基于电荷的原子模拟实现,利用预训练通用神经网络CHGNet
在科技周边实战开发的过程中,我们经常会遇到一些这样那样的问题,然后要卡好半天,等问题解决了才发现原来一些细节知识点还是没有掌握好。今天golang学习网就整理分享《基于电荷的原子模拟实现,利用预训练通用神经网络CHGNet》,聊聊,希望可以帮助到正在努力赚钱的你。

重新编写的内容是:紫罗
复杂电子相互作用的大规模模拟仍然是原子建模面临的最大挑战之一。虽然经典力场通常无法描述电子态和离子重排之间的耦合,但更准确的从头算分子动力学受到计算复杂性的影响,无法进行长时间和大规模的模拟,而这对于研究技术相关现象至关重要
近日,来自加州大学伯克利分校和劳伦斯伯克利国家实验室的研究人员,提出了一种基于图神经网络的机器学习原子间势(MLIP)模型:晶体哈密顿图神经网络(Crystal Hamiltonian Graph Neural Network,CHGNet),可以对通用势能面进行建模。
研究强调了电荷信息对于捕获适当的化学反应的重要性,并提供了对离子系统的见解,这些离子系统具有以前的 MLIP 无法观察到的额外电子自由度。
该研究以「CHGNet as a pretrained universal neural network potential for charge-informed atomistic modelling」为题,于 2023 年 9 月 14 日发布在《Nature Machine Intelligence》上。

大规模模拟,如分子动力学(MD),是固态材料计算探索的重要工具。然而,精确建模电子相互作用及其在分子动力学模拟中微妙影响仍然是一个巨大的挑战。经典力场等经验方法通常不够准确,无法捕捉复杂的电子相互作用
从头算分子动力学 (AIMD) 与密度泛函理论 (DFT) 相结合,可以通过显式计算密度泛函近似内的电子结构,产生具有量子力学精度的高保真结果。长时间、大规模的自旋极化 AIMD 模拟对于研究离子迁移、相变和化学反应至关重要,具有挑战性且计算量极大。
诸如 ænet 和 DeepMD 之类的 MLIP,为弥合昂贵的电子结构方法和高效的经典原子间电势之间的差距提供了有希望的解决方案。然而,包含化合价对化学键的重要影响仍然是 MLIP 的一个挑战。
电荷可以通过多种方式来表示,从简单的氧化态标签到从量子力学推导出的连续波函数。将电荷信息纳入MLIP的挑战来自于许多因素,例如表示的模糊性、解释的复杂性、标签的稀缺性等
需要重新写作的内容是:CHGNet 架构
CHGNet根据材料项目轨迹数据集(MPtrj)的能量、力、应力和磁矩进行了预训练。该数据集包含了对150万个无机结构进行了10多年的密度泛函理论计算。通过明确包含磁矩,CHGNet能够学习并准确表示电子的轨道占据情况,从而增强了其描述原子和电子自由度的能力
MPtrj 数据集中元素的分布如下图所示

重写内容:图示:MPtrj数据集中元素的分布情况。(来源:论文)
在这里,研究人员将电荷定义为一种原子属性(原子电荷),可以通过包含磁矩(magmoms)来推断。研究表明,通过明确地将特定位点的 magmoms 作为电荷态约束纳入 CHGNet 中,既可以增强潜在空间正则化,又可以准确捕获电子相互作用
CHGNet 的基础是 GNN,其中图卷积层用于通过由边 {eij} 连接的一组节点 {vi} 传播原子信息。GNN 中保留了平移、旋转和排列不变性。CHGNet 以具有未知原子电荷的晶体结构作为输入,并输出相应的能量、力、应力和 magmoms。电荷装饰结构可以从现场 magmoms 和原子轨道理论推断出来。

