S-LoRA:一个GPU运行数千大模型成为可能
一分耕耘,一分收获!既然都打开这篇《S-LoRA:一个GPU运行数千大模型成为可能》,就坚持看下去,学下去吧!本文主要会给大家讲到等等知识点,如果大家对本文有好的建议或者看到有不足之处,非常欢迎大家积极提出!在后续文章我会继续更新科技周边相关的内容,希望对大家都有所帮助!
一般情况下,大型语言模型的部署通常采用"预训练-微调"的方式。然而,当对多个任务(如个性化助手)进行基础模型的微调时,训练和服务的成本会变得非常高。低秩适配(LowRank Adaptation,LoRA)是一种高效的参数微调方法,通常用于将基础模型适配到多个任务上,从而生成大量派生的LoRA适配程序
重新写作: 批量推理在服务过程中提供了许多机会,这种模式被证明可以通过微调适配器权重来实现与完全微调相当的性能。虽然这种方法可以实现低延迟的单个适配器推理和跨适配器的串行执行,但在同时为多个适配器提供服务时,会显著降低整体服务吞吐量并增加总延迟。因此,如何解决这些微调变体的大规模服务问题仍然未知
近期有来自UC伯克利、斯坦福等高校的研究人员在一篇论文中提出了一种被称为S-LoRA的新微调方法

- 论文地址:https://arxiv.org/pdf/2311.03285.pdf
- 项目地址:https://github.com/S-LoRA/S-LoRA
S-LoRA 是专为众多 LoRA 适配程序的可扩展服务而设计的系统,它将所有适配程序存储在主内存中,并将当前运行查询所使用的适配程序取到 GPU 内存中。
S-LoRA 提出了「统一分页」(Unified Paging)技术,即使用统一的内存池来管理不同等级的动态适配器权重和不同序列长度的 KV 缓存张量。此外,S-LoRA 还采用了新的张量并行策略和高度优化的定制 CUDA 内核,以实现 LoRA 计算的异构批处理。
这些功能允许S-LoRA以较小的成本在单个或多个GPU上为数千个LoRA适配器提供服务(同时为2000个适配器提供服务),并将额外的LoRA计算成本降至最低。相比之下,vLLM-packed需要维护多个权重副本,并且由于GPU内存限制,只能为少于5个适配器提供服务
与 HuggingFace PEFT 和 vLLM(仅支持 LoRA 服务)等最先进的库相比,S-LoRA 的吞吐量最多可提高 4 倍,服务的适配器数量可增加几个数量级。因此,S-LoRA 能够为许多特定任务的微调模型提供可扩展的服务,并为大规模定制微调服务提供了潜力。

S-LoRA包含三个主要创新部分。第四部分介绍了批处理策略,该策略用于分解base模型和LoRA适配器之间的计算。此外,研究人员还解决了需求调度的难题,包括适配器集群和准入控制等方面。跨并发适配器的批处理能力给内存管理带来了新的挑战。第五部分,研究人员将PagedAttention推广到Unfied Paging,支持动态加载LoRA适配器。这种方法使用统一的内存池以分页方式存储KV缓存和适配器权重,可以减少碎片并平衡KV缓存和适配器权重的动态变化大小。最后,第六部分介绍了新的张量并行策略,能够高效地解耦base模型和LoRA适配器
以下為重點內容:
批处理
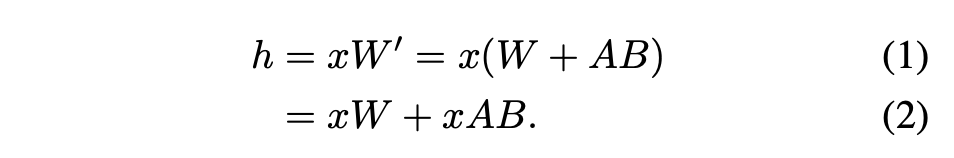
对于单个适配器,Hu等人(2021)提出了一种推荐的方法,即将适配器权重与基础模型权重合并,从而得到一个新模型(参见公式1)。这样做的好处是,在推理过程中不会有额外的适配器开销,因为新模型的参数数量与基础模型相同。实际上,这也是LoRA工作最初的一个显著特点

本文指出,将 LoRA 适配器合并到 base 模型中对于多 LoRA 高吞吐量服务设置来说效率很低。取而代之的是,研究者建议实时计算 LoRA 计算 xAB(如公式 2 所示)。
在 S-LoRA 中,计算 base 模型被批处理,然后使用定制的 CUDA 内核分别执行所有适配器的附加 xAB。这一过程如图 1 所示。研究者没有使用填充和 BLAS 库中的批处理 GEMM 内核来计算 LoRA,而是实施了定制的 CUDA 内核,以便在不使用填充的情况下实现更高效的计算,实施细节在第 5.3 小节中。

