陶哲轩疯狂安利Copilot:它帮我完成了一页纸证明,甚至能猜出我后面的过程
在IT行业这个发展更新速度很快的行业,只有不停止的学习,才不会被行业所淘汰。如果你是科技周边学习者,那么本文《陶哲轩疯狂安利Copilot:它帮我完成了一页纸证明,甚至能猜出我后面的过程》就很适合你!本篇内容主要包括##content_title##,希望对大家的知识积累有所帮助,助力实战开发!
继给GPT-4“代言”之后,Copilot也被陶哲轩疯狂安利。
他直言,在编程时,Copilot能直接预测出他下一步要做什么。
有了Copilot之后,研究做起来也更方便了,陶哲轩也用它辅助自己完成了最新的研究成果。

陶哲轩说,这次的论文中,有关这一部分的内容其实只有一页。
但具体完成这一页纸的证明,他足足写了200多行代码,用的还是新学的编程语言Lean4。

而在陶哲轩公开代码的GitHub页面上显示,Copilot将写代码的速度提升了一半以上。

陶哲轩介绍,之所以选择Lean4是看中了它的“重写策略”,也就是对一长段表达式进行针对性的局部替换。
举个例子,假如定义了一个复杂的函数f(x),当我们想输入f(114514)的表达式时,直接用代码把x“重写”成114514就可以了。
陶哲轩说,这个特性相比于需要反复输入公式的LaTeX简直不要太方便。
那么陶哲轩这次的“一页纸证明”又给我们带来了什么新成果呢?
一页纸证明新不等式
这篇论文谈论了有关麦克劳林不等式的问题。
麦克劳林不等式是数学中一个经典的不等式,它基于“非负实数的算数平均值大于等于几何平均值”这一定律导出,可以表述为:
设y1…yn为非负实数,对k=1…n,定义均值Sk为(分母为分子的项数):

它作为具有根的 n 次多项式的归一化系数而出现。

(记住这个式子,我们称它为式1)
则麦克劳林不等式可以表示为:

其中,当且仅当所有yi相等时等号成立。
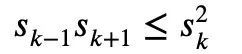
在微积分中,还有一个经典的牛顿不等式:

对任意1≤k

但如果不加上这个限制条件,即允许负数项的存在,用牛顿不等式就无法表示麦克劳林不等式了。
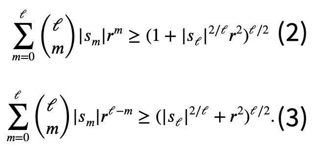
于是针对牛顿不等式中可能存在负数项的情况,陶哲轩提出了一组新的不等式变体:
对任意r>0且1≤ℓ≤n,必有式2或式3成立。

这便是陶哲轩这一页纸所要证明的内容,具体证明过程是这样的:
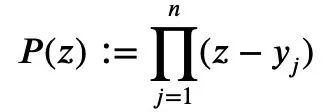
不妨构建一个关于复杂变量z的多项式P(z):

由前面的式1和三角不等式可得:

所以只需要建立下界:

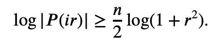
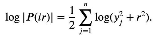
对P(z)取绝对值再取对数可得:

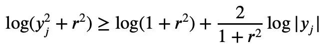
由于对任意实数t,t ↦ log(et+a)呈凸性且a>0,可以得到不等式:

当a=r2,t=2log yj时,可以得出:

以上就是陶哲轩给出的证明过程,但是,当归一化的|Sn|=1时,下式成立:

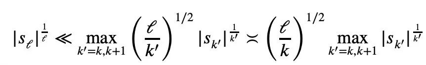
下一步:建立细化版本
除了这次提到的“一页纸证明”,陶哲轩的这篇论文中还提出了另一项新的定理,即对任意 1 ≤ k ≤ ℓ≤ n.:

在博客文章中,陶哲轩透露,他的下一步计划就是提出这一不等式的细化版本。
陶哲轩说,证明的过程“就像练习一样”会很简单,用微积分就能搞定。
不过,他也提到会有一个小困难,因为这部分论证过程使用到了渐进符号。

新的结论具体怎样,让我们拭目以待。
One More Thing
陶哲轩可谓是AI工具的忠实粉丝,Copilot、GPT-4,还有一些其他辅助工具都受到过他的推荐。
这次,他还对大模型的发展提出了新的期待,希望有一天模型可以直接生成不等式变体。

