RLHF与AlphaGo核心技术强强联合,UW/Meta让文本生成能力再上新台阶
编程并不是一个机械性的工作,而是需要有思考,有创新的工作,语法是固定的,但解决问题的思路则是依靠人的思维,这就需要我们坚持学习和更新自己的知识。今天golang学习网就整理分享《RLHF与AlphaGo核心技术强强联合,UW/Meta让文本生成能力再上新台阶》,文章讲解的知识点主要包括,如果你对科技周边方面的知识点感兴趣,就不要错过golang学习网,在这可以对大家的知识积累有所帮助,助力开发能力的提升。
在一项最新的研究中,来自 UW 和 Meta 的研究者提出了一种新的解码算法,将 AlphaGo 采用的蒙特卡洛树搜索算法(Monte-Carlo Tree Search, MCTS)应用到经过近端策略优化(Proximal Policy Optimization, PPO)训练的 RLHF 语言模型上,大幅提高了模型生成文本的质量。

PPO-MCTS 算法通过探索与评估若干条候选序列,搜索到更优的解码策略。通过 PPO-MCTS 生成的文本能更好满足任务要求。

论文链接:https://arxiv.org/pdf/2309.15028.pdf
面向大众用户发布的 LLM,如 GPT-4/Claude/LLaMA-2-chat,通常使用 RLHF 以向用户的偏好对齐。PPO 已经成为上述模型进行 RLHF 的首选算法,然而在模型部署时,人们往往采用简单的解码算法(例如 top-p 采样)从这些模型生成文本。
本文的作者提出采用一种蒙特卡洛树搜索算法(MCTS)的变体从 PPO 模型中进行解码,并将该方法命名为 PPO-MCTS。该方法依赖于一个价值模型(value model)来指导最优序列的搜索。因为 PPO 本身即是一种演员 - 评论家算法(actor-critic),故而会在训练中产生一个价值模型作为其副产品。
PPO-MCTS 提出利用这个价值模型指导 MCTS 搜索,并通过理论和实验的角度验证了其效用。作者呼吁使用 RLHF 训练模型的研究者和工程人员保存并开源他们的价值模型。
PPO-MCTS 解码算法
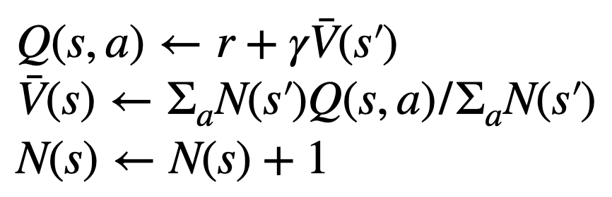
为生成一个 token,PPO-MCTS 会执行若干回合的模拟,并逐步构建一棵搜索树。树的节点代表已生成的文本前缀(包括原 prompt),树的边代表新生成的 token。PPO-MCTS 维护一系列树上的统计值:对于每个节点 s,维护一个访问量
和一个平均价值
;对于每条边
,维护一个 Q 值
。

五回合模拟结束时的搜索树。边上的数量代表该边的访问量。
树的构建从一个代表当前 prompt 的根结点开始。每回合的模拟包含以下四步:
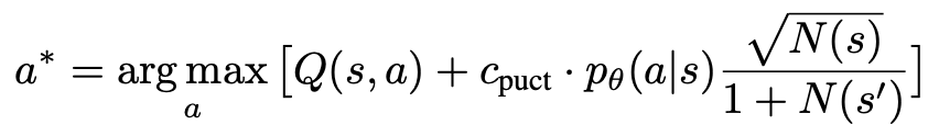
1. 选择一个未探索的节点。从根结点出发,根据以下 PUCT 公式选择边向下前进,直到到达一个未探索的节点:

该公式偏好拥有高 Q 值与低访问量的子树,因而能较好平衡 exploration 和 exploitation。
2. 展开上一步中选择的节点,并通过 PPO 的策略模型(policy model)计算下一个 token 的先验概率
。
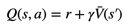
3. 评估该节点的价值。该步使用 PPO 的价值模型进行推断。该节点及其子边上的变量初始化为:

4. 回溯并更新树上的统计值。从新探索的节点开始向上回溯直至根结点,并更新路径上的以下变量:


每回合模拟的四个步骤:选择、展开、评估、回溯。右下为第 1 回合模拟结束后的搜索树。
若干回合的模拟结束后,使用根结点子边的访问量决定下一个 token,访问量高的 token 被生成的概率更高(这里可以加入温度参数来控制文本多样性)。加入了新 token 的 prompt 作为下一阶段搜索树的根结点。重复这一过程直至生成结束。

