无需点跟踪,克服DragGAN缺陷!中科大联合上海AI Lab发布FreeDrag:可稳定拖动语义内容
从现在开始,努力学习吧!本文《无需点跟踪,克服DragGAN缺陷!中科大联合上海AI Lab发布FreeDrag:可稳定拖动语义内容》主要讲解了等等相关知识点,我会在golang学习网中持续更新相关的系列文章,欢迎大家关注并积极留言建议。下面就先一起来看一下本篇正文内容吧,希望能帮到你!
近日,在AIGC的广阔世界里出现了一个火热的图像编辑方法—即通过在给定图像上通过把语义内容从原位置(handle point)拖动到目标位置(target point)的方式进行精细的定制化编辑操作。
比如可以实现「让猫咪对你wink」的神奇操作:

这一惊人效果来自于发表在SIGGRAPH 2023会议上的 [Drag Your GAN] 论文(简称为DragGAN)。
并且DragGAN的代码一经发出就在短短几周内狂揽30K star,引发广大网友的「Drag热潮」。
有了DragGAN的加持,各种AI画图工具的「阿喀琉斯之踵」再也不是弱点,哪里不满意就只修哪里!
近日,中科大和上海AI Lab的研究者们又发布了一项相关研究—FreeDrag。
图片
Paper:https://arxiv.org/abs/2307.04684
Code:https://github.com/LPengYang/FreeDrag
Project Page:https://lin-chen.site/projects/freedrag/
研究结果表明,先前的DragGAN由两个交替迭代进行的过程构成:
1. 运动监督(motion supervision)过程指导handle point向着对应的target point进行移动;
2. 点跟踪(point tracking)过程则负责定位移动后handle point的精确位置从而为下次移动提供方向和约束特征。
因此DragGAN 严重依赖于点跟踪的精确性。然而,点跟踪的策略本质上是不稳定的,因为它隐式地假设每次移动后在默认的搜索区域内有且仅有一个点完美继承了handle point的特征。
这个假设会在以下两种情况下失效:
1. 图像内容发生剧烈变化导致的跟踪丢失
图片
DragGAN 由于内容突变发生跟踪点丢失
2. 搜索区域内的相似点导致的跟踪错误,例如轮廓线和马腿等。
图片
DragGAN 由于相似点的存在发生错误的点跟踪
错误的点跟踪会为下一次移动提供错误的方向和约束特征,造成误差累积从而损害编辑的质量。
方法介绍
为了防止不稳定的点跟踪过程不可避免地损害图像编辑的质量,中国科学技术大学和上海AI Lab的研究者们共同提出FreeDrag, 一种以特征为导向的基于点的交互式编辑框架。
FreeDrag通过引入自适应更新的模板特征,模糊定位和线性搜索技术,在无需进行精确点跟踪的情况下即可实现更加稳定可靠的拖动编辑。
图 2 FreeDrag 的流程图

图 3 DragGAN的点跟踪和FreeDrag 点定位的比较。
DragGAN 要求精确定位的位置,而FreeDrag 通过约束特征差异限制定位点在附近,但不要求确定的具体位置。
动态更新的模板特征
图片
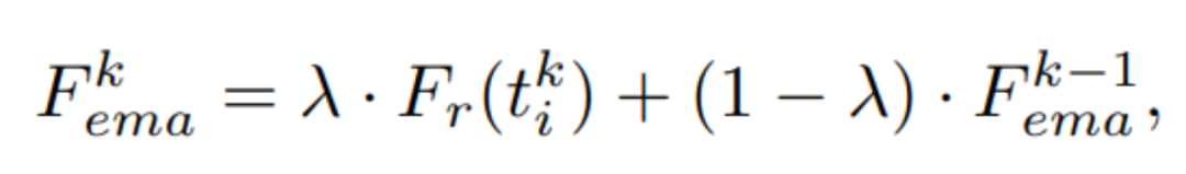
研究者们首先提出了动态更新的模板特征技术来缓解跟踪点丢失问题。模板特征通过衡量每次移动的质量来决定是否更新,即通过控制λ的值来决定每次更新的比例。
更大的λ意味着更大的更新程度。移动质量越高更新程度越大。移动质量通过衡量移动结束后
处的特征
和上一次的模板特征值
的 L1 距离 (
) 来度量,
越小说明移动质量越高。
模板特征的更新过程不依赖于handle point 的位置和特征,从而摆脱了对精确的点跟踪的负担,同时自适应的更新策略带来的平滑性赋予了模板特征更好的鲁棒性来克服剧烈的内容变化,避免编辑内容的异常丢失。
模糊定位和线性搜索
紧接着,研究者们提出模糊定位和线性搜索技术来缓解跟踪点模糊问题。FreeDrag 通过移动距离d和特征差异l来为每次的移动定位适合的目标点,即公式(10)。
定位主要分为三种情况:继续向target point移动(移动质量高);保持当前位置不动(移动不彻底),点回退(移动异常)。