重写内容如下:图示:CHGNet 模型架构。(来源:论文)
在 CHGNet 中,通过在原始单元中每个原子 vi 的
内搜索相邻原子 vj,将周期性晶体结构转换为原子图
。
与其他 GNN 不同,其中 t 个卷积层后更新的原子特征
直接用于预测能量,CHGNet 正则化 t−1 卷积层的节点特征
以包含有关岩浆的信息。正则化特征
携带有关局部离子环境和电荷分布的丰富信息。因此,用于预测能量、力和应力的原子特征
是受其电荷态信息约束的电荷。因此,CHGNet 可以仅使用核位置和原子身份作为输入来提供电荷态信息,从而可以研究原子建模中的电荷分布。
CHGNet 在固态材料中的应用
研究人员展示了 CHGNet 在固态材料中的几种应用。展示了 Na2V2(PO4)3 中原子电荷的电荷约束和潜在空间正则化,并展示了 CHGNet 在 LixMnO2 中的电荷转移和相变、LixFePO4 相图中的电子熵以及石榴石型锂超离子导体 Li3+xLa3Te2O12 中的锂 (Li) 和扩散率。
为了合理化对原子电荷的处理,使用 NASICON 型钠离子阴极材料 Na4V2(PO4)3 作为说明性示例。除了从 V 原子核的空间配位中学习之外,在没有任何有关 V 离子电荷分布的先验知识的情况下,CHGNet 成功地将 V 离子区分为三价 V 和四价 V 两组。

图中展示了Na2V2(PO4)3中的磁矩和隐藏空间的规范化。 (引用自论文)
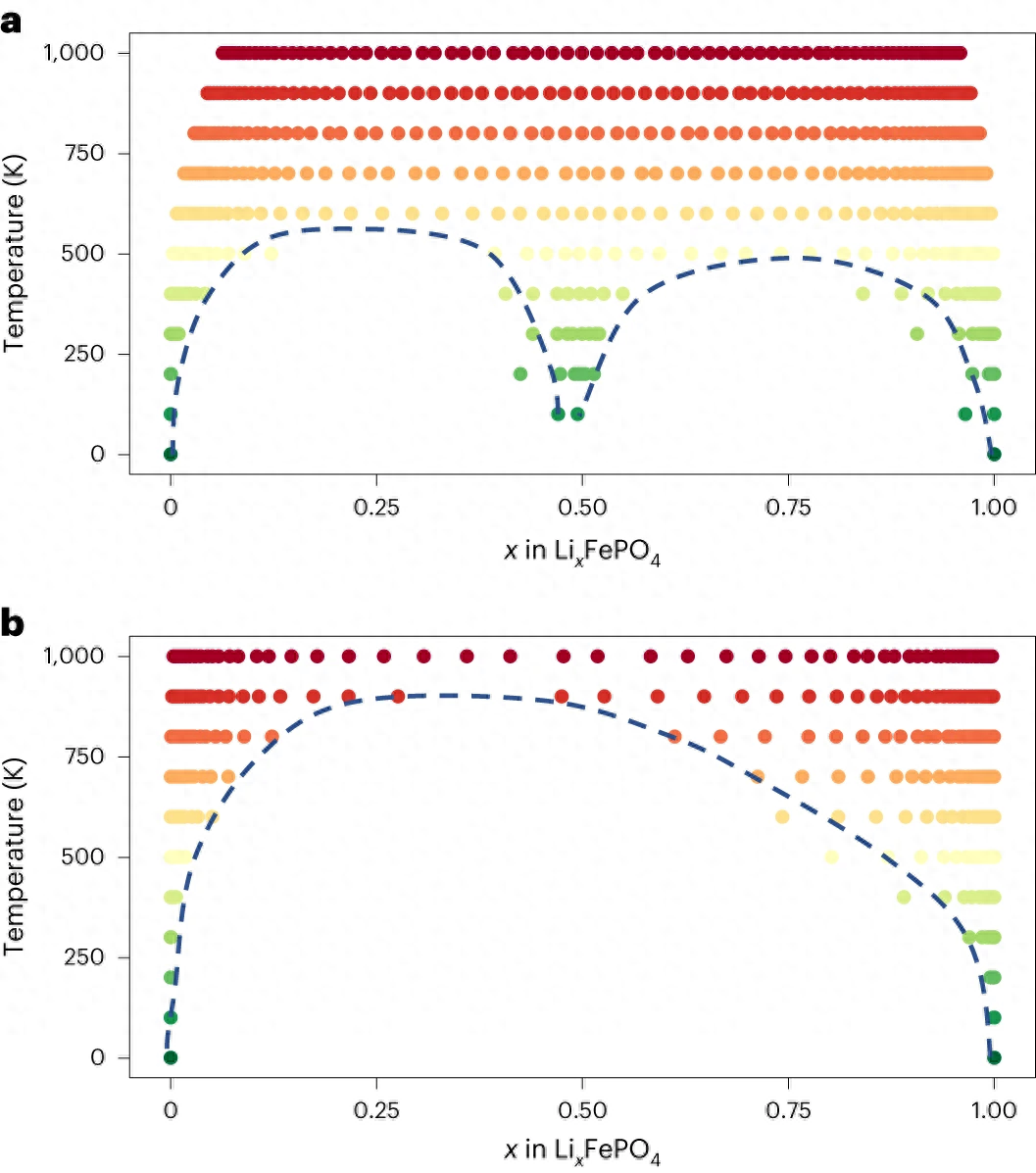
在 LixFePO4 的研究中强调了 CHGNet 区分