论文地址:https://arxiv.org/abs/2310.05328
文中关于工具,AI的知识介绍,希望对你的学习有所帮助!若是受益匪浅,那就动动鼠标收藏这篇《陶哲轩疯狂安利Copilot:它帮我完成了一页纸证明,甚至能猜出我后面的过程》文章吧,也可关注golang学习网公众号了解相关技术文章。
让大模型看图比打字管用!NeurIPS 2023新研究提出多模态查询方法,准确率提升7.8%
- 上一篇
- 让大模型看图比打字管用!NeurIPS 2023新研究提出多模态查询方法,准确率提升7.8%
- 下一篇
- 杭州亚残运会开幕式十大精彩瞬间丨“意念”点火:智能仿生手通过“脑机接口”点燃主火炬塔
-
- 科技周边 · 人工智能 | 59秒前 | openclaw
- OpenClawAI开发者模式怎么开?
- 190浏览 收藏
-
- 科技周边 · 人工智能 | 11分钟前 | openclaw
- OpenClawAI优化Llama3响应速度技巧
- 437浏览 收藏
-
- 科技周边 · 人工智能 | 13分钟前 | Capybara
- CapybaraAI有夜间模式吗_暗色主题开启方法
- 163浏览 收藏
-
- 科技周边 · 人工智能 | 34分钟前 |
- Perplexity AI直播脚本怎么写?
- 231浏览 收藏
-
- 科技周边 · 人工智能 | 46分钟前 |
- Workbuddy任务提醒设置教程
- 490浏览 收藏
-
- 科技周边 · 人工智能 | 1小时前 |
- DeepSeek官网入口及网页版访问方式
- 356浏览 收藏
-
- 科技周边 · 人工智能 | 1小时前 |
- Clawdbot心理咨询应用:AI能当倾听者吗?
- 394浏览 收藏
-
- 科技周边 · 人工智能 | 1小时前 | openclaw
- OpenClaw真实爆肝场景分享
- 110浏览 收藏
-
- 科技周边 · 人工智能 | 2小时前 |
- lovemo官网入口及正版链接大全
- 155浏览 收藏
-
- 科技周边 · 人工智能 | 2小时前 |
- Minimax视频生成入口及网页版地址
- 374浏览 收藏
-
- 科技周边 · 人工智能 | 2小时前 |
- Minimax生成素描线稿视频方法
- 363浏览 收藏
-
- 科技周边 · 人工智能 | 2小时前 |
- 豆包AI数学能力测试:能解算术题吗?
- 455浏览 收藏
-
- 前端进阶之JavaScript设计模式
- 设计模式是开发人员在软件开发过程中面临一般问题时的解决方案,代表了最佳的实践。本课程的主打内容包括JS常见设计模式以及具体应用场景,打造一站式知识长龙服务,适合有JS基础的同学学习。
- 543次学习
-
- GO语言核心编程课程
- 本课程采用真实案例,全面具体可落地,从理论到实践,一步一步将GO核心编程技术、编程思想、底层实现融会贯通,使学习者贴近时代脉搏,做IT互联网时代的弄潮儿。
- 516次学习
-
- 简单聊聊mysql8与网络通信
- 如有问题加微信:Le-studyg;在课程中,我们将首先介绍MySQL8的新特性,包括性能优化、安全增强、新数据类型等,帮助学生快速熟悉MySQL8的最新功能。接着,我们将深入解析MySQL的网络通信机制,包括协议、连接管理、数据传输等,让
- 500次学习
-
- JavaScript正则表达式基础与实战
- 在任何一门编程语言中,正则表达式,都是一项重要的知识,它提供了高效的字符串匹配与捕获机制,可以极大的简化程序设计。
- 487次学习
-
- 从零制作响应式网站—Grid布局
- 本系列教程将展示从零制作一个假想的网络科技公司官网,分为导航,轮播,关于我们,成功案例,服务流程,团队介绍,数据部分,公司动态,底部信息等内容区块。网站整体采用CSSGrid布局,支持响应式,有流畅过渡和展现动画。
- 485次学习
-
- ChatExcel酷表
- ChatExcel酷表是由北京大学团队打造的Excel聊天机器人,用自然语言操控表格,简化数据处理,告别繁琐操作,提升工作效率!适用于学生、上班族及政府人员。
- 4234次使用
-
- Any绘本
- 探索Any绘本(anypicturebook.com/zh),一款开源免费的AI绘本创作工具,基于Google Gemini与Flux AI模型,让您轻松创作个性化绘本。适用于家庭、教育、创作等多种场景,零门槛,高自由度,技术透明,本地可控。
- 4590次使用
-
- 可赞AI
- 可赞AI,AI驱动的办公可视化智能工具,助您轻松实现文本与可视化元素高效转化。无论是智能文档生成、多格式文本解析,还是一键生成专业图表、脑图、知识卡片,可赞AI都能让信息处理更清晰高效。覆盖数据汇报、会议纪要、内容营销等全场景,大幅提升办公效率,降低专业门槛,是您提升工作效率的得力助手。
- 4476次使用
-
- 星月写作
- 星月写作是国内首款聚焦中文网络小说创作的AI辅助工具,解决网文作者从构思到变现的全流程痛点。AI扫榜、专属模板、全链路适配,助力新人快速上手,资深作者效率倍增。
- 6139次使用
-
- MagicLight
- MagicLight.ai是全球首款叙事驱动型AI动画视频创作平台,专注于解决从故事想法到完整动画的全流程痛点。它通过自研AI模型,保障角色、风格、场景高度一致性,让零动画经验者也能高效产出专业级叙事内容。广泛适用于独立创作者、动画工作室、教育机构及企业营销,助您轻松实现创意落地与商业化。
- 4849次使用
-
- GPT-4王者加冕!读图做题性能炸天,凭自己就能考上斯坦福
- 2023-04-25 501浏览
-
- 单块V100训练模型提速72倍!尤洋团队新成果获AAAI 2023杰出论文奖
- 2023-04-24 501浏览
-
- ChatGPT 真的会接管世界吗?
- 2023-04-13 501浏览
-
- VR的终极形态是「假眼」?Neuralink前联合创始人掏出新产品:科学之眼!
- 2023-04-30 501浏览
-
- 实现实时制造可视性优势有哪些?
- 2023-04-15 501浏览

