更通用、有效,蚂蚁自研优化器WSAM入选KDD Oral
IT行业相对于一般传统行业,发展更新速度更快,一旦停止了学习,很快就会被行业所淘汰。所以我们需要踏踏实实的不断学习,精进自己的技术,尤其是初学者。今天golang学习网给大家整理了《更通用、有效,蚂蚁自研优化器WSAM入选KDD Oral》,聊聊,我们一起来看看吧!
深度神经网络(DNNs)的泛化能力与极值点的平坦程度密切相关,因此出现了 Sharpness-Aware Minimization (SAM) 算法来寻找更平坦的极值点以提高泛化能力。本文重新审视 SAM 的损失函数,提出了一种更通用、有效的方法 WSAM,通过将平坦程度作为正则化项来改善训练极值点的平坦度。通过在各种公开数据集上的实验表明,与原始优化器、SAM 及其变体相比,WSAM 在绝大多数情形都实现了更好的泛化性能。WSAM 在蚂蚁内部数字支付、数字金融等多个场景也被普遍采用并取得了显著效果。该文被 KDD '23 接收为 Oral Paper。

- 论文地址:https://arxiv.org/pdf/2305.15817.pdf
- 代码地址:https://github.com/intelligent-machine-learning/dlrover/tree/master/atorch/atorch/optimizers
随着深度学习技术的发展,高度过参数化的 DNNs 在 CV 和 NLP 等各种机器学习场景下取得了巨大的成功。虽然过度参数化的模型容易过拟合训练数据,但它们通常具有良好的泛化能力。泛化的奥秘受到越来越多的关注,已成为深度学习领域的热门研究课题。
最新的研究显示,泛化能力与极值点的平坦程度密切相关。换句话说,损失函数的“地貌”中存在平坦的极值点可以实现更小的泛化误差。Sharpness-Aware Minimization (SAM) [1] 是一种用于寻找更平坦极值点的技术,被认为是当前最有前途的技术方向之一。SAM技术被广泛应用于计算机视觉、自然语言处理和双层学习等多个领域,并在这些领域中明显优于之前的最先进方法
为了探索更平坦的最小值,SAM 定义损失函数 L 在 w 处的平坦程度如下:

GSAM [2] 证明了
是局部极值点 Hessian 矩阵最大特征值的近似,表明
确实是平坦(陡峭)程度的有效度量。然而
只能用于寻找更平坦的区域而不是最小值点,这可能导致损失函数收敛到损失值依然很大的点(虽然周围区域很平坦)。因此,SAM 采用
,即
作为损失函数。它可以视为在
和
之间寻找更平坦的表面和更小损失值的折衷方案,在这里两者被赋予了同等的权重。
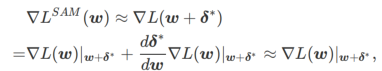
本文重新思考了
的构建,将
视为正则化项。我们开发了一个更通用、有效的算法,称为 WSAM(Weighted Sharpness-Aware Minimization),其损失函数加入了一个加权平坦度项
作为正则项,其中超参数
控制了平坦度的权重。在方法介绍章节,我们演示了如何通过
来指导损失函数找到更平坦或更小的极值点。我们的关键贡献可以总结如下。
- 我们提出 WSAM,将平坦度视为正则化项,并在不同任务之间给予不同的权重。我们提出一个“权重解耦”技术来处理更新公式中的正则化项,旨在精确反映当前步骤的平坦度。当基础优化器不是 SGD 时,如 SGDM 和 Adam,WSAM 在形式上与 SAM 有显著差异。消融实验表明,这种技术在大多数情况下可以提升效果。
- 我们在公开数据集上验证了 WSAM 在常见任务中的有效性。实验结果表明,与 SAM 及其变体相比,WSAM 在绝大多数情形都有着更好的泛化性能。
预备知识
SAM 是解决由公式(1)定义的
的极小极大最优化问题的一种技术。
首先,SAM 使用围绕 w 的一阶泰勒展开来近似内层的最大化问题,即、

