统计题解法技巧与思路解析
2026-02-15 21:27:49
0浏览
收藏
本文深入解析概率统计中的三类核心概念题,从并集概率公式的直接应用,到补集逻辑的严谨推导,再到双重否定的简洁处理,层层递进地揭示解题背后的思维路径与关键技巧,帮助读者夯实基础、突破理解盲区,轻松应对统计考试中的高频考点。
今天共同探讨概率统计中的经典例题解析。
1、 首先呈现题目内容

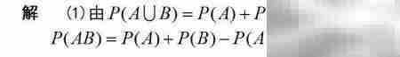
2、 第一问重点检验对基础公式的熟悉程度

3、 直接套用并集概率公式:p(a∪b) = p(a) + p(b) − p(ab),即可顺利解出。

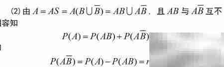
4、 第二问聚焦于“非”(补集)运算的逻辑理解与应用

5、 由条件 A = AS 出发,推导得出所需关系式

6、 第三问考察双重否定(两个“非”)的含义与处理方法。
7、 实际操作中,一般仅需执行一次规范步骤即可完成。

以上就是本文的全部内容了,是否有顺利帮助你解决问题?若是能给你带来学习上的帮助,请大家多多支持golang学习网!更多关于文章的相关知识,也可关注golang学习网公众号。
PS改衣色技巧,三招提升质感秘诀
- 上一篇
- PS改衣色技巧,三招提升质感秘诀
- 下一篇
- Go标准路由路径校验与复用方法
查看更多
最新文章
-
- 文章 · 软件教程 | 7小时前 |
- 优酷怎么清除缓存数据_优酷APP缓存清理方法
- 331浏览 收藏
-
- 文章 · 软件教程 | 7小时前 |
- windows11如何卸载Windows功能比如IE浏览器_windows11卸载系统组件功能的方法
- 275浏览 收藏
-
- 文章 · 软件教程 | 7小时前 |
- 邮政快递单号追踪入口 邮政快递快件信息网页端访问
- 256浏览 收藏
-
- 文章 · 软件教程 | 7小时前 |
- 如何在Windows中查看SSD硬盘真实读写速度 官方磁盘测速工具教程
- 431浏览 收藏
-
- 文章 · 软件教程 | 7小时前 |
- 小红书官网首页登录 小红书网页版官方网站
- 490浏览 收藏
-
- 文章 · 软件教程 | 7小时前 |
- 如何解决 Windows 11 系统蓝牙开关突然消失 修复设备管理器驱动报错
- 134浏览 收藏
-
- 文章 · 软件教程 | 7小时前 | 千牛客户端
- 千牛卖家中心官网入口_千牛卖家中心官网入口进入途径
- 122浏览 收藏
-
- 文章 · 软件教程 | 7小时前 |
- 如何开启 Windows 11 的“内核隔离”保护 提高系统内存安全性设置方法
- 408浏览 收藏
-
- 文章 · 软件教程 | 7小时前 |
- win11怎么设置休眠不掉网 win11怎么开启休眠联网功能【精选】
- 121浏览 收藏
-
- 文章 · 软件教程 | 7小时前 |
- 可可英语桌面歌词锁定方法
- 199浏览 收藏
-
- 文章 · 软件教程 | 7小时前 |
- 苹果iCloud官方页面 网页版登录入口
- 406浏览 收藏
-
- 文章 · 软件教程 | 7小时前 |
- 如何彻底重装 Windows 11 系统并保留所有个人资料 官方系统无损重装方法
- 160浏览 收藏
查看更多
课程推荐
-
- 前端进阶之JavaScript设计模式
- 设计模式是开发人员在软件开发过程中面临一般问题时的解决方案,代表了最佳的实践。本课程的主打内容包括JS常见设计模式以及具体应用场景,打造一站式知识长龙服务,适合有JS基础的同学学习。
- 543次学习
-
- GO语言核心编程课程
- 本课程采用真实案例,全面具体可落地,从理论到实践,一步一步将GO核心编程技术、编程思想、底层实现融会贯通,使学习者贴近时代脉搏,做IT互联网时代的弄潮儿。
- 516次学习
-
- 简单聊聊mysql8与网络通信
- 如有问题加微信:Le-studyg;在课程中,我们将首先介绍MySQL8的新特性,包括性能优化、安全增强、新数据类型等,帮助学生快速熟悉MySQL8的最新功能。接着,我们将深入解析MySQL的网络通信机制,包括协议、连接管理、数据传输等,让
- 500次学习
-
- JavaScript正则表达式基础与实战
- 在任何一门编程语言中,正则表达式,都是一项重要的知识,它提供了高效的字符串匹配与捕获机制,可以极大的简化程序设计。
- 487次学习
-
- 从零制作响应式网站—Grid布局
- 本系列教程将展示从零制作一个假想的网络科技公司官网,分为导航,轮播,关于我们,成功案例,服务流程,团队介绍,数据部分,公司动态,底部信息等内容区块。网站整体采用CSSGrid布局,支持响应式,有流畅过渡和展现动画。
- 485次学习
查看更多
AI推荐
-
- ChatExcel酷表
- ChatExcel酷表是由北京大学团队打造的Excel聊天机器人,用自然语言操控表格,简化数据处理,告别繁琐操作,提升工作效率!适用于学生、上班族及政府人员。
- 4446次使用
-
- Any绘本
- 探索Any绘本(anypicturebook.com/zh),一款开源免费的AI绘本创作工具,基于Google Gemini与Flux AI模型,让您轻松创作个性化绘本。适用于家庭、教育、创作等多种场景,零门槛,高自由度,技术透明,本地可控。
- 4801次使用
-
- 可赞AI
- 可赞AI,AI驱动的办公可视化智能工具,助您轻松实现文本与可视化元素高效转化。无论是智能文档生成、多格式文本解析,还是一键生成专业图表、脑图、知识卡片,可赞AI都能让信息处理更清晰高效。覆盖数据汇报、会议纪要、内容营销等全场景,大幅提升办公效率,降低专业门槛,是您提升工作效率的得力助手。
- 4680次使用
-
- 星月写作
- 星月写作是国内首款聚焦中文网络小说创作的AI辅助工具,解决网文作者从构思到变现的全流程痛点。AI扫榜、专属模板、全链路适配,助力新人快速上手,资深作者效率倍增。
- 6468次使用
-
- MagicLight
- MagicLight.ai是全球首款叙事驱动型AI动画视频创作平台,专注于解决从故事想法到完整动画的全流程痛点。它通过自研AI模型,保障角色、风格、场景高度一致性,让零动画经验者也能高效产出专业级叙事内容。广泛适用于独立创作者、动画工作室、教育机构及企业营销,助您轻松实现创意落地与商业化。
- 5051次使用
查看更多
相关文章
-
- pe系统下载好如何重装的具体教程
- 2023-05-01 501浏览
-
- qq游戏大厅怎么开启蓝钻提醒功能-qq游戏大厅开启蓝钻提醒功能教程
- 2023-04-29 501浏览
-
- 吉吉影音怎样播放网络视频 吉吉影音播放网络视频的操作步骤
- 2023-04-09 501浏览
-
- 腾讯会议怎么使用电脑音频 腾讯会议播放电脑音频的方法
- 2023-04-04 501浏览
-
- PPT制作图片滚动效果的简单方法
- 2023-04-26 501浏览

