LLaMA微调显存需求减半,清华提出4比特优化器
在科技周边实战开发的过程中,我们经常会遇到一些这样那样的问题,然后要卡好半天,等问题解决了才发现原来一些细节知识点还是没有掌握好。今天golang学习网就整理分享《LLaMA微调显存需求减半,清华提出4比特优化器》,聊聊,希望可以帮助到正在努力赚钱的你。
大模型的训练和微调对显存要求很高,优化器状态是显存主要开销之一。近日,清华大学朱军、陈键飞团队提出了用于神经网络训练的 4 比特优化器,节省了模型训练的内存开销,同时能达到与全精度优化器相当的准确率。
4 比特优化器在众多预训练和微调任务上进行了实验,在保持准确率无损的情况下可将微调 LLaMA-7B 的显存开销降低多达 57%。
论文:https://arxiv.org/abs/2309.01507
代码:https://github.com/thu-ml/low-bit-optimizers
模型训练的内存瓶颈
从 GPT-3,Gopher 到 LLaMA,大模型有更好的性能已成为业界的共识。但相比之下,单个 GPU 的显存大小却增长缓慢,这让显存成为了大模型训练的主要瓶颈,如何在有限的 GPU 内存下训练大模型成为了一个重要的难题。
为此,我们首先需要明确消耗显存的来源有哪些。事实上来源有三类,分别是:
1. 「数据显存」,包括输入的数据和神经网络每层输出的激活值,它的大小直接受到 batch size 以及图像分辨率 / 上下文长度的影响;
2. 「模型显存」,包括模型参数,梯度,以及优化器状态(optimizer states),它的大小与模型参数数量呈正比;
3. 「临时显存」,包括 GPU kernel 计算时用到的临时内存和其他缓存等。随着模型规模的增大,模型显存的占比逐渐增大,成为主要瓶颈。
优化器状态的大小由使用哪种优化器决定。当前,训练 Transformer 往往使用 AdamW 优化器,它们在训练过程中需要存储并更新两个优化器状态,即一阶和二阶矩(first and second moments)。如果模型参数量为 N,那么 AdamW 中优化器状态的数量为 2N,这显然是一笔极大的显存开销。
以 LLaMA-7B 为例,该模型含的参数数量大约 7B,如果使用全精度(32 比特)的 AdamW 优化器对它进行微调,那么优化器状态所占用的显存大小约为 52.2GB。此外,虽然朴素的 SGD 优化器不需要额外状态,节省了优化器状态所占用的内存,但是模型的性能难以保证。因此,本文主要关注如何减少模型内存中的优化器状态,同时保证优化器的性能不受损。
节省优化器内存的方法
目前在训练算法方面,节省优化器显存开销的方法主要有三类:
1. 通过低秩分解(Factorization)的思路对优化器状态进行低秩近似(low-rank approximation);
2. 通过只训练一小部分参数来避免保存大多数的优化器状态,例如 LoRA;
3. 基于压缩 (compression)的方法,使用低精度数值格式来表示优化器状态。
特别的,Dettmers et al. (ICLR 2022)针对 SGD with momentum 和 AdamW 提出了相应的 8 比特优化器,通过使用分块量化(block-wise quantization)和动态指数数值格式(dynamic exponential numerical format)的技术,在语言建模、图像分类、自监督学习、机器翻译等任务上达到了与原有的全精度优化器相匹配的效果。
本文在基础上,将优化器状态的数值精度进一步降低至 4 比特,提出了针对不同优化器状态的量化方法,最终提出了 4 比特 AdamW 优化器。同时,本文探索了将 压缩和低秩分解方法结合的可能性,提出了 4 比特 Factor 优化器,这种混合式的优化器同时享有好的性能和更好的内存高效性。本文在众多经典的任务上对 4 比特优化器进行了评估,包括自然语言理解、图像分类、机器翻译和大模型的指令微调。
在所有的任务上,4 比特优化器达到了与全精度优化器可比的效果,同时能够占用更少的内存。
问题设置
基于压缩的内存高效优化器的框架
首先,我们需要了解如何将压缩操作引入到通常使用的优化器中,这由算法 1 给出。其中,A 是一个基于梯度的优化器(例如 SGD 或 AdamW)。该优化器输入现有的参数 w,梯度 g 和优化器状态 s,输出新的参数和优化器状态。在算法 1 中,全精度的 s_t 是暂时存在的,而低精度的 (s_t ) ̅ 会持久地保存在 GPU 内存中。这种方式能够节省显存的重要原因是:神经网络的参数往往由每层的参数向量拼接而成。因此,优化器更新也是逐层 / 张量进行,进而在算法 1 下,最多只有一个参数的优化器状态以全精度的形式留在内存中,其他层对应的优化器状态都处于被压缩的状态。

