清华新研究解密信息茧房!全新信息动力学理论,登Nature子刊
目前golang学习网上已经有很多关于科技周边的文章了,自己在初次阅读这些文章中,也见识到了很多学习思路;那么本文《清华新研究解密信息茧房!全新信息动力学理论,登Nature子刊》,也希望能帮助到大家,如果阅读完后真的对你学习科技周边有帮助,欢迎动动手指,评论留言并分享~
新一代信息与智能技术的迅猛发展推动着人类逐步迈入智能社会。在数字技术和智能推荐算法的加持下,媒体和平台越来越贴心,总是能最快最准的地契合人们的个性化偏好和需求。
然而,与此同时,智能精准推荐致使「信息茧房」现象不断发酵,观点相似的人群在网络空间组成团体,特定价值偏好在群体中汇集放大,逐渐形成极端的观点。
针对名人或社会事件的每一种极端观点都能够被利用成为意识形态加入和影响的工具,在网络空间和现实世界中推波助澜,掀起「汹汹民意」。
然而,即便如此,我们对于信息茧房仍所知甚少:真实线上系统中的信息茧房究竟有多严重?缺乏大规模实证研究;信息茧房的形成机理是什么?缺乏基础理论支撑;如何解决信息茧房问题?缺乏行之有效的手段。
最近,清华大学电子系城市科学与计算研究中心与公管学院跨学科合作,通过大规模实证研究与信息动力学理论建模,首次大规模数据实证及理论揭示了信息媒体上信息茧房涌现的内在机理与相变边界,为理解当下智能社会中人-智交互复杂社会系统提供了全新思路。
该成果以「人-智自适应动力学驱动信息茧房涌现」(Human–AI adaptive dynamics drives the emergence of information cocoons)为题在《自然·机器智能》(Nature Machine Intelligence)上在线发表。

论文链接:https://www.nature.com/articles/s42256-023-00731-4
代码及数据链接:https://github.com/tsinghua-fib-lab/Adaptive-Information-Dynamic-Model
该成果聚焦于新闻与视频两个典型场景,通过分析5.7亿用户行为数据和使用信息熵度量信息茧房严重程度,发现在一年交互后,超过57%的活跃用户均经历了不同程度的信息熵下降,标志着现实系统中信息茧房的严重性。
在实证发现的基础上,该成果提出了人-智自适应信息动力学模型,以建模人类与推荐算法之间的关键反馈回路,并通过系统信息熵的演化规律来刻画信息茧房相变过程。
该模型从非平衡态统计力学视角揭示了「多样化-部分信息茧房-深度信息茧房」复杂系统的相变过程及相变边界,为控制人-智交互复杂社会系统中的信息茧房问题提供了理论基础,并启发后续设计通过平衡系统正反馈与负反馈以及算法精准推送与用户自由探索,破除信息茧房,进而实现负责任的推荐算法。
论文概述
人工智能作为一种新兴颠覆性技术,正在深刻改变着人类的生产、生活方式和思维方式,对经济发展与社会进步产生着重大而深远的影响。其中,推荐算法作为人工智能技术最广泛应用的一种,能够有效缓解信息过载问题,极大程度地影响着人们的所见所闻与所思所想。
然而,推荐算法也是一把双刃剑,其所提供的个性化推荐会使人们所接触的信息变得越来越同质化,逐渐困于信息茧房之中。而这些同质化的信息,不但会限制人们的眼界,使其远离集体、疏离社会,而且还会助长社会矛盾与分裂。
因此,为了遏制信息茧房的产生,理解其背后的产生机理是首要一步。
已有对于信息同质化问题的研究[1-5],大多聚焦于人类行为或是智能算法。通过实证研究方法,研究指出社交媒体上同质人群聚集的潜在因素或是算法过滤效应,然而由于数据与方法论的限制,仅能够提供相关性结论。
最近,一些实证研究[25,26]进行了因果性的分析。然而,这些研究仍未提供内在机理性的分析与解释。更进一步地,当前推荐算法大多基于黑盒的人工智能深度学习方法,而其背后的数以亿计的参数量,使得我们更加难以洞察信息茧房的根源。
