羊驼家族大模型集体进化!32k上下文追平GPT-4,田渊栋团队出品
最近发现不少小伙伴都对科技周边很感兴趣,所以今天继续给大家介绍科技周边相关的知识,本文《羊驼家族大模型集体进化!32k上下文追平GPT-4,田渊栋团队出品》主要内容涉及到等等知识点,希望能帮到你!当然如果阅读本文时存在不同想法,可以在评论中表达,但是请勿使用过激的措辞~
开源羊驼大模型LLaMA上下文追平GPT-4,只需要一个简单改动!
Meta AI这篇刚刚提交的论文表示,LLaMA上下文窗口从2k扩展到32k后只需要小于1000步的微调。
与预训练相比,成本忽略不计。

扩展上下文窗口,就意味着AI的“工作记忆”容量增加,具体来说可以:
- 支持更多轮对话,减少遗忘现象,如更稳定的角色扮演
- 输入更多资料完成更复杂的任务,如一次处理更长文档或多篇文档
更重要的意义在于,所有基于LLaMA的羊驼大模型家族岂不是可以低成本采用此方法,集体进化?
羊驼是目前综合能力最强的开源基础模型,已经衍生出不少完全开源可商用大模型和垂直行业模型。

论文通信作者田渊栋也激动地在朋友圈分享这一新进展。

基于RoPE的大模型都能用
新方法名为位置插值(Position Interpolation),对使用RoPE(旋转位置编码)的大模型都适用。
RoPE早在2021年就由追一科技团队提出,到现在已成为大模型最常见的位置编码方法之一。

但在此架构下直接使用外推法(Extrapolation)扩展上下文窗口,会完全破坏自注意力机制。
具体来说,超出预训练上下文长度之外的部分,会使模型困惑度(perplexity)飙升至和未经训练的模型相当。
新方法改成线性地缩小位置索引,扩展前后位置索引和相对距离的范围对齐。

用图表现二者的区别更加直观。

实验结果显示,新方法对从7B到65B的LLaMA大模型都有效。
在长序列语言建模(Long Sequence Language Modeling)、密钥检索(Passkey Retrieval)、长文档摘要(Long Document Summarization)中性能都没有明显下降。

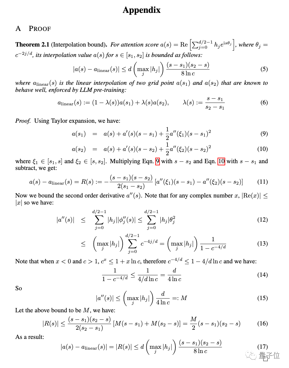
除了实验之外,论文附录中也给出了对新方法的详细证明。

Three More Thing
上下文窗口曾经是开源大模型与商业大模型之间一个重要差距。
比如OpenAI的GPT-3.5最高支持16k,GPT-4支持32k,AnthropicAI的Claude更是高达100k。
与此同时许多开源大模型如LLaMA和Falcon还停留在2k。
现在,Meta AI的新成果直接把这一差距抹平了。
扩展上下文窗口也是近期大模型研究的焦点之一,除了位置插值方法之外,还有很多尝试引起业界关注。
1、开发者kaiokendev在一篇技术博客中探索了一种将LLaMa上下文窗口扩展到8k的方法。