相比于DragGAN要求的精确的点跟踪,公式(10)搜寻的定位点是“模糊”因为它并不要求搜寻handle point的准确位置,而是通过约束特征差异确保定位点在handle point附近, 因此摆脱了精确定位的负担。
此外,公式(10) 只在原始handle point 和 target point 形成的直线上进行点搜索,这种线性搜索策略有效地缓解了相邻区域内相似点的干扰,保障了运动监督的可靠性,进一步提高点移动的稳定性。
实验对比
DragGAN 和 FreeDrag 在各类场景上的对比如下图(图4)所示,可以发现FreeDrag可以有效地防止handle point的异常消失(如图4第一个例子中消失的嘴巴和第二个例子中消失的眼镜),同时有力地避免了由于内容突变和相似点干扰导致的异常编辑,保障了点移动的可靠性(如图4第三个例子中大象的眼睛和第四个例子中的马腿)。
此外,从图4的(5)-(8)例子可以观察到FreeDrag 可以通过稳定的点移动更有效更精确地实现预定的编辑目标。进一步的,在各类场景上的大量实验(图5) 充分验证了FreeDrag 可以通过稳定的点移动实现更高的编辑质量,助力交互式的基于点的图像编辑达到新的高度。
图片
图 4 DragGAN 和 FreeDrag 在各类场景上的对比图

图 5 DragGAN 和 FreeDrag 在更多场景下的对比图
左边两张图分别为原始图片和编辑目标(红色为handle point, 蓝色为target point),右边分别为DragGAN 和FreeDrag的处理过程
图片
图片
动态过程:https://lin-chen.site/projects/freedrag/
对于拖动大象眼睛的例子,可以观察到,DragGAN 在移动大象眼睛的过程中发生了图像布局的突变造成点跟踪丢失,点跟踪丢失导致无法为之后的运动提供有效的运动监督,进而无法实现预定的编辑目的。
相比而言,得益于动态更新的模板特征的平滑性,FreeDrag 可以更好地避免图像内容的急剧变化,从而更可靠地将眼部特征拖向预定的位置。
对于拖动马腿的例子,可以观察到, DragGAN在移动马腿过程中发生了错误的点跟踪,从而为之后的运动监督提供了错误的优化方向,进而降低了图像质量,这种错误会在多次迭代中累计导致编辑结果质量的急剧下降。
相比而言, FreeDrag 的模糊定位和线性搜索策略有效地缓解了相似点的干扰,为点移动提供了可靠的监督信号,从而高质量地实现预定的编辑目的。
本篇关于《无需点跟踪,克服DragGAN缺陷!中科大联合上海AI Lab发布FreeDrag:可稳定拖动语义内容》的介绍就到此结束啦,但是学无止境,想要了解学习更多关于科技周边的相关知识,请关注golang学习网公众号!
骁龙8 gen3与小米14:预计提前发布,性能与设计引期待
- 上一篇
- 骁龙8 gen3与小米14:预计提前发布,性能与设计引期待
- 下一篇
- 特斯拉受挫!Autotrader评选出2023年最佳电动车 新品牌崭露头角
-
- 科技周边 · 人工智能 | 1小时前 | 人工智能
- 节假日自动问候:OpenClaw微信节日营销文案定时群发教程
- 493浏览 收藏
-
- 科技周边 · 人工智能 | 1小时前 | Shutterstock
- Shutterstock图片怎么用于网站_Shutterstock网站配图下载与版权须知
- 147浏览 收藏
-
- 科技周边 · 人工智能 | 2小时前 |
- Pika怎么做动画视频 静态图转动态图参数多少【动画】
- 106浏览 收藏
-
- 科技周边 · 人工智能 | 2小时前 |
- 在 WorkBuddy 中禁用不常用的预置技能以节省资源
- 382浏览 收藏
-
- 科技周边 · 人工智能 | 2小时前 |
- Grok3怎么生成技术文档_Grok3编写规范技术文档教程
- 290浏览 收藏
-
- 科技周边 · 人工智能 | 2小时前 |
- 本地部署DeepSeek-R1推理版_7B模型实测
- 179浏览 收藏
-
- 科技周边 · 人工智能 | 2小时前 |
- DeepSeek V4怎么清洗销售线索_意向客户自动分级打标【线索】
- 292浏览 收藏
-
- 科技周边 · 人工智能 | 2小时前 |
- 医保AI监管系统!反诈骗技术服务,社保领域新刚需!
