错误率降低44%!纽约大学最新「人脸生成」可让年龄随意变化:从少年到老年全覆盖
各位小伙伴们,大家好呀!看看今天我又给各位带来了什么文章?本文标题是《错误率降低44%!纽约大学最新「人脸生成」可让年龄随意变化:从少年到老年全覆盖》,很明显是关于科技周边的文章哈哈哈,其中内容主要会涉及到等等,如果能帮到你,觉得很不错的话,欢迎各位多多点评和分享!
当下的「人脸识别系统」抗衰老能力非常弱,人物面部老化会显著降低识别性能,隔一段时间就需要更换人脸数据。

提升人脸识别系统的鲁棒性需要收集个体老化的高质量数据,不过近几年发布的数据集规模通常较小,年限也不够长(如5年左右),或是在姿态、照明、背景等方面有较大变化,没有专注于人脸数据。
最近,纽约大学的研究人员提出了一种通过隐扩散模型保留不同年龄身份特征的方法,并且只需要少样本训练,即可直观地用「文本提示」来控制模型输出。

论文链接:https://arxiv.org/pdf/2307.08585.pdf
研究人员引入了两个关键的组件:一个身份保持损失,以及一个小的(图像,描述)正则化集合来解决现有的基于GAN的方法所带来的限制。
在两个基准数据集CeleA和AgeDB的评估中,在常用的生物特征忠诚度(biometric fidelity)指标上,该方法比最先进的基线模型在错误不匹配率上降低了约44%
追踪人脸的年龄变化
DreamBooth
文中提出的方法基于潜扩散模型DreamBooth,其可以通过对文生图扩散模型微调的方式将单个主体放置在其他上下文(re-contextualization)中。

Dreambooth的输入要求为目标主体多张图像,以及包含主体的唯一标识符和类标签(class label)的文本提示,其中类标签是多个实例的集合表示,主体对应于属于该类的特定示例。
Dreambooth的目标是将唯一标识符与每个主体(类的特定实例)相关联,然后在文本提示的指导下,在不同的上下文中重新创建同一主体的图像。
类标签需要利用指定类别预训练扩散框架的先验知识,如果类别标签不正确或丢失可能会导致输出质量下降,唯一token充当对特定主题的引用,并且需要足够少见以避免与其他常用概念冲突。
原文作者使用了一组少于3个Unicode字符序列作为token,并用T5-XXL作为分词器。
DreamBooth使用类别先验保存损失(class-specific prior preservation loss)来增加生成图像的可变性,同时确保目标对象和输出图像之间的偏差最小,原始训练损失如下:

DreamBooth在先验保存的帮助下可以有效地合成狗、猫、卡通等主体图像,不过这篇论文中主要关注的是结构更复杂、纹理也偏细节的人脸图像。

虽然类标签「person」可以捕获类似人类的特征,但这可能不足以捕获因个体差异而形成的身份特征。
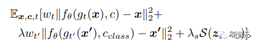
所以研究人员在损失函数中引入了一个身份保存(identity-preserving)项,可以最小化原始图像和生成图像生物特征之间的距离,并用新的损失函数微调VAE。

公式中的第三项代表被拍摄物体的真实图像和生成图像之间生物特征距离,其中B代表两张图像的L1距离,相同的图像距离接近0,值越大代表两个主体的差异越大,使用预训练VGGFace作为特征抽取器。

下一步是针对特定目标进行微调,使用冻结的VAE和文本编码器,同时保持U-Net模型解冻。

UNet对VAE的编码器产生的潜在表征进行去噪,使用身份保持对比损失进行训练。
研究人员采用SimCLR框架,使用正负样本对之间的归一化温标交叉熵损失(temperature-scaled cross-entropy loss)来增强潜在表征,即下式中的S函数。

在加权项λs=0.1且温度值=0.5的情况下,计算无噪声输入(z0)和去噪声输出(zt)的潜在表征之间的对比损失。
U-Net架构中潜在表征之间的对比损失使得模型能够微调不同主体的扩散模型。
除了定制损失外,研究人员还使用正则化集将面部年龄发展(progression)和回归(regression)的概念赋给潜在扩散模型,其中正则化集合包括一个类别中所有代表性的图像,在本例中为person.
如果目标是生成真实的人脸图像,那从互联网上选择人脸图像的正则化集就足够了。
不过本文中的任务是让模型学习衰老和返老还童的概念,并且还要应用到不同的个体上,所以研究人员选择使用不同年龄组的人脸图像,然后将其与一个单词描述(one-word caption)进行配对。
图像描述对应于六个年龄组 :儿童(child)、青少年(tennager)、年轻人(youngadults)、中年人(middleaged)、中老年人(elderly)、老年人(old )。
相比数字提示(20岁、40岁),年龄描述的性能更好,并且可以在推理中用文本来提示扩散模型((photo of a ⟨ token ⟩ ⟨ class label ⟩ as ⟨ age group ⟩)
实验结果
实验设置
研究人员使用Stable Diffusion v1.4实现的DreamBooth进行实验,使用CLIP文本编码器(在laion-aesthetics v2 5+上训练)和矢量量化VAE来完成年龄变化,在训练扩散模型时,文本编码器保持冻结状态。
研究人员使用来自CelebA数据集100名受试者的2258张人脸图像和来自AgeDB数据集100名受试者的659张图像构成训练集。