2、数据安全公司Soveren机器学习负责人Galina Alperovich在一篇文章中总结了扩展上下文窗口的6个技巧。

3、来自Mila、IBM等机构的团队还在一篇论文中尝试了在Transformer中完全去掉位置编码的方法。

有需要的小伙伴可以点击下方链接查看~
Meta论文:https://arxiv.org/abs/2306.15595
Extending Context is Hard…but not Impossiblehttps://kaiokendev.github.io/context
The Secret Sauce behind 100K context window in LLMshttps://blog.gopenai.com/how-to-speed-up-llms-and-use-100k-context-window-all-tricks-in-one-place-ffd40577b4c
无位置编码论文https://arxiv.org/abs/2305.19466
以上就是本文的全部内容了,是否有顺利帮助你解决问题?若是能给你带来学习上的帮助,请大家多多支持golang学习网!更多关于科技周边的相关知识,也可关注golang学习网公众号。
联想拯救者系列最新力作:Y34w MiniLED 显示器亮相
- 上一篇
- 联想拯救者系列最新力作:Y34w MiniLED 显示器亮相
- 下一篇
- 小鹏G6上市,何小鹏:销量第一信心十足
-
- 科技周边 · 人工智能 | 6小时前 |
- 美图WinkStudio AI绘画功能详解
- 428浏览 收藏
-
- 科技周边 · 人工智能 | 7小时前 |
- AI生成PPT如何导出为PPTX文件
- 160浏览 收藏
-
- 科技周边 · 人工智能 | 7小时前 |
- DeepSeek秒出文案,2026最快指令模板
- 118浏览 收藏
-
- 科技周边 · 人工智能 | 7小时前 |
- Minimax能做视频?多模态生成潜力解析
- 193浏览 收藏
-
- 科技周边 · 人工智能 | 7小时前 |
- AI如何快速做市场调研?3步生成行业问卷
- 356浏览 收藏
-
- 科技周边 · 人工智能 | 7小时前 |
- 提升PPT交互体验,AI设计互动幻灯片技巧
- 182浏览 收藏
-
- 科技周边 · 人工智能 | 7小时前 |
- AI姓氏印章怎么赚钱\_AI绘画图章定制教程
- 209浏览 收藏
-
- 科技周边 · 人工智能 | 7小时前 | 骡子快跑
- 骡子快跑企业版部署指南
- 396浏览 收藏
-
- 科技周边 · 人工智能 | 8小时前 |
- AI视频生成本地部署教程
- 235浏览 收藏
-
- 科技周边 · 人工智能 | 8小时前 |
- AI生成真实产品图技巧:电商背景替换实操教程
- 406浏览 收藏
-
- 科技周边 · 人工智能 | 8小时前 |
- DeepSeek API集成React/Vue,打造AI前端应用教程
- 235浏览 收藏
-
- 科技周边 · 人工智能 | 8小时前 | Perplexity
- Perplexity切换Focus模式方法解析
- 229浏览 收藏
-
- 前端进阶之JavaScript设计模式
- 设计模式是开发人员在软件开发过程中面临一般问题时的解决方案,代表了最佳的实践。本课程的主打内容包括JS常见设计模式以及具体应用场景,打造一站式知识长龙服务,适合有JS基础的同学学习。
- 543次学习
-
- GO语言核心编程课程
- 本课程采用真实案例,全面具体可落地,从理论到实践,一步一步将GO核心编程技术、编程思想、底层实现融会贯通,使学习者贴近时代脉搏,做IT互联网时代的弄潮儿。
- 516次学习
-
- 简单聊聊mysql8与网络通信
- 如有问题加微信:Le-studyg;在课程中,我们将首先介绍MySQL8的新特性,包括性能优化、安全增强、新数据类型等,帮助学生快速熟悉MySQL8的最新功能。接着,我们将深入解析MySQL的网络通信机制,包括协议、连接管理、数据传输等,让
- 500次学习
-
- JavaScript正则表达式基础与实战
- 在任何一门编程语言中,正则表达式,都是一项重要的知识,它提供了高效的字符串匹配与捕获机制,可以极大的简化程序设计。
- 487次学习
-
- 从零制作响应式网站—Grid布局
- 本系列教程将展示从零制作一个假想的网络科技公司官网,分为导航,轮播,关于我们,成功案例,服务流程,团队介绍,数据部分,公司动态,底部信息等内容区块。网站整体采用CSSGrid布局,支持响应式,有流畅过渡和展现动画。
- 485次学习
-
- ChatExcel酷表
- ChatExcel酷表是由北京大学团队打造的Excel聊天机器人,用自然语言操控表格,简化数据处理,告别繁琐操作,提升工作效率!适用于学生、上班族及政府人员。
- 4224次使用
-
- Any绘本
- 探索Any绘本(anypicturebook.com/zh),一款开源免费的AI绘本创作工具,基于Google Gemini与Flux AI模型,让您轻松创作个性化绘本。适用于家庭、教育、创作等多种场景,零门槛,高自由度,技术透明,本地可控。
- 4580次使用
-
- 可赞AI
- 可赞AI,AI驱动的办公可视化智能工具,助您轻松实现文本与可视化元素高效转化。无论是智能文档生成、多格式文本解析,还是一键生成专业图表、脑图、知识卡片,可赞AI都能让信息处理更清晰高效。覆盖数据汇报、会议纪要、内容营销等全场景,大幅提升办公效率,降低专业门槛,是您提升工作效率的得力助手。
- 4463次使用
-
- 星月写作
- 星月写作是国内首款聚焦中文网络小说创作的AI辅助工具,解决网文作者从构思到变现的全流程痛点。AI扫榜、专属模板、全链路适配,助力新人快速上手,资深作者效率倍增。
- 6115次使用
-
- MagicLight
- MagicLight.ai是全球首款叙事驱动型AI动画视频创作平台,专注于解决从故事想法到完整动画的全流程痛点。它通过自研AI模型,保障角色、风格、场景高度一致性,让零动画经验者也能高效产出专业级叙事内容。广泛适用于独立创作者、动画工作室、教育机构及企业营销,助您轻松实现创意落地与商业化。
- 4832次使用
-
- GPT-4王者加冕!读图做题性能炸天,凭自己就能考上斯坦福
- 2023-04-25 501浏览
-
- 单块V100训练模型提速72倍!尤洋团队新成果获AAAI 2023杰出论文奖
- 2023-04-24 501浏览
-
- ChatGPT 真的会接管世界吗?
- 2023-04-13 501浏览
-
- VR的终极形态是「假眼」?Neuralink前联合创始人掏出新产品:科学之眼!
- 2023-04-30 501浏览
-
- 实现实时制造可视性优势有哪些?
- 2023-04-15 501浏览