其次,SAM 通过采用
的近似梯度来更新 w ,即

其中第二个近似是为了加速计算。其他基于梯度的优化器(称为基础优化器)可以纳入 SAM 的通用框架中,具体见Algorithm 1。通过改变 Algorithm 1 中的
和
,我们可以获得不同的基础优化器,例如 SGD、SGDM 和 Adam,参见 Tab. 1。请注意,当基础优化器为 SGD 时,Algorithm 1 回退到 SAM 论文 [1] 中的原始 SAM。


方法介绍
WSAM 的设计细节
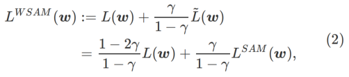
在此,我们给出
的正式定义,它由一个常规损失和一个平坦度项组成。由公式(1),我们有

其中
。当
=0 时,
退化为常规损失;当
=1/2 时,
等价于
;当
>1/2 时,
更注重平坦度,因此与 SAM 相比更容易找到具有较小曲率而非较小损失值的点;反之亦然。
包含不同基础优化器的 WSAM 的通用框架可以通过选择不同的
和
来实现,见 Algorithm 2。例如,当
和
时,我们得到基础优化器为 SGD 的 WSAM,见 Algorithm 3。在此,我们采用了一种“权重解耦”技术,即
平坦度项不是与基础优化器集成用于计算梯度和更新权重,而是独立计算(Algorithm 2 第 7 行的最后一项)。这样,正则化的效果只反映了当前步骤的平坦度,而没有额外的信息。为了进行比较,Algorithm 4 给出了没有“权重解耦”(称为 Coupled-WSAM)的 WSAM。例如,如果基础优化器是 SGDM,则 Coupled-WSAM 的正则化项是平坦度的指数移动平均值。如实验章节所示,“权重解耦”可以在大多数情况下改善泛化表现。




Fig. 1 展示了不同
取值下的 WSAM 更新过程。当
时,
介于
和
之间,并随着
增大逐渐偏离
。

简单示例
为了更好地说明 WSAM 中 γ 的效果和优势,我们设置了一个二维简单示例。如 Fig. 2 所示,损失函数在左下角有一个相对不平坦的极值点(位置:(-16.8, 12.8),损失值:0.28),在右上角有一个平坦的极值点(位置:(19.8, 29.9),损失值:0.36)。损失函数定义为:
,这里
是单变量高斯模型与两个正态分布之间的 KL 散度,即
,其中
和
。
我们使用动量为 0.9 的 SGDM 作为基础优化器,并对 SAM 和 WSAM 设置
=2 。从初始点 (-6, 10) 开始,使用学习率为 5 在 150 步内优化损失函数。SAM 收敛到损失值更低但更不平坦的极值点,
=0.6的 WSAM 也类似。然而,
=0.95 使得损失函数收敛到平坦的极值点,说明更强的平坦度正则化发挥了作用。

实验
我们在各种任务上进行了实验,以验证 WSAM 的有效性。
图像分类
我们首先研究了 WSAM 在 Cifar10 和 Cifar100 数据集上从零开始训练模型的效果。我们选择的模型包括 ResNet18 和WideResNet-28-10。我们使用预定义的批大小在 Cifar10 和 Cifar100 上训练模型,ResNet18 和 WideResNet-28-10 分别为 128,256。这里使用的基础优化器是动量为 0.9 的 SGDM。按照 SAM [1] 的设置,每个基础优化器跑的 epoch 数是 SAM 类优化器的两倍。我们对两种模型都进行了 400 个 epoch 的训练(SAM 类优化器为 200 个 epoch),并使用 cosine scheduler 来衰减学习率。这里我们没有使用其他高级数据增强方法,例如 cutout 和 AutoAugment。
对于两种模型,我们使用联合网格搜索确定基础优化器的学习率和权重衰减系数,并将它们保持不变用于接下来的 SAM 类优化器实验。学习率和权重衰减系数的搜索范围分别为 {0.05, 0.1} 和 {1e-4, 5e-4, 1e-3}。由于所有 SAM 类优化器都有一个超参数
(邻域大小),我们接下来在 SAM 优化器上搜索最佳的
并将相同的值用于其他 SAM 类优化器。
的搜索范围为 {0.01, 0.02, 0.05, 0.1, 0.2, 0.5}。最后,我们对其他 SAM 类优化器各自独有的超参进行搜索,搜索范围来自各自原始文章的推荐范围。对于 GSAM [2],我们在 {0.01, 0.02, 0.03, 0.1, 0.2, 0.3} 范围内搜索。对于 ESAM [3],我们在 {0.4, 0.5, 0.6} 范围内搜索
,在 {0.4, 0.5, 0.6} 范围内搜索
,在 {0.4, 0.5, 0.6} 范围内搜索
。对于 WSAM,我们在 {0.5, 0.6, 0.7, 0.8, 0.82, 0.84, 0.86, 0.88, 0.9, 0.92, 0.94, 0.96} 范围内搜索
。我们使用不同的随机种子重复实验 5 次,计算了平均误差和标准差。我们在单卡 NVIDIA A100 GPU 上进行实验。每个模型的优化器超参总结在 Tab. 3 中。