主要的压缩方法:量化(quantization)
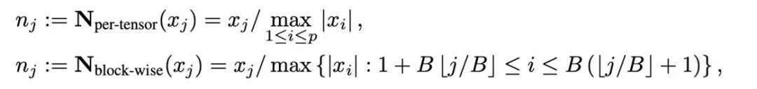
量化是用低精度数值来表示高精度数据的技术,本文将量化的操作解耦为两部分:归一化(normalization)和映射(mapping),从而能够更加轻量级的设计并实验新的量化方法。归一化和映射两个操作依次以逐元素的形式施加在全精度数据上。归一化负责将张量中的每个元素投射到单位区间,其中张量归一化(per-tensor normalization)和分块归一化(block-wise normalization)分别如下定义:

不同归一化方法的粒度不同,处理异常值的能力会有所区别,同时带来的额外内存开销也不同。而映射(mapping)操作负责将归一化的数值映射到低精度能够表示的整数。正式地讲,给定位宽 b(即量化后每个数值使用 b 比特来表示)和预先定义的函数 T

映射操作被定义为:

因此,如何设计恰当的 T 对于减小量化误差有很重要的作用。本文主要考虑线性映射(linear)和动态指数映射(dynamic exponent)。最后,去量化的过程就是按顺序施加映射(mapping)和归一化(normalization)的逆算子。
一阶矩的压缩方法
以下主要针对 AdamW 的优化器状态(一阶矩和二阶矩)提出不同的量化方法。对于一阶矩,本文的量化方法主要基于 Dettmers et al. (ICLR 2022)的方法,使用分块归一化(块大小为 2048)和动态指数映射。
在初步的实验中,我们直接将位宽从 8 比特降低至 4 比特,发现一阶矩对于量化十分鲁棒,在很多任务上已经达到匹配的效果,但也在一部分任务上出现性能上的损失。为了进一步提高性能,我们仔细研究了一阶矩的模式,发现在单个张量中存在很多异常值。
此前的工作对于参数和激活值的异常值的模式已有一定的研究,参数的分布较为平滑,而激活值则具有按照 channel 分布的特点。本文发现,优化器状态中异常值的分布较为复杂,其中有些张量的异常值分布在固定的行,而另外一些张量的异常值分布在固定的列。

对于异常值按列分布的张量,以行为优先的分块归一化可能会遇到困难。因此,本文提出采用更小的块,块大小为 128,这能够在减小量化误差的同时使额外的内存开销保持在可控的范围内。下图展示了不同块大小的量化误差。

二阶矩的压缩方法
与一阶矩相比,二阶矩的量化更加困难并且会带来训练的不稳定性。本文确定了零点问题是量化二阶矩的主要瓶颈,此外针对病态的异常值分布提出了改进的归一化方法:rank-1 normalization。本文也尝试了对二阶矩的分解方法(factorization)。
零点问题
在参数、激活值、梯度的量化中,零点往往是不可缺少的,并且在也是量化后频率最高的点。但是,在 Adam 的迭代公式中,更新的大小正比于二阶矩的 -1/2 次方,因此在零附近的范围内改变会极大影响更新的大小,进而造成不稳定。

下图以直方图的形式展示了量化前后 Adam 二阶矩 -1/2 次方的分布, 即 h (v)=1/(√v+10^(-6) )。如果将零点包括在内(图 b),那么大多数值都被推到了 10^6, 从而导致极大的近似误差。一个简单的办法是在动态指数映射中将零点移除,在这样做之后(图 c),对二阶矩的近似变得更加精确。在实际情况中,为了有效利用低精度数值的表达能力,我们提出采用移除零点的线性映射,在实验中取得了很好的效果。

Rank-1 归一化
基于一阶矩和二阶矩复杂的异常值分布,并受 SM3 优化器所启发,本文提出了一种新的归一化方法,命名为 rank-1 归一化。对一个非负的矩阵张量 x∈R^(n×m), 它的一维统计量定义为:

进而 rank-1 归一化可以被定义为:

rank-1 归一化以更细粒度的方式利用了张量的一维信息,能够更聪明且有效地处理按行分布或按列分布的异常值。此外,rank-1 归一化能够简单的推广到高维张量中,并且随着张量规模的增大,它所产生的额外内存开销要小于分块归一化。
此外,本文发现 Adafactor 优化器中对于二阶矩的低秩分解方法能够有效的避免零点问题,因此也对低秩分解和量化方法的结合进行了探索。下图展示了针对二阶矩的一系列消融实验,证实了零点问题是量化二阶矩的瓶颈,同时也验证了 rank-1 归一化,低秩分解方法的有效性。

实验结果
研究根据所观察的现象和使用的方式,最终提出两种低精度优化器:4 比特 AdamW 和 4 比特 Factor,并与其他优化器进行对比,包括 8 比特 AdamW,Adafactor, SM3。研究选择在广泛的任务上进行评估,包括自然语言理解、图像分类、机器翻译和大模型的指令微调。下表展示了各优化器在不同任务上的表现。


可以看到,在所有的微调任务上,包括 NLU,QA,NLG,4 比特优化器可以匹配甚至超过 32 比特 AdamW,同时在所有的预训练任务上,CLS,MT,4 比特优化器达到与全精度可比的水平。从指令微调的任务中可以看到,4 比特 AdamW 并不会破坏预训练模型的能力,同时能较好地使它们获得遵守指令的能力。
之后,我们测试了 4 比特优化器的内存和计算效率,结果如下表所示。相比 8 比特优化器,本文提出的 4 比特优化器能够节省更多内存,在 LLaMA-7B 微调的实验中最高节省 57.7%。此外,我们提供了 4 比特 AdamW 的融合算子版本,它能够在节省内存的同时不影响计算效率。对于 LLaMA-7B 的指令微调任务,由于缓存压力减小,4 比特 AdamW 也为训练带来了加速效果。详细的实验设置和结果可参考论文链接。