针对信息茧房根源未知的问题,研究团队聚焦于新闻与视频两个典型场景,通过大规模实证研究发现,在一年交互过程中,超过57%的活跃用户均经历了不同程度的信息多样性的下降,并指出基于相似度匹配与正负反馈是影响信息同质化过程的关键要素。
进一步,基于实证发现与推荐算法领域实践,研究团队受随机热力学思想启发,创造性地提出了人-智自适应信息动力学模型。
该模型通过刻画基于相似度匹配与反馈利用两个基本机制,机理性地建模了人类与推荐算法之间的关键反馈回路,并通过系统信息熵的演化来刻画系统相变过程。
通过仿真实验与理论分析,揭示了「多样化-部分信息茧房-深度信息茧房」复杂系统的相变过程及相变边界,为控制人-智交互复杂社会系统中的信息茧房问题提供了理论基础与实用方法。

人-智自适应信息动力学模型
技术要点
研究团队聚焦于新闻与视频两个内容推荐典型场景,通过大规模真实数据的实证分析,刻画了真实世界信息茧房的严重程度及其影响因素。
具体而言,研究团队使用信息熵来刻画用户所接收信息的多样性,发现超过57%的活跃用户都经历了不同程度的信息多样性的下降,其视野被推荐算法逐渐局限于狭窄的信息茧房。
通过进一步分析,研究团队发现推荐算法基于相似度匹配的强度以及正负反馈是影响信息茧房产生的关键要素。该实证研究不仅首次量化了真实大规模在线信息系统中信息茧房的严重程度,而且为后续理论模型的提出奠定了基础。

(a-c)聚焦于新闻与视频两个典型场景,量化真实世界信息茧房严重程度;(d-f)相似度匹配强度、正负反馈是影响信息茧房形成的重要因素。
基于实证结论与推荐算法领域实践,结合随机热力学理论,研究团队创造性地提出了人-智自适应信息动力学模型。
该模型采用信息熵来表示用户所接触信息的多样性,并使用系统信息熵分布来表示系统所处状态。
与依靠数以亿计参数的深度学习模型不同,所提出的模型仅依靠基于相似度匹配与用户反馈两个基本机制,机理性地建模了人类与推荐算法之间的关键反馈回路,并使用随机动力学方程刻画人-智复杂动力学交互过程。

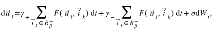
其中,
代表用户l已被观测到的兴趣分布,
代表物品k的特征分布,
分别代表基于相似度匹配强度、正反馈利用率、负反馈利用率、自由探索强度。
基于上式能够推导出描述关于用户在各类主题上已被观测到的偏好的福克-普朗克方程,进一步通过平均场近似方法,最终能够推导出用户所接收的信息熵在人群上的分布。
研究团队指出,在不同参数空间下,该人-智交互复杂社会系统存在多样化、部分信息茧房与深度信息茧房三种状态,而这三种系统状态分别被三种不同的信息熵分布所刻画。
大规模的仿真实验与实证分析进一步验证了所提出模型的解释力与有效性。

随着(a)基于相似度匹配强度或(b)正反馈利用率的增加,人-智交互复杂社会系统经历了从多样化状态到部分信息茧房状态,再到深度信息茧房状态的相变过程。红色虚线为理论线,柱状图为仿真线。
研究团队发现,随着基于相似度匹配强度或正反馈利用率的增加,该复杂系统呈现出了从多样化状态到部分信息茧房状态,再到深度信息茧房状态的相变过程。
然而,如果提升负反馈利用率或自由探索强度,系统则会经历一个逆相变过程,即从深度信息茧房到部分信息茧房,最后到多样化状态。上述四个相变过程经过理论分析与大规模仿真实验的一致验证。

随着(a)负反馈利用率的增加或(b)自由探索强度的增加,人-智交互复杂社会系统经历了从深度信息茧房状态到部分信息茧房状态,再到多样化状态的逆相变过程。红色虚线为理论线,柱状图为仿真线。
通过联合分析,研究团队展示了在基于相似度推荐、正负反馈利用以及自由探索四个要素联合驱动下的整体系统的相变图,并揭示了在信息茧房涌现的内在机理。