Tab. 2 给出了在不同优化器下,ResNet18、WRN-28-10 在 Cifar10 和 Cifar100 上测试集的 top-1 错误率。相比基础优化器,SAM 类优化器显著提升了效果,同时,WSAM 又显著优于其他 SAM 类优化器。

ImageNet 上的额外训练
我们在ImageNet数据集上进一步使用Data-Efficient Image Transformers网络结构进行实验。我们恢复了一个预训练的DeiT-base检查点,然后继续训练三个epoch。模型使用批大小256进行训练,基础优化器为动量0.9的SGDM,权重衰减系数为1e-4,学习率为1e-5。我们在四卡NVIDIA A100 GPU上重复运行5次,并计算平均误差和标准差
我们在 {0.05, 0.1, 0.5, 1.0,⋯ , 6.0} 中搜索 SAM 的最佳
。最佳的
=5.5 被直接用于其他 SAM 类优化器。之后,我们在{0.01, 0.02, 0.03, 0.1, 0.2, 0.3}中搜索 GSAM 的最佳
,并在 0.80 到 0.98 之间以 0.02 的步长搜索WSAM 的最佳
。
模型的初始 top-1 错误率为 18.2%,在进行了三个额外的 epoch 之后,错误率如 Tab. 4 所示。我们没有发现三个 SAM-like 优化器之间有明显的差异,但它们都优于基础优化器,表明它们可以找到更平坦的极值点并具有更好的泛化能力。

标签噪声的鲁棒性
如先前的研究 [1, 4, 5] 所示,SAM 类优化器在训练集存在标签噪声时表现出良好的鲁棒性。在这里,我们将 WSAM 的鲁棒性与 SAM、ESAM 和 GSAM 进行了比较。我们在 Cifar10 数据集上训练 ResNet18 200 个 epoch,并注入对称标签噪声,噪声水平为 20%、40%、60% 和 80%。我们使用具有 0.9 动量的 SGDM 作为基础优化器,批大小为 128,学习率为 0.05,权重衰减系数为 1e-3,并使用 cosine scheduler 衰减学习率。针对每个标签噪声水平,我们在 {0.01, 0.02, 0.05, 0.1, 0.2, 0.5} 范围内对 SAM 进行网格搜索,确定通用的
值。然后,我们单独搜索其他优化器特定的超参数,以找到最优泛化性能。我们在 Tab. 5 中列出了复现我们结果所需的超参数。我们在 Tab. 6 中给出了鲁棒性测试的结果,WSAM 通常比 SAM、ESAM 和 GSAM 都具有更好的鲁棒性。

探索几何结构的影响
SAM 类优化器可以与 ASAM [4] 和 Fisher SAM [5] 等技术相结合,以自适应地调整探索邻域的形状。我们在 Cifar10 上对 WRN-28-10 进行实验,比较 SAM 和 WSAM 在分别使用自适应和 Fisher 信息方法时的表现,以了解探索区域的几何结构如何影响 SAM 类优化器的泛化性能。
除了
和
之外的参数,我们复用了图像分类中的配置。根据先前的研究 [4, 5],ASAM 和 Fisher SAM 的
通常较大。我们在 {0.1, 0.5, 1.0,…, 6.0} 中搜索最佳的
,ASAM 和 Fisher SAM 最佳的
均为 5.0。之后,我们在 0.80 到 0.94 之间以 0.02 的步长搜索 WSAM 的最佳
,两种方法最佳
均为 0.88。
令人惊讶的是,如 Tab. 7 所示,即使在多个候选项中,基准的 WSAM 也表现出更好的泛化性。因此,我们建议直接使用具有固定的
基准 WSAM 即可。