如果将 LoRA 适配器存储在主内存中,它们的数量可能会很大,但当前运行批所需的 LoRA 适配器数量是可控的,因为批大小受 GPU 内存的限制。为了利用这一优势,研究者将所有的 LoRA 适配卡都存储在主内存中,并在为当前正在运行的批进行推理时,仅将该批所需的 LoRA 适配卡取到 GPU RAM 中。在这种情况下,可服务的适配器最大数量受限于主内存大小。图 2 展示了这一过程。第 5 节也讨论了高效管理内存的技术

内存管理
与为单个 base 模型提供服务相比,同时为多个 LoRA 适配卡提供服务会带来新的内存管理挑战。为了支持多个适配器,S-LoRA 将它们存储在主内存中,并将当前运行批所需的适配器权重动态加载到 GPU RAM 中。
在这个过程中,存在两个明显的挑战。首先是内存碎片问题,这是由于动态加载和卸载不同大小的适配器权重所导致的。其次是适配器加载和卸载所带来的延迟开销。为了有效解决这些问题,研究者提出了「统一分页」的概念,并通过预取适配器权重的方式来实现 I/O 和计算的重叠
Unified Paging
研究者将PagedAttention的概念扩展为统一分页(Unified Paging)。统一分页不仅用于管理KV缓存,还用于管理适配器权重。统一分页使用统一内存池来联合管理KV缓存和适配器权重。为了实现这一目标,他们首先为内存池静态分配了一个大缓冲区,该缓冲区利用了所有可用空间,除了用于存储基础模型权重和临时激活张量的空间。KV缓存和适配器权重以分页的方式存储在内存池中,每个页面对应一个H向量。因此,序列长度为S的KV缓存张量占用S页,而R级的LoRA权重张量占用R页。图3展示了内存池的布局,其中KV缓存和适配器权重以交错和非连续的方式存储。这种方法大大减少了碎片化,确保不同级别的适配器权重能够以结构化和系统化的方式与动态KV缓存共存

张量并行
此外,研究者为批量 LoRA 推断设计了新颖的张量并行策略,以支持大型 Transformer 模型的多 GPU 推断。张量并行是应用最广泛的并行方法,因为它的单程序多数据模式简化了其实施和与现有系统的集成。张量并行可以减少为大模型提供服务时每个 GPU 的内存使用量和延迟。在本文设置中,额外的 LoRA 适配器引入了新的权重矩阵和矩阵乘法,这就需要为这些新增项目制定新的分区策略。