- 328浏览 收藏
-
- 科技周边 · 人工智能 | 2小时前 |
- DeepSeek V4系统提示词无效_system prompt位置与格式调整【系统】
- 241浏览 收藏
-
- 科技周边 · 人工智能 | 2小时前 |
- 龙虾机器人(clawdbot)官方网站访问入口 clawdbot网页端操作指南
- 122浏览 收藏
-
- 科技周边 · 人工智能 | 3小时前 | ChatGPT
- 2026年大模型硬件门槛_最低配置与推荐配置清单
- 306浏览 收藏
-
- 前端进阶之JavaScript设计模式
- 设计模式是开发人员在软件开发过程中面临一般问题时的解决方案,代表了最佳的实践。本课程的主打内容包括JS常见设计模式以及具体应用场景,打造一站式知识长龙服务,适合有JS基础的同学学习。
- 543次学习
-
- GO语言核心编程课程
- 本课程采用真实案例,全面具体可落地,从理论到实践,一步一步将GO核心编程技术、编程思想、底层实现融会贯通,使学习者贴近时代脉搏,做IT互联网时代的弄潮儿。
- 516次学习
-
- 简单聊聊mysql8与网络通信
- 如有问题加微信:Le-studyg;在课程中,我们将首先介绍MySQL8的新特性,包括性能优化、安全增强、新数据类型等,帮助学生快速熟悉MySQL8的最新功能。接着,我们将深入解析MySQL的网络通信机制,包括协议、连接管理、数据传输等,让
- 500次学习
-
- JavaScript正则表达式基础与实战
- 在任何一门编程语言中,正则表达式,都是一项重要的知识,它提供了高效的字符串匹配与捕获机制,可以极大的简化程序设计。
- 487次学习
-
- 从零制作响应式网站—Grid布局
- 本系列教程将展示从零制作一个假想的网络科技公司官网,分为导航,轮播,关于我们,成功案例,服务流程,团队介绍,数据部分,公司动态,底部信息等内容区块。网站整体采用CSSGrid布局,支持响应式,有流畅过渡和展现动画。
- 485次学习
-
- ChatExcel酷表
- ChatExcel酷表是由北京大学团队打造的Excel聊天机器人,用自然语言操控表格,简化数据处理,告别繁琐操作,提升工作效率!适用于学生、上班族及政府人员。
- 4464次使用
-
- Any绘本
- 探索Any绘本(anypicturebook.com/zh),一款开源免费的AI绘本创作工具,基于Google Gemini与Flux AI模型,让您轻松创作个性化绘本。适用于家庭、教育、创作等多种场景,零门槛,高自由度,技术透明,本地可控。
- 4810次使用
-
- 可赞AI
- 可赞AI,AI驱动的办公可视化智能工具,助您轻松实现文本与可视化元素高效转化。无论是智能文档生成、多格式文本解析,还是一键生成专业图表、脑图、知识卡片,可赞AI都能让信息处理更清晰高效。覆盖数据汇报、会议纪要、内容营销等全场景,大幅提升办公效率,降低专业门槛,是您提升工作效率的得力助手。
- 4690次使用
-
- 星月写作
- 星月写作是国内首款聚焦中文网络小说创作的AI辅助工具,解决网文作者从构思到变现的全流程痛点。AI扫榜、专属模板、全链路适配,助力新人快速上手,资深作者效率倍增。
- 6485次使用
-
- MagicLight
- MagicLight.ai是全球首款叙事驱动型AI动画视频创作平台,专注于解决从故事想法到完整动画的全流程痛点。它通过自研AI模型,保障角色、风格、场景高度一致性,让零动画经验者也能高效产出专业级叙事内容。广泛适用于独立创作者、动画工作室、教育机构及企业营销,助您轻松实现创意落地与商业化。
- 5061次使用
-
- GPT-4王者加冕!读图做题性能炸天,凭自己就能考上斯坦福
- 2023-04-25 501浏览
-
- 单块V100训练模型提速72倍!尤洋团队新成果获AAAI 2023杰出论文奖
- 2023-04-24 501浏览
-
- ChatGPT 真的会接管世界吗?
- 2023-04-13 501浏览
-
- VR的终极形态是「假眼」?Neuralink前联合创始人掏出新产品:科学之眼!
- 2023-04-30 501浏览
-
- 实现实时制造可视性优势有哪些?
- 2023-04-15 501浏览