消融实验
在本节中,我们进行消融实验,以深入理解 WSAM 中“权重解耦”技术的重要性。如WSAM 的设计细节所述,我们将不带“权重解耦”的 WSAM 变体(算法 4)Coupled-WSAM 与原始方法进行比较。
结果如 Tab. 8 所示。Coupled-WSAM 在大多数情况下比 SAM 产生更好的结果,WSAM 在大多数情况下进一步提升了效果,证明“权重解耦”技术的有效性。

极值点分析
在这里,我们通过比较 WSAM 和 SAM 优化器找到的极值点之间的差异,进一步加深对 WSAM 优化器的理解。极值点处的平坦(陡峭)度可通过 Hessian 矩阵的最大特征值来描述。特征值越大,越不平坦。我们使用 Power Iteration 算法来计算这个最大特征值。
Tab. 9 显示了 SAM 和 WSAM 优化器找到的极值点之间的差异。我们发现,vanilla 优化器找到的极值点具有更小的损失值但更不平坦,而 SAM 找到的极值点具有更大的损失值但更平坦,从而改善了泛化性能。有趣的是,WSAM 找到的极值点不仅损失值比 SAM 小得多,而且平坦度十分接近 SAM。这表明,在寻找极值点的过程中,WSAM 优先确保更小的损失值,同时尽量搜寻到更平坦的区域。

超参敏感性
与 SAM 相比,WSAM 具有一个额外的超参数
,用于缩放平坦(陡峭)度项的大小。在这里,我们测试 WSAM 的泛化性能对该超参的敏感性。我们在 Cifar10 和 Cifar100 上使用 WSAM 对 ResNet18 和 WRN-28-10 模型进行了训练,使用了广泛的
取值。如 Fig. 3 所示,结果表明 WSAM 对超参
的选择不敏感。我们还发现,WSAM 的最优泛化性能几乎总是在 0.8 到 0.95 之间。