替换一行代码即可在 PyTorch 中使用
import lpmmoptimizer = lpmm.optim.AdamW (model.parameters (), lr=1e-3, betas=(0.9, 0.999))
我们提供了开箱即用的 4 比特优化器,只需要将原有的优化器替换为 4 比特优化器即可,目前支持 Adam 和 SGD 的低精度版本。同时,我们也提供了修改量化参数的接口,以支持定制化的使用场景。
到这里,我们也就讲完了《LLaMA微调显存需求减半,清华提出4比特优化器》的内容了。个人认为,基础知识的学习和巩固,是为了更好的将其运用到项目中,欢迎关注golang学习网公众号,带你了解更多关于AI,模型的知识点!
李彦宏被《时代》周刊评为全球AI领袖
- 上一篇
- 李彦宏被《时代》周刊评为全球AI领袖
- 下一篇
- 激光雷达or视觉感知,谁能顶峰相见?
-
- 科技周边 · 人工智能 | 18分钟前 |
- 提升编程效率,DeepSeek Coder助你高效写代码
- 108浏览 收藏
-
- 科技周边 · 人工智能 | 21分钟前 | openclaw
- OpenClaw配置要求及推荐配置详解
- 143浏览 收藏
-
- 科技周边 · 人工智能 | 24分钟前 | QClaw
- QClaw提示词长度优化指南
- 264浏览 收藏
-
- 科技周边 · 人工智能 | 45分钟前 | QClaw
- QClaw跨平台功能差异解析
- 188浏览 收藏
-
- 科技周边 · 人工智能 | 53分钟前 |
- AI爬虫如何配置?网页数据自动抓取教程
- 361浏览 收藏
-
- 科技周边 · 人工智能 | 58分钟前 | MuleRun
- MuleRun如何设置JSON/文本/HTML输出格式
- 474浏览 收藏
-
- 科技周边 · 人工智能 | 1小时前 |
- 教你用万能Prompt框架解决90%办公问题
- 445浏览 收藏
-
- 科技周边 · 人工智能 | 2小时前 |
- MuleRun输入校验设置教程
- 191浏览 收藏
-
- 科技周边 · 人工智能 | 2小时前 | MuleRun
- MuleRun如何生成问卷\_快速创建表单教程
- 355浏览 收藏
-
- 科技周边 · 人工智能 | 2小时前 |
- Gamma制作沉浸式元宇宙发布会PPT技巧
- 456浏览 收藏
-
- 科技周边 · 人工智能 | 2小时前 |
- ChatGPT如何专业润色论文
- 460浏览 收藏
-
- 科技周边 · 人工智能 | 2小时前 |
- 豆包AI智能批注功能详解
- 318浏览 收藏
-
- 前端进阶之JavaScript设计模式
- 设计模式是开发人员在软件开发过程中面临一般问题时的解决方案,代表了最佳的实践。本课程的主打内容包括JS常见设计模式以及具体应用场景,打造一站式知识长龙服务,适合有JS基础的同学学习。
- 543次学习
-
- GO语言核心编程课程
- 本课程采用真实案例,全面具体可落地,从理论到实践,一步一步将GO核心编程技术、编程思想、底层实现融会贯通,使学习者贴近时代脉搏,做IT互联网时代的弄潮儿。
- 516次学习
-
- 简单聊聊mysql8与网络通信
- 如有问题加微信:Le-studyg;在课程中,我们将首先介绍MySQL8的新特性,包括性能优化、安全增强、新数据类型等,帮助学生快速熟悉MySQL8的最新功能。接着,我们将深入解析MySQL的网络通信机制,包括协议、连接管理、数据传输等,让
- 500次学习
-
- JavaScript正则表达式基础与实战
- 在任何一门编程语言中,正则表达式,都是一项重要的知识,它提供了高效的字符串匹配与捕获机制,可以极大的简化程序设计。
- 487次学习
-
- 从零制作响应式网站—Grid布局
- 本系列教程将展示从零制作一个假想的网络科技公司官网,分为导航,轮播,关于我们,成功案例,服务流程,团队介绍,数据部分,公司动态,底部信息等内容区块。网站整体采用CSSGrid布局,支持响应式,有流畅过渡和展现动画。
- 485次学习
-
- ChatExcel酷表
- ChatExcel酷表是由北京大学团队打造的Excel聊天机器人,用自然语言操控表格,简化数据处理,告别繁琐操作,提升工作效率!适用于学生、上班族及政府人员。
- 4224次使用
-
- Any绘本
- 探索Any绘本(anypicturebook.com/zh),一款开源免费的AI绘本创作工具,基于Google Gemini与Flux AI模型,让您轻松创作个性化绘本。适用于家庭、教育、创作等多种场景,零门槛,高自由度,技术透明,本地可控。
- 4582次使用
-
- 可赞AI
- 可赞AI,AI驱动的办公可视化智能工具,助您轻松实现文本与可视化元素高效转化。无论是智能文档生成、多格式文本解析,还是一键生成专业图表、脑图、知识卡片,可赞AI都能让信息处理更清晰高效。覆盖数据汇报、会议纪要、内容营销等全场景,大幅提升办公效率,降低专业门槛,是您提升工作效率的得力助手。
- 4463次使用
-
- 星月写作
- 星月写作是国内首款聚焦中文网络小说创作的AI辅助工具,解决网文作者从构思到变现的全流程痛点。AI扫榜、专属模板、全链路适配,助力新人快速上手,资深作者效率倍增。
- 6118次使用
-
- MagicLight
- MagicLight.ai是全球首款叙事驱动型AI动画视频创作平台,专注于解决从故事想法到完整动画的全流程痛点。它通过自研AI模型,保障角色、风格、场景高度一致性,让零动画经验者也能高效产出专业级叙事内容。广泛适用于独立创作者、动画工作室、教育机构及企业营销,助您轻松实现创意落地与商业化。
- 4834次使用
-
- GPT-4王者加冕!读图做题性能炸天,凭自己就能考上斯坦福
- 2023-04-25 501浏览
-
- 单块V100训练模型提速72倍!尤洋团队新成果获AAAI 2023杰出论文奖
- 2023-04-24 501浏览
-
- ChatGPT 真的会接管世界吗?
- 2023-04-13 501浏览
-
- VR的终极形态是「假眼」?Neuralink前联合创始人掏出新产品:科学之眼!
- 2023-04-30 501浏览
-
- 实现实时制造可视性优势有哪些?
- 2023-04-15 501浏览