的能力,这对于包含电子熵和有限温度相稳定性至关重要。

图示:来自 CHGNet 的 LixFePO4 相图。(来源:论文)
在 LiMnO2 的研究中,证明了 CHGNet 能够通过长时间的电荷信息 MD 深入了解异价过渡金属氧化物体系中电荷歧化和相变之间的关系。

重写内容:图示:Li0.5MnO2的相变和电荷分化。(引自:论文)
接下来,我们研究了CHGNet在通用分子动力学模拟中的准确性。我们以石榴石导体中锂扩散为研究对象

图示:石榴石 Li3La3Te2O12 中的锂扩散率。(来源:论文)
结果显示,CHGNet不仅能够准确捕捉到活化扩散网络效应,而且其活化能量与DFT结果非常一致。这证明了CHGNet能够准确捕捉到锂离子在局部环境中的强相互作用,并具备模拟高度非线性扩散行为的能力。此外,CHGNet能够显著减少模拟扩散率的误差,并且通过扩展到纳秒级模拟,能够研究扩散率较差的系统
可进一步改进
虽然已经取得了以上的进步,但仍然有进一步改进的空间
首先,使用 magmom 进行价态推断并不能严格确保全局电荷中性
其次,尽管对于离子系统中自旋极化计算的原子电荷来说,magmom是一个很好的启发式方法,但人们意识到对于非磁性离子的原子电荷推断可能是不明确的,因此需要额外的领域知识。因此,对于没有magmom的离子,以原子为中心的magmom无法准确反映其原子电荷,CHGNet将从环境中推断电荷,类似于其他MLIP的功能
可以通过结合其他电荷表示方法来进一步增强模型,例如电子定位函数、电极化和基于原子轨道的划分。这些方法可以用于原子特征工程在潜在空间中
CHGNet 可以实现基于电荷的原子模拟,适用于大规模计算模拟以研究异价体系,从而扩大了计算化学、物理学、生物学和材料科学中电荷转移耦合现象的研究机会
请点击以下链接查看论文:https://www.nature.com/articles/s42256-023-00716-3
今天带大家了解了的相关知识,希望对你有所帮助;关于科技周边的技术知识我们会一点点深入介绍,欢迎大家关注golang学习网公众号,一起学习编程~
Python for NLP:如何处理包含多个章节的PDF文件?
- 上一篇
- Python for NLP:如何处理包含多个章节的PDF文件?
- 下一篇
- Linux服务器安全性:优化Web接口防御策略。
-
- 科技周边 · 人工智能 | 4小时前 |
- Claude Mythos创意能力测评与输出分析
- 263浏览 收藏
-
- 科技周边 · 人工智能 | 4小时前 | MuleRun
- MuleRun统计查看与任务分析方法
- 444浏览 收藏
-
- 科技周边 · 人工智能 | 5小时前 |
- 海螺AI语音静音设置教程
- 112浏览 收藏
-
- 科技周边 · 人工智能 | 5小时前 |
- Minimax视频生成功能全解析
- 431浏览 收藏
-
- 科技周边 · 人工智能 | 5小时前 | 文心一言 登录教程
- 文心一言官网登录教程 文心一言入口指南
- 460浏览 收藏
-
- 科技周边 · 人工智能 | 5小时前 | openclaw
- OpenClaw接入Telegram机器人教程
- 407浏览 收藏
-
- 科技周边 · 人工智能 | 5小时前 | Shutterstock
- Shutterstock高清图片怎么找?筛选下载技巧分享
- 481浏览 收藏
-
- 科技周边 · 人工智能 | 5小时前 |
- AI废话多?Gemini设置技巧教你精准提问
- 288浏览 收藏
-
- 科技周边 · 人工智能 | 5小时前 |
- DeepSeek SQL不符合MySQL规范,指定版本重写
- 297浏览 收藏
-
- 科技周边 · 人工智能 | 5小时前 |
- GammaAI如何导入3D模型?Gamma支持glb格式详解
- 175浏览 收藏
-
- 科技周边 · 人工智能 | 5小时前 |