除了二元属性「Young」之外,CelebA数据集没有受试者的年龄信息;AgeDB数据集包含精确年龄值,研究人员选择图像数量最多的年龄组,并将其用作训练集,其余图像则用于测试集(共2369幅图像)。
研究人员使用(图像,描述)数据对作为正则化集,其中每个人脸图像与指示其相应年龄标签的标题相关联,具体儿童65岁,使用四个稀少token作为标记:wzx, sks, ams, ukj
对比结果
研究人员使用IPCGAN、AttGAN和Talk-toEdit作为评估对比基线模型。
由于IPCGAN是在CACD数据集上训练的,所以研究人员对来自CACD数据集的62名受试者进行了微调,可以观察到FNMR=2%,而文中提出的方法FNMR( False NonMatch Rate)=11%

可以看到IPCGAN默认情况无法执行老化或变年轻的操作,导致FNMR值很低。
研究人员使用DeepFace年龄预测器进行自动年龄预测,可以观察到,与原始图像和IPCGAN生成的图像相比,文中方法合成的图像会让年龄预测得更分散,表明年龄编辑操作已经成功。

在CelebA数据集上应用AttGAN和对话编辑时,在图像对比和生物特征匹配性能上,可以观察到,在FMR=0.01时,文中方法在「young」类别的图像上优于AttGAN 19%,在「old」类别图像上优于AttGAN 7%

用户研究
研究人员收集了26份用户反馈,rank-1生物特征识别准确率(响应总数的平均值)达到了78.8%,各年龄组的正确识别准确率分别为:儿童=99.6%、青少年=72.7%、青少年=68.1%、中年=70.7%、老年人=93.8%