评估
最终,研究人员通过为Llama-7B/13B/30B/70B提供服务来评估S-LoRA

结果表明,S-LoRA 可以在单个 GPU 或多个 GPU 上为数千个 LoRA 适配器提供服务,而且开销很小。与最先进的参数高效微调库 Huggingface PEFT 相比,S-LoRA 的吞吐量最多可提高 30 倍。与使用支持 LoRA 服务的高吞吐量服务系统 vLLM 相比,S-LoRA 可将吞吐量提高 4 倍,并将服务适配器的数量增加几个数量级。
更多研究细节,可参考原论文。
本篇关于《S-LoRA:一个GPU运行数千大模型成为可能》的介绍就到此结束啦,但是学无止境,想要了解学习更多关于科技周边的相关知识,请关注golang学习网公众号!
三星计划投资10万亿韩元用于半导体设备并大量采购ASML EUV光刻机
- 上一篇
- 三星计划投资10万亿韩元用于半导体设备并大量采购ASML EUV光刻机
- 下一篇
- 如何构筑人工智能的道德标准?了解背后的支撑因素
-
- 科技周边 · 人工智能 | 41秒前 | 豆包AI 在线登录
- 豆包AI登录入口与创作平台使用教程
- 464浏览 收藏
-
- 科技周边 · 人工智能 | 36分钟前 |
- SD渐变色偏暗怎么调亮
- 283浏览 收藏
-
- 科技周边 · 人工智能 | 47分钟前 | openclaw
- OpenClaw新手常见错误与避坑技巧
- 356浏览 收藏
-
- 科技周边 · 人工智能 | 1小时前 |
- Minimax大神咒语获取与推荐指南
- 126浏览 收藏
-
- 科技周边 · 人工智能 | 1小时前 |
- ChatGPT本地部署教程:NextWeb使用指南
- 102浏览 收藏
-
- 科技周边 · 人工智能 | 1小时前 | 骡子快跑
- 骡子快跑能建知识图谱吗?
- 337浏览 收藏
-
- 科技周边 · 人工智能 | 1小时前 |
- 蚂蚁阿福官方登录入口及网页版地址
- 501浏览 收藏
-
- 科技周边 · 人工智能 | 1小时前 |
- 通义APP语音输入使用教程详解
- 248浏览 收藏
-
- 科技周边 · 人工智能 | 2小时前 |
- Andi如何用推理链解决难题
- 159浏览 收藏
-
- 科技周边 · 人工智能 | 2小时前 | openclaw
- OpenClaw更新后设置丢失怎么恢复?
- 375浏览 收藏
-
- 科技周边 · 人工智能 | 2小时前 |
- 海螺AI视频添加字幕旁白教程
- 161浏览 收藏
-
- 科技周边 · 人工智能 | 2小时前 | 骡子快跑
- 骡子快跑是否支持自动更新?
- 239浏览 收藏
-
- 前端进阶之JavaScript设计模式
- 设计模式是开发人员在软件开发过程中面临一般问题时的解决方案,代表了最佳的实践。本课程的主打内容包括JS常见设计模式以及具体应用场景,打造一站式知识长龙服务,适合有JS基础的同学学习。
- 543次学习
-
- GO语言核心编程课程
- 本课程采用真实案例,全面具体可落地,从理论到实践,一步一步将GO核心编程技术、编程思想、底层实现融会贯通,使学习者贴近时代脉搏,做IT互联网时代的弄潮儿。
- 516次学习
-
- 简单聊聊mysql8与网络通信
- 如有问题加微信:Le-studyg;在课程中,我们将首先介绍MySQL8的新特性,包括性能优化、安全增强、新数据类型等,帮助学生快速熟悉MySQL8的最新功能。接着,我们将深入解析MySQL的网络通信机制,包括协议、连接管理、数据传输等,让
- 500次学习
-
- JavaScript正则表达式基础与实战
- 在任何一门编程语言中,正则表达式,都是一项重要的知识,它提供了高效的字符串匹配与捕获机制,可以极大的简化程序设计。
- 487次学习
-
- 从零制作响应式网站—Grid布局
- 本系列教程将展示从零制作一个假想的网络科技公司官网,分为导航,轮播,关于我们,成功案例,服务流程,团队介绍,数据部分,公司动态,底部信息等内容区块。网站整体采用CSSGrid布局,支持响应式,有流畅过渡和展现动画。
- 485次学习
-
- ChatExcel酷表
- ChatExcel酷表是由北京大学团队打造的Excel聊天机器人,用自然语言操控表格,简化数据处理,告别繁琐操作,提升工作效率!适用于学生、上班族及政府人员。
- 4252次使用
-
- Any绘本
- 探索Any绘本(anypicturebook.com/zh),一款开源免费的AI绘本创作工具,基于Google Gemini与Flux AI模型,让您轻松创作个性化绘本。适用于家庭、教育、创作等多种场景,零门槛,高自由度,技术透明,本地可控。
- 4613次使用
-
- 可赞AI
- 可赞AI,AI驱动的办公可视化智能工具,助您轻松实现文本与可视化元素高效转化。无论是智能文档生成、多格式文本解析,还是一键生成专业图表、脑图、知识卡片,可赞AI都能让信息处理更清晰高效。覆盖数据汇报、会议纪要、内容营销等全场景,大幅提升办公效率,降低专业门槛,是您提升工作效率的得力助手。
- 4499次使用
-
- 星月写作
- 星月写作是国内首款聚焦中文网络小说创作的AI辅助工具,解决网文作者从构思到变现的全流程痛点。AI扫榜、专属模板、全链路适配,助力新人快速上手,资深作者效率倍增。
- 6185次使用
-
- MagicLight
- MagicLight.ai是全球首款叙事驱动型AI动画视频创作平台,专注于解决从故事想法到完整动画的全流程痛点。它通过自研AI模型,保障角色、风格、场景高度一致性,让零动画经验者也能高效产出专业级叙事内容。广泛适用于独立创作者、动画工作室、教育机构及企业营销,助您轻松实现创意落地与商业化。
- 4872次使用
-
- GPT-4王者加冕!读图做题性能炸天,凭自己就能考上斯坦福
- 2023-04-25 501浏览
-
- 单块V100训练模型提速72倍!尤洋团队新成果获AAAI 2023杰出论文奖
- 2023-04-24 501浏览
-
- ChatGPT 真的会接管世界吗?
- 2023-04-13 501浏览
-
- VR的终极形态是「假眼」?Neuralink前联合创始人掏出新产品:科学之眼!
- 2023-04-30 501浏览
-
- 实现实时制造可视性优势有哪些?
- 2023-04-15 501浏览