具体而言,基于相似性匹配作为有效力场,推动复杂交互系统从多样化走向同质化。正反馈进一步放大了这一力场,导致信息多样性下降。
而负反馈和自由探索通过抵制有效力场的作用,为系统引入扰动,从而促进信息多样性。
关于相变边界,理论预测结果与仿真实验结果呈现出高度一致性,同时,通过大量仿真实验与实证分析,例如替换函数、测量信息熵分布等,进一步验证了所提出模型的稳健性与有效性。
系统相变图,(a-b)基于视频与新闻场景数据的三维系统相变图,(c-e)基于视频场景数据的二维系统相变图,(f-h)基于新闻场景数据的二维系统相变图。
随着人工智能技术的广泛应用,人类与智能系统之间的复杂交互构成了一个涉及多个实体与多种反馈的复杂人智交互系统。
当前人工智能大多基于深度学习技术,而其黑盒属性进一步阻碍了深入理解该类复杂交互系统中的动态特性和涌现行为。
研究团队所提出的自适应信息动力学模型通过提供对信息茧房涌现行为的机理性建模,为深入研究各类复杂人-智交互系统提供了有力的理论工具。此外,所提出的理论模型对于负责任的推荐算法设计具有实际指导意义。
该研究指出两个信息茧房的有效方法,即促进负反馈的有效利用,从学习用户的负反馈这一全新视角来建模用户偏好;以及促进用户自由探索,通过增大用户对于自身内容消费的自由度与自主权,来拓宽信息视野。
综上所述,该研究成果不仅为推荐算法设计指明了实际改进方向,而且还为理解人-智交互复杂社会系统提供了理论工具,以启发后续Complex System for AI的相关研究。
作者介绍
清华大学电子系城市科学与计算研究中心博士生朴景华与博士后刘家臻为论文共同第一作者,李勇副教授为通信作者;清华公共管理学院张芳助理教授、苏竣教授为共同作者。
该研究成果得到科技创新2030—「新一代人工智能」重大项目与自然科学基金项目的支持。
今天关于《清华新研究解密信息茧房!全新信息动力学理论,登Nature子刊》的内容介绍就到此结束,如果有什么疑问或者建议,可以在golang学习网公众号下多多回复交流;文中若有不正之处,也希望回复留言以告知!
微信公众平台 9 月打击 5692 篇不实文章,辟谣 235 篇文章
- 上一篇
- 微信公众平台 9 月打击 5692 篇不实文章,辟谣 235 篇文章
- 下一篇
- 4k窗口长度就能读长文,陈丹琦高徒联手Meta推出大模型记忆力增强新方法
-
- 科技周边 · 人工智能 | 1小时前 |
- Minimax机甲视频生成技巧
- 498浏览 收藏
-
- 科技周边 · 人工智能 | 1小时前 |
- AI超现实背景设置教程及参数详解
- 296浏览 收藏
-
- 科技周边 · 人工智能 | 1小时前 | AI工具 智能助手
- 提升Siri和小爱技巧,让语音助手更智能
- 482浏览 收藏
-
- 科技周边 · 人工智能 | 2小时前 |
- 即梦AI绘本图生成技巧|角色固定方法揭秘
- 262浏览 收藏
-
- 科技周边 · 人工智能 | 2小时前 |
- ChatGPT中文乱码问题及解决方法
- 255浏览 收藏
-
- 科技周边 · 人工智能 | 2小时前 | 骡子快跑
- 骡子快跑如何打造个人品牌及IP定位建议
- 404浏览 收藏
-
- 科技周边 · 人工智能 | 2小时前 |
- Minimax SDK下载地址 Java/Python/Go多语言支持
- 331浏览 收藏
-
- 科技周边 · 人工智能 | 3小时前 | AI推文助手
- AI推文助手:互动话题生成与粉丝增长攻略
- 386浏览 收藏
-
- 科技周边 · 人工智能 | 3小时前 |
- 千问AI如何生成高质量PPT大纲
- 162浏览 收藏
-
- 科技周边 · 人工智能 | 3小时前 |
- DeepSeek API温度参数设置方法
- 378浏览 收藏
-
- 科技周边 · 人工智能 | 3小时前 |
- Kimi快速分析竞品脚本,生成优化方案指南