也就是说,用户能够以相当高的准确度成功地区分来自不同年龄组的生成图像。
到这里,我们也就讲完了《错误率降低44%!纽约大学最新「人脸生成」可让年龄随意变化:从少年到老年全覆盖》的内容了。个人认为,基础知识的学习和巩固,是为了更好的将其运用到项目中,欢迎关注golang学习网公众号,带你了解更多关于模型,数据的知识点!
AI取代人类翻译员,知名科技网站连13年老员工都裁了,网站清一色AI出品
- 上一篇
- AI取代人类翻译员,知名科技网站连13年老员工都裁了,网站清一色AI出品
- 下一篇
- 大白AI评测:EA Iron Man包含25种相互关联的交易模式
-
- 科技周边 · 人工智能 | 31分钟前 |
- DeepSeek API身份验证(Authentication)失败怎么办?
- 233浏览 收藏
-
- 科技周边 · 人工智能 | 48分钟前 |
- 龙虾openclaw对接支付宝AI付开发文档 接口调用示例【深度】
- 295浏览 收藏
-
- 科技周边 · 人工智能 | 57分钟前 |
- WorkBuddy 安装失败?可能是由于系统版本过低
- 118浏览 收藏
-
- 科技周边 · 人工智能 | 1小时前 |
- DeepSeek V4逻辑推理变弱_模型版本回退与提示词优化【降智】
- 363浏览 收藏
-
- 科技周边 · 人工智能 | 1小时前 |
- WorkBuddy欠费停服如何快速恢复_补缴欠款与资源自动释放风险
- 162浏览 收藏
-
- 科技周边 · 人工智能 | 1小时前 |
- ChatGPT如何生成测试数据 ChatGPT仿真数据创建指南
- 455浏览 收藏
-
- 科技周边 · 人工智能 | 1小时前 | CodeGeeX CodeGeeX如何生成Python代码完整教程
- CodeGeeX怎么写Python异常处理代码_CodeGeeX辅助构建健壮程序逻辑【异常处理】
- 133浏览 收藏
-
- 科技周边 · 人工智能 | 1小时前 |
- 可灵AI恐怖悬疑风格_惊悚氛围画面的光影与音效设置
- 101浏览 收藏
-
- 科技周边 · 人工智能 | 1小时前 | 哩布哩布AI
- 哩布哩布AI怎么使用角色扮演聊天_哩布哩布AI智能对话功能实战
- 128浏览 收藏
-
- 科技周边 · 人工智能 | 1小时前 |
- Gemini如何配置多模态输入 Gemini图像与文本联合处理指南
- 161浏览 收藏
-
- 科技周边 · 人工智能 | 1小时前 | CanvaAI Canva可画
- Canva可画AI生成PPT怎么调整行距_段落排版细节优化
- 266浏览 收藏
-
- 科技周边 · 人工智能 | 2小时前 |
- 怎样修复DeepSeek V4乱码问题_Tokenizer词表缺失与编码修复【乱码】
- 111浏览 收藏
-
- 前端进阶之JavaScript设计模式
- 设计模式是开发人员在软件开发过程中面临一般问题时的解决方案,代表了最佳的实践。本课程的主打内容包括JS常见设计模式以及具体应用场景,打造一站式知识长龙服务,适合有JS基础的同学学习。
- 543次学习
-
- GO语言核心编程课程
- 本课程采用真实案例,全面具体可落地,从理论到实践,一步一步将GO核心编程技术、编程思想、底层实现融会贯通,使学习者贴近时代脉搏,做IT互联网时代的弄潮儿。
- 516次学习
-
- 简单聊聊mysql8与网络通信
- 如有问题加微信:Le-studyg;在课程中,我们将首先介绍MySQL8的新特性,包括性能优化、安全增强、新数据类型等,帮助学生快速熟悉MySQL8的最新功能。接着,我们将深入解析MySQL的网络通信机制,包括协议、连接管理、数据传输等,让
- 500次学习
-
- JavaScript正则表达式基础与实战
- 在任何一门编程语言中,正则表达式,都是一项重要的知识,它提供了高效的字符串匹配与捕获机制,可以极大的简化程序设计。
- 487次学习
-
- 从零制作响应式网站—Grid布局
- 本系列教程将展示从零制作一个假想的网络科技公司官网,分为导航,轮播,关于我们,成功案例,服务流程,团队介绍,数据部分,公司动态,底部信息等内容区块。网站整体采用CSSGrid布局,支持响应式,有流畅过渡和展现动画。
- 485次学习
-
- ChatExcel酷表
- ChatExcel酷表是由北京大学团队打造的Excel聊天机器人,用自然语言操控表格,简化数据处理,告别繁琐操作,提升工作效率!适用于学生、上班族及政府人员。
- 4453次使用
-
- Any绘本
- 探索Any绘本(anypicturebook.com/zh),一款开源免费的AI绘本创作工具,基于Google Gemini与Flux AI模型,让您轻松创作个性化绘本。适用于家庭、教育、创作等多种场景,零门槛,高自由度,技术透明,本地可控。
- 4804次使用
-
- 可赞AI
- 可赞AI,AI驱动的办公可视化智能工具,助您轻松实现文本与可视化元素高效转化。无论是智能文档生成、多格式文本解析,还是一键生成专业图表、脑图、知识卡片,可赞AI都能让信息处理更清晰高效。覆盖数据汇报、会议纪要、内容营销等全场景,大幅提升办公效率,降低专业门槛,是您提升工作效率的得力助手。
- 4683次使用
-
- 星月写作
- 星月写作是国内首款聚焦中文网络小说创作的AI辅助工具,解决网文作者从构思到变现的全流程痛点。AI扫榜、专属模板、全链路适配,助力新人快速上手,资深作者效率倍增。
- 6476次使用
-
- MagicLight
- MagicLight.ai是全球首款叙事驱动型AI动画视频创作平台,专注于解决从故事想法到完整动画的全流程痛点。它通过自研AI模型,保障角色、风格、场景高度一致性,让零动画经验者也能高效产出专业级叙事内容。广泛适用于独立创作者、动画工作室、教育机构及企业营销,助您轻松实现创意落地与商业化。
- 5056次使用
-
- GPT-4王者加冕!读图做题性能炸天,凭自己就能考上斯坦福
- 2023-04-25 501浏览
-
- 单块V100训练模型提速72倍!尤洋团队新成果获AAAI 2023杰出论文奖
- 2023-04-24 501浏览
-
- ChatGPT 真的会接管世界吗?
- 2023-04-13 501浏览
-
- VR的终极形态是「假眼」?Neuralink前联合创始人掏出新产品:科学之眼!
- 2023-04-30 501浏览
-
- 实现实时制造可视性优势有哪些?
- 2023-04-15 501浏览