到这里,我们也就讲完了《更通用、有效,蚂蚁自研优化器WSAM入选KDD Oral》的内容了。个人认为,基础知识的学习和巩固,是为了更好的将其运用到项目中,欢迎关注golang学习网公众号,带你了解更多关于数据,训练的知识点!
新疆昌吉:智能巡检机器人“上岗”保供电
- 上一篇
- 新疆昌吉:智能巡检机器人“上岗”保供电
- 下一篇
- AI失控风险引发Meta举牌抗议,LeCun称开源AI社区蓬勃发展
-
- 科技周边 · 人工智能 | 3小时前 |
- 大语言模型LLM是什么?一篇文章讲透AI大脑
- 394浏览 收藏
-
- 科技周边 · 人工智能 | 4小时前 |
- Minimax视频多场景转换提示词技巧
- 126浏览 收藏
-
- 科技周边 · 人工智能 | 4小时前 |
- SWOT进阶用法:TOWS矩阵策略生成指南
- 215浏览 收藏
-
- 科技周边 · 人工智能 | 4小时前 |
- AIGC查重官网入口及知网检测链接
- 352浏览 收藏
-
- 科技周边 · 人工智能 | 4小时前 |
- PVEso特效制作教程:一键添加动态滤镜
- 102浏览 收藏
-
- 科技周边 · 人工智能 | 5小时前 |
- Notion AI任务清单怎么设置及操作方法
- 114浏览 收藏
-
- 科技周边 · 人工智能 | 5小时前 |
- 骡子快跑批量私信方法及脚本使用教程
- 268浏览 收藏
-
- 科技周边 · 人工智能 | 5小时前 |
- AI画板大小怎么调?详细步骤教程
- 185浏览 收藏
-
- 科技周边 · 人工智能 | 5小时前 |
- DeepSeek提示无法加载思维链图形,如何解决?
- 174浏览 收藏
-
- 科技周边 · 人工智能 | 5小时前 |
- DeepSeek Chat官网及网页版体验分享
- 135浏览 收藏
-
- 科技周边 · 人工智能 | 5小时前 |
- 千问AI视频生成器使用教程详解
- 374浏览 收藏
-
- 科技周边 · 人工智能 | 6小时前 | 人工智能 AI工具
- 2025图片转PPT AI工具Top10榜单
- 490浏览 收藏
-
- 前端进阶之JavaScript设计模式
- 设计模式是开发人员在软件开发过程中面临一般问题时的解决方案,代表了最佳的实践。本课程的主打内容包括JS常见设计模式以及具体应用场景,打造一站式知识长龙服务,适合有JS基础的同学学习。
- 543次学习
-
- GO语言核心编程课程
- 本课程采用真实案例,全面具体可落地,从理论到实践,一步一步将GO核心编程技术、编程思想、底层实现融会贯通,使学习者贴近时代脉搏,做IT互联网时代的弄潮儿。
- 516次学习
-
- 简单聊聊mysql8与网络通信
- 如有问题加微信:Le-studyg;在课程中,我们将首先介绍MySQL8的新特性,包括性能优化、安全增强、新数据类型等,帮助学生快速熟悉MySQL8的最新功能。接着,我们将深入解析MySQL的网络通信机制,包括协议、连接管理、数据传输等,让
- 500次学习
-
- JavaScript正则表达式基础与实战
- 在任何一门编程语言中,正则表达式,都是一项重要的知识,它提供了高效的字符串匹配与捕获机制,可以极大的简化程序设计。
- 487次学习
-
- 从零制作响应式网站—Grid布局
- 本系列教程将展示从零制作一个假想的网络科技公司官网,分为导航,轮播,关于我们,成功案例,服务流程,团队介绍,数据部分,公司动态,底部信息等内容区块。网站整体采用CSSGrid布局,支持响应式,有流畅过渡和展现动画。
- 485次学习
-
- ChatExcel酷表
- ChatExcel酷表是由北京大学团队打造的Excel聊天机器人,用自然语言操控表格,简化数据处理,告别繁琐操作,提升工作效率!适用于学生、上班族及政府人员。
- 4226次使用
-
- Any绘本
- 探索Any绘本(anypicturebook.com/zh),一款开源免费的AI绘本创作工具,基于Google Gemini与Flux AI模型,让您轻松创作个性化绘本。适用于家庭、教育、创作等多种场景,零门槛,高自由度,技术透明,本地可控。
- 4582次使用
-
- 可赞AI
- 可赞AI,AI驱动的办公可视化智能工具,助您轻松实现文本与可视化元素高效转化。无论是智能文档生成、多格式文本解析,还是一键生成专业图表、脑图、知识卡片,可赞AI都能让信息处理更清晰高效。覆盖数据汇报、会议纪要、内容营销等全场景,大幅提升办公效率,降低专业门槛,是您提升工作效率的得力助手。
- 4463次使用
-
- 星月写作
- 星月写作是国内首款聚焦中文网络小说创作的AI辅助工具,解决网文作者从构思到变现的全流程痛点。AI扫榜、专属模板、全链路适配,助力新人快速上手,资深作者效率倍增。
- 6119次使用
-
- MagicLight
- MagicLight.ai是全球首款叙事驱动型AI动画视频创作平台,专注于解决从故事想法到完整动画的全流程痛点。它通过自研AI模型,保障角色、风格、场景高度一致性,让零动画经验者也能高效产出专业级叙事内容。广泛适用于独立创作者、动画工作室、教育机构及企业营销,助您轻松实现创意落地与商业化。
- 4836次使用
-
- GPT-4王者加冕!读图做题性能炸天,凭自己就能考上斯坦福
- 2023-04-25 501浏览
-
- 单块V100训练模型提速72倍!尤洋团队新成果获AAAI 2023杰出论文奖
- 2023-04-24 501浏览
-
- ChatGPT 真的会接管世界吗?
- 2023-04-13 501浏览
-
- VR的终极形态是「假眼」?Neuralink前联合创始人掏出新产品:科学之眼!
- 2023-04-30 501浏览
-
- 实现实时制造可视性优势有哪些?
- 2023-04-15 501浏览