- 395浏览 收藏
-
- 科技周边 · 人工智能 | 3小时前 |
- AI自动剪辑视频教程:批量合成素材技巧
- 269浏览 收藏
-
- 前端进阶之JavaScript设计模式
- 设计模式是开发人员在软件开发过程中面临一般问题时的解决方案,代表了最佳的实践。本课程的主打内容包括JS常见设计模式以及具体应用场景,打造一站式知识长龙服务,适合有JS基础的同学学习。
- 543次学习
-
- GO语言核心编程课程
- 本课程采用真实案例,全面具体可落地,从理论到实践,一步一步将GO核心编程技术、编程思想、底层实现融会贯通,使学习者贴近时代脉搏,做IT互联网时代的弄潮儿。
- 516次学习
-
- 简单聊聊mysql8与网络通信
- 如有问题加微信:Le-studyg;在课程中,我们将首先介绍MySQL8的新特性,包括性能优化、安全增强、新数据类型等,帮助学生快速熟悉MySQL8的最新功能。接着,我们将深入解析MySQL的网络通信机制,包括协议、连接管理、数据传输等,让
- 500次学习
-
- JavaScript正则表达式基础与实战
- 在任何一门编程语言中,正则表达式,都是一项重要的知识,它提供了高效的字符串匹配与捕获机制,可以极大的简化程序设计。
- 487次学习
-
- 从零制作响应式网站—Grid布局
- 本系列教程将展示从零制作一个假想的网络科技公司官网,分为导航,轮播,关于我们,成功案例,服务流程,团队介绍,数据部分,公司动态,底部信息等内容区块。网站整体采用CSSGrid布局,支持响应式,有流畅过渡和展现动画。
- 485次学习
-
- ChatExcel酷表
- ChatExcel酷表是由北京大学团队打造的Excel聊天机器人,用自然语言操控表格,简化数据处理,告别繁琐操作,提升工作效率!适用于学生、上班族及政府人员。
- 4250次使用
-
- Any绘本
- 探索Any绘本(anypicturebook.com/zh),一款开源免费的AI绘本创作工具,基于Google Gemini与Flux AI模型,让您轻松创作个性化绘本。适用于家庭、教育、创作等多种场景,零门槛,高自由度,技术透明,本地可控。
- 4608次使用
-
- 可赞AI
- 可赞AI,AI驱动的办公可视化智能工具,助您轻松实现文本与可视化元素高效转化。无论是智能文档生成、多格式文本解析,还是一键生成专业图表、脑图、知识卡片,可赞AI都能让信息处理更清晰高效。覆盖数据汇报、会议纪要、内容营销等全场景,大幅提升办公效率,降低专业门槛,是您提升工作效率的得力助手。
- 4493次使用
-
- 星月写作
- 星月写作是国内首款聚焦中文网络小说创作的AI辅助工具,解决网文作者从构思到变现的全流程痛点。AI扫榜、专属模板、全链路适配,助力新人快速上手,资深作者效率倍增。
- 6180次使用
-
- MagicLight
- MagicLight.ai是全球首款叙事驱动型AI动画视频创作平台,专注于解决从故事想法到完整动画的全流程痛点。它通过自研AI模型,保障角色、风格、场景高度一致性,让零动画经验者也能高效产出专业级叙事内容。广泛适用于独立创作者、动画工作室、教育机构及企业营销,助您轻松实现创意落地与商业化。
- 4866次使用
-
- GPT-4王者加冕!读图做题性能炸天,凭自己就能考上斯坦福
- 2023-04-25 501浏览
-
- 单块V100训练模型提速72倍!尤洋团队新成果获AAAI 2023杰出论文奖
- 2023-04-24 501浏览
-
- ChatGPT 真的会接管世界吗?
- 2023-04-13 501浏览
-
- VR的终极形态是「假眼」?Neuralink前联合创始人掏出新产品:科学之眼!
- 2023-04-30 501浏览
-
- 实现实时制造可视性优势有哪些?
- 2023-04-15 501浏览