第 2、3、4、5 回合模拟结束后的搜索树。
相比于传统的蒙特卡洛树搜索,PPO-MCTS 的创新之处在于:
1. 在选择步骤的 PUCT 中,使用 Q 值
替代了原版本中的平均价值
。这是因为 PPO 在每个 token 的奖励
中含有一个 action-specific 的 KL 正则化项,使策略模型的参数保持在信任区间内。使用 Q 值能够在解码时正确考虑这个正则化项:

2. 在评估步骤中,将新探索节点子边的 Q 值初始化为该节点的评估价值(而非原版本 MCTS 中的零初始化)。该更改解决了 PPO-MCTS 退化成完全 exploitation 的问题。
3. 禁止探索 [EOS] token 子树中的节点,以避免未定义的模型行为。
文本生成实验
文章在四个文本生成任务上进行了实验,分别为:控制文本情绪(sentiment steering)、降低文本毒性(toxicity reduction)、用于问答的知识自省(knowledge introspection)、以及通用的人类偏好对齐(helpful and harmless chatbots)。
文章主要将 PPO-MCTS 与以下基线方法进行比较:(1)从 PPO 策略模型采用 top-p 采样生成文本(图中的「PPO」);(2)在 1 的基础上加入 best-of-n 采样(图中的「PPO + best-of-n」)。
文章评测了各方法在每个任务上的目标完成率(goal satisfaction rate)以及文本流畅度(fluency)。

左:控制文本情绪;右:降低文本毒性。
在控制文本情绪中,PPO-MCTS 在不损害文本流畅度的情况下,目标完成率比 PPO 基线高出 30 个百分点,在手动评测中的胜率也高出 20 个百分点。在降低文本毒性中,该方法的生成文本的平均毒性比 PPO 基线低 34%,在手动评测中的胜率也高出 30%。同时注意到,在两个任务中,运用 best-of-n 采样并不能有效提高文本质量。

