配与捕获机制,可以极大的简化程序设计。
- 487次学习
-
- 从零制作响应式网站—Grid布局
- 本系列教程将展示从零制作一个假想的网络科技公司官网,分为导航,轮播,关于我们,成功案例,服务流程,团队介绍,数据部分,公司动态,底部信息等内容区块。网站整体采用CSSGrid布局,支持响应式,有流畅过渡和展现动画。
- 485次学习
-
- ChatExcel酷表
- ChatExcel酷表是由北京大学团队打造的Excel聊天机器人,用自然语言操控表格,简化数据处理,告别繁琐操作,提升工作效率!适用于学生、上班族及政府人员。
- 4514次使用
-
- Any绘本
- 探索Any绘本(anypicturebook.com/zh),一款开源免费的AI绘本创作工具,基于Google Gemini与Flux AI模型,让您轻松创作个性化绘本。适用于家庭、教育、创作等多种场景,零门槛,高自由度,技术透明,本地可控。
- 4865次使用
-
- 可赞AI
- 可赞AI,AI驱动的办公可视化智能工具,助您轻松实现文本与可视化元素高效转化。无论是智能文档生成、多格式文本解析,还是一键生成专业图表、脑图、知识卡片,可赞AI都能让信息处理更清晰高效。覆盖数据汇报、会议纪要、内容营销等全场景,大幅提升办公效率,降低专业门槛,是您提升工作效率的得力助手。
- 4742次使用
-
- 星月写作
- 星月写作是国内首款聚焦中文网络小说创作的AI辅助工具,解决网文作者从构思到变现的全流程痛点。AI扫榜、专属模板、全链路适配,助力新人快速上手,资深作者效率倍增。
- 6591次使用
-
- MagicLight
- MagicLight.ai是全球首款叙事驱动型AI动画视频创作平台,专注于解决从故事想法到完整动画的全流程痛点。它通过自研AI模型,保障角色、风格、场景高度一致性,让零动画经验者也能高效产出专业级叙事内容。广泛适用于独立创作者、动画工作室、教育机构及企业营销,助您轻松实现创意落地与商业化。
- 5103次使用
-
- GPT-4王者加冕!读图做题性能炸天,凭自己就能考上斯坦福
- 2023-04-25 501浏览
-
- 单块V100训练模型提速72倍!尤洋团队新成果获AAAI 2023杰出论文奖
- 2023-04-24 501浏览
-
- ChatGPT 真的会接管世界吗?
- 2023-04-13 501浏览
-
- VR的终极形态是「假眼」?Neuralink前联合创始人掏出新产品:科学之眼!
- 2023-04-30 501浏览
-
- 实现实时制造可视性优势有哪些?
- 2023-04-15 501浏览