- Luma Dream Machine视频生成方法教程
- 389浏览 收藏
-
- 科技周边 · 人工智能 | 5小时前 |
- AI视频清晰度低?后期提升技巧分享
- 285浏览 收藏
-
- 前端进阶之JavaScript设计模式
- 设计模式是开发人员在软件开发过程中面临一般问题时的解决方案,代表了最佳的实践。本课程的主打内容包括JS常见设计模式以及具体应用场景,打造一站式知识长龙服务,适合有JS基础的同学学习。
- 543次学习
-
- GO语言核心编程课程
- 本课程采用真实案例,全面具体可落地,从理论到实践,一步一步将GO核心编程技术、编程思想、底层实现融会贯通,使学习者贴近时代脉搏,做IT互联网时代的弄潮儿。
- 516次学习
-
- 简单聊聊mysql8与网络通信
- 如有问题加微信:Le-studyg;在课程中,我们将首先介绍MySQL8的新特性,包括性能优化、安全增强、新数据类型等,帮助学生快速熟悉MySQL8的最新功能。接着,我们将深入解析MySQL的网络通信机制,包括协议、连接管理、数据传输等,让
- 500次学习
-
- JavaScript正则表达式基础与实战
- 在任何一门编程语言中,正则表达式,都是一项重要的知识,它提供了高效的字符串匹配与捕获机制,可以极大的简化程序设计。
- 487次学习
-
- 从零制作响应式网站—Grid布局
- 本系列教程将展示从零制作一个假想的网络科技公司官网,分为导航,轮播,关于我们,成功案例,服务流程,团队介绍,数据部分,公司动态,底部信息等内容区块。网站整体采用CSSGrid布局,支持响应式,有流畅过渡和展现动画。
- 485次学习
-
- ChatExcel酷表
- ChatExcel酷表是由北京大学团队打造的Excel聊天机器人,用自然语言操控表格,简化数据处理,告别繁琐操作,提升工作效率!适用于学生、上班族及政府人员。
- 4245次使用
-
- Any绘本
- 探索Any绘本(anypicturebook.com/zh),一款开源免费的AI绘本创作工具,基于Google Gemini与Flux AI模型,让您轻松创作个性化绘本。适用于家庭、教育、创作等多种场景,零门槛,高自由度,技术透明,本地可控。
- 4605次使用
-
- 可赞AI
- 可赞AI,AI驱动的办公可视化智能工具,助您轻松实现文本与可视化元素高效转化。无论是智能文档生成、多格式文本解析,还是一键生成专业图表、脑图、知识卡片,可赞AI都能让信息处理更清晰高效。覆盖数据汇报、会议纪要、内容营销等全场景,大幅提升办公效率,降低专业门槛,是您提升工作效率的得力助手。
- 4488次使用
-
- 星月写作
- 星月写作是国内首款聚焦中文网络小说创作的AI辅助工具,解决网文作者从构思到变现的全流程痛点。AI扫榜、专属模板、全链路适配,助力新人快速上手,资深作者效率倍增。
- 6169次使用
-
- MagicLight
- MagicLight.ai是全球首款叙事驱动型AI动画视频创作平台,专注于解决从故事想法到完整动画的全流程痛点。它通过自研AI模型,保障角色、风格、场景高度一致性,让零动画经验者也能高效产出专业级叙事内容。广泛适用于独立创作者、动画工作室、教育机构及企业营销,助您轻松实现创意落地与商业化。
- 4860次使用
-
- GPT-4王者加冕!读图做题性能炸天,凭自己就能考上斯坦福
- 2023-04-25 501浏览
-
- 单块V100训练模型提速72倍!尤洋团队新成果获AAAI 2023杰出论文奖
- 2023-04-24 501浏览
-
- ChatGPT 真的会接管世界吗?
- 2023-04-13 501浏览
-
- VR的终极形态是「假眼」?Neuralink前联合创始人掏出新产品:科学之眼!
- 2023-04-30 501浏览
-
- 实现实时制造可视性优势有哪些?
- 2023-04-15 501浏览