左:用于问答的知识自省;右:通用的人类偏好对齐。
在用于问答的知识自省中,PPO-MCTS 生成的知识之效用比 PPO 基线高出 12%。在通用的人类偏好对齐中,文章使用 HH-RLHF 数据集构建有用且无害的对话模型,在手动评测中胜率高出 PPO 基线 5 个百分点。
最后,文章通过对 PPO-MCTS 算法的分析和消融实验,得出以下结论支持该算法的优势:
PPO 的价值模型比用于 PPO 训练的奖励模型(reward model)在指导搜索方面更加有效。
对于 PPO 训练出的策略和价值模型,MCTS 是一个有效的启发式搜索方法,其效果优于一些其它搜索算法(如 stepwise-value decoding)。
PPO-MCTS 比其它提高奖励的方法(如使用 PPO 进行更多次迭代)具有更好的 reward-fluency tradeoff。
总结来说,本文通过将 PPO 与蒙特卡洛树搜索(MCTS)进行结合,展示了价值模型在指导搜索方面的有效性,并且说明了在模型部署阶段用更多步的启发式搜索换取更高质量生成文本是一条可行之路。
更多方法和实验细节请参阅原论文。封面图片由 DALLE-3 生成。
好了,本文到此结束,带大家了解了《RLHF与AlphaGo核心技术强强联合,UW/Meta让文本生成能力再上新台阶》,希望本文对你有所帮助!关注golang学习网公众号,给大家分享更多科技周边知识!
雷军透露:小米汽车进展顺利,明年上半年上市
- 上一篇
- 雷军透露:小米汽车进展顺利,明年上半年上市
- 下一篇
- 昆仑万维:第三季度营收入 36.8 亿元同比增长 8%,经营性现金流 7.6 亿元
-
- 科技周边 · 人工智能 | 11分钟前 |
- 如何验证WorkBuddy安装包安全性?
- 331浏览 收藏
-
- 科技周边 · 人工智能 | 34分钟前 | Kimi Kimi智能助手
- KIMI官网PC版使用技巧与快捷键
- 237浏览 收藏
-
- 科技周边 · 人工智能 | 37分钟前 |
- AI头像生成全流程:从照片到艺术作品
- 121浏览 收藏
-
- 科技周边 · 人工智能 | 53分钟前 | Hermes Agent HermesAgent
- Git子模块更新:HermesAgent版本升级教程
- 224浏览 收藏
-
- 科技周边 · 人工智能 | 1小时前 | 即梦AI
- 即梦AI通知权限开启方法详解
- 131浏览 收藏
-
- 科技周边 · 人工智能 | 1小时前 | Hermes Agent HermesAgent
- HermesAgent无服务器Lambda实战教程
- 154浏览 收藏
-
- 科技周边 · 人工智能 | 1小时前 |
- ChatGPT官网入口 ChatGPT网页版直达链接
- 411浏览 收藏
-
- 科技周边 · 人工智能 | 1小时前 | Seedance 2.0
- Seedance 2.0会员值不值得买?性价比解析
- 433浏览 收藏
-
- 科技周边 · 人工智能 | 1小时前 | ChatGPT ChatGPT5
- ChatGPT5.5如何控制输出字数
- 198浏览 收藏
-
- 科技周边 · 人工智能 | 1小时前 |
- WorkBuddy剪贴板同步失败原因及解决方法
- 372浏览 收藏
-
- 科技周边 · 人工智能 | 2小时前 | CanvaAI Canva可画
- Canva国风设计技巧:东方元素融入日常美学
- 298浏览 收藏
-
- 科技周边 · 人工智能 | 2小时前 |
- Figma AI生成界面不适配?Constraints约束调整方案
- 228浏览 收藏
-
- 前端进阶之JavaScript设计模式
- 设计模式是开发人员在软件开发过程中面临一般问题时的解决方案,代表了最佳的实践。本课程的主打内容包括JS常见设计模式以及具体应用场景,打造一站式知识长龙服务,适合有JS基础的同学学习。
- 543次学习
-
- GO语言核心编程课程
- 本课程采用真实案例,全面具体可落地,从理论到实践,一步一步将GO核心编程技术、编程思想、底层实现融会贯通,使学习者贴近时代脉搏,做IT互联网时代的弄潮儿。
- 516次学习
-
- 简单聊聊mysql8与网络通信
- 如有问题加微信:Le-studyg;在课程中,我们将首先介绍MySQL8的新特性,包括性能优化、安全增强、新数据类型等,帮助学生快速熟悉MySQL8的最新功能。接着,我们将深入解析MySQL的网络通信机制,包括协议、连接管理、数据传输等,让
- 500次学习
-
- JavaScript正则表达式基础与实战
- 在任何一门编程语言中,正则表达式,都是一项重要的知识,它提供了高效的字符串匹配与捕获机制,可以极大的简化程序设计。
- 487次学习
-
- 从零制作响应式网站—Grid布局
- 本系列教程将展示从零制作一个假想的网络科技公司官网,分为导航,轮播,关于我们,成功案例,服务流程,团队介绍,数据部分,公司动态,底部信息等内容区块。网站整体采用CSSGrid布局,支持响应式,有流畅过渡和展现动画。
- 485次学习
-
- ChatExcel酷表
- ChatExcel酷表是由北京大学团队打造的Excel聊天机器人,用自然语言操控表格,简化数据处理,告别繁琐操作,提升工作效率!适用于学生、上班族及政府人员。
- 4515次使用
-
- Any绘本
- 探索Any绘本(anypicturebook.com/zh),一款开源免费的AI绘本创作工具,基于Google Gemini与Flux AI模型,让您轻松创作个性化绘本。适用于家庭、教育、创作等多种场景,零门槛,高自由度,技术透明,本地可控。
- 4865次使用
-
- 可赞AI
- 可赞AI,AI驱动的办公可视化智能工具,助您轻松实现文本与可视化元素高效转化。无论是智能文档生成、多格式文本解析,还是一键生成专业图表、脑图、知识卡片,可赞AI都能让信息处理更清晰高效。覆盖数据汇报、会议纪要、内容营销等全场景,大幅提升办公效率,降低专业门槛,是您提升工作效率的得力助手。
- 4742次使用
-
- 星月写作
- 星月写作是国内首款聚焦中文网络小说创作的AI辅助工具,解决网文作者从构思到变现的全流程痛点。AI扫榜、专属模板、全链路适配,助力新人快速上手,资深作者效率倍增。
- 6600次使用
-
- MagicLight
- MagicLight.ai是全球首款叙事驱动型AI动画视频创作平台,专注于解决从故事想法到完整动画的全流程痛点。它通过自研AI模型,保障角色、风格、场景高度一致性,让零动画经验者也能高效产出专业级叙事内容。广泛适用于独立创作者、动画工作室、教育机构及企业营销,助您轻松实现创意落地与商业化。
- 5103次使用
-
- GPT-4王者加冕!读图做题性能炸天,凭自己就能考上斯坦福
- 2023-04-25 501浏览
-
- 单块V100训练模型提速72倍!尤洋团队新成果获AAAI 2023杰出论文奖
- 2023-04-24 501浏览
-
- ChatGPT 真的会接管世界吗?
- 2023-04-13 501浏览
-
- VR的终极形态是「假眼」?Neuralink前联合创始人掏出新产品:科学之眼!
- 2023-04-30 501浏览
-
- 实现实时制造可视性优势有哪些?
- 2023-04-15 501浏览

