「无需配对数据」就能学习!浙大等提出连接多模态对比表征C-MCR
科技周边小白一枚,正在不断学习积累知识,现将学习到的知识记录一下,也是将我的所得分享给大家!而今天这篇文章《「无需配对数据」就能学习!浙大等提出连接多模态对比表征C-MCR》带大家来了解一下##content_title##,希望对大家的知识积累有所帮助,从而弥补自己的不足,助力实战开发!
多模态对比表示(MCR)旨在将来自不同模态的输入编码到一个语义对齐的共享空间中
随着视觉-语言领域中CLIP模型的巨大成功,越来越多的模态对比表征开始出现,并在许多下游任务上取得明显的改善,但这些方法严重依赖于大规模高质量的配对数据
为了解决这个问题,来自浙江大学等机构的研究人员提出了连接多模态对比表示(C-MCR),一种无需配对数据且训练极为高效的多模态对比表征学习方法。

请点击以下链接查看论文:https://arxiv.org/abs/2305.14381
C-MCR项目主页链接:https://c-mcr.github.io/C-MCR/
模型和代码地址:https://github.com/MCR-PEFT/C-MCR
该方法在不使用任何配对数据的情况下,通过枢纽模态连接不同的预训练对比表征,我们学习到了强大的音频-视觉和3D点云-文本表征,并在音频-视觉检索、声源定位、3D物体分类等多个任务上取得了SOTA效果。
介绍
多模态对比表示(MCR)旨在将不同模态的数据映射到统一的语义空间中。随着CLIP在视觉-语言领域的巨大成功,学习更多模态组合之间的对比表示已成为一个热门研究课题,吸引了越来越多的关注。
然而,现有多模态对比表示的泛化能力主要受益于大量高质量数据对。这严重限制了对比表征在缺乏大规模高质量数据的模态上的发展。例如,音频和视觉数据对之间的语义相关性往往是模糊的,3D点云和文本之间的配对数据稀缺且难以获得。
不过,我们观察到,这些缺乏配对数据的模态组合,往往和同一个中间模态具有大量高质量配对数据。比如,在音频-视觉领域,尽管视听数据质量不可靠,但音频-文本和文本-视觉之间存在大量高质量的配对数据。
同样,虽然3D点云-文本配对数据的可用性有限,但3D点云-图像和图像-文本数据却非常丰富。这些枢纽模态可以为模式之间建立进一步关联的纽带。
考虑到具有大量配对数据的模态间往往已经拥有预训练的对比表示,本文直接尝试通过枢纽模态来将不同模态间的对比表征连接起来,从而为缺乏配对数据的模态组合构建新的对比表征空间。
使用连接多模态对比表示(C-MCR)可以通过重叠模态来构建已有大量多模态对比表示的连接,从而学习更广泛的模态之间的对齐关系。这个学习过程不需要任何配对数据,并且具有极高的效率
C-MCR具有两个关键优势:
重点在于灵活性:
C-MCR的能力在于为模态学习提供缺乏直接配对的对比表征。从另一个角度来看,C-MCR将每个已有的多模态对比表示空间视为一个节点,并将重叠的模态视为关键的枢纽模态
通过连接各个孤立的多模态对比表征,我们能够灵活地扩展所获得的多模态对齐知识,并挖掘出更广泛的模态间对比表示
2、高效性:
由于C-MCR仅需为已有的表征空间构建连接,因此只用学习两个简单的映射器,其训练参数和训练成本都是极低的。
在这项实验中,我们使用文本作为枢纽,将视觉-文本(CLIP)和文本-音频(CLAP)进行对比表示空间的连接,最终得到了高质量的视觉-音频表示
类似地,通过使用图像连接文本-视觉(CLIP)和视觉-3D点云(ULIP)进行比较来表示空间,也可以得到一组3D点云-文本对比表示
方法
图1 (a) 介绍了C-MCR的算法流程(以使用文本连接CLIP和CLAP为例)。

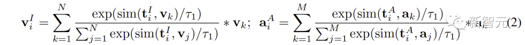
文本(重叠模态)的数据分别被CLIP和CLAP的文本编码器编码为文本特征:、。
同时,还有大量的非配对单模态数据被分别编码到CLIP和CLAP空间中,形成了图像记忆和音频记忆
特征语义增强是指通过对特征进行改进和优化,以提升其语义表达能力的过程。通过对特征进行适当的调整,可以使其更加准确地反映所要表达的含义,从而提高语言表达的效果。特征语义增强技术在自然语言处理领域具有重要的应用价值,可以帮助机器理解和处理文本信息,提高机器在语义理解和语义生成方面的能力
我们可以从提升表征的语义信息出发,以增强空间连接的鲁棒性和全面性。在此方面,我们首先从语义一致性和语义完整性两个角度进行探讨
模态间语义一致性
CLIP和CLAP分别已经学到了可靠的对齐的图像-文本和文本-音频表征。
我们利用CLIP和CLAP中这种内在的模态对齐性来生成与第i个文本语义一致的图像和音频特征,从而更好地量化对比表征空间中的modality gap以及更直接的挖掘非重叠模态间的关联性:

模态内语义完整性
不同表征空间对于数据的语义表达会有不同的倾向性,因此不同空间下的同一个文本也会不可避免的存在语义偏差和丢失。在连接表示空间时,这种语义偏差会被累积并且放大。
为了增强每个表征的语义完整性,我们提出将零均值高斯噪声添加到表征中,并将它们重新归一化为单位超球面上:

如图1 (c) 中所示,在对比表征空间中,每个表征可以看代表是在单位超球面上的一个点。添加高斯噪声并重新归一化则使表征能够代表了单位球面上的一个圆。
当两个特征的空间距离越接近时,它们的语义相似度也越高。因此,圆内的特征都具有相似的语义,圆能够更完整地表示语义
2. Inter-MCR的对齐
在表征语义增强之后,我们使用两个映射器 和 来将CLIP和CLAP表征重新映射到一个新的共享空间

新空间需要确保来自不同空间的语义相似的表征彼此接近。
来源于同一文本的 (
,
) 是天然语义一致的,可以被看做真实标签对,而源自于 (
,
) 的 (
,
) 可以被视为伪标签对。
(
,
) 之间的语义高度一致,但从它们中学习到的连接对于音频-视觉来说是间接的。 而(
,
)对的语义一致性虽然不太可靠,但其更直接地有利于音频-视觉表征。
为了更全面地连接两个对比表征空间,我们同时对齐 (
,
) 和 (
,
):

3. Intra-MCR的对齐
除了空间之间的连接,对比表征空间内部还存在着modality gap的现象。即在对比表征空间中,不同模态的表征虽然语义对齐,但它们分布在完全不同的子空间中。这意味着从 (
,
) 学习到的更稳定的连接可能不能很好的被音频-视觉继承。
为了解决这个问题,我们提出重新对齐各个对比表征空间的不同模态表征。具体来说,我们去除对比损失函数中的负例排斥结构,来推导出用于减小modality gap的损失函数。典型的对比损失函数可以表述为:

我们消除其中的负对排斥项后,最终的公式可以简化为:

实验
实验上,我们通过使用文本连接音频-文本空间(CLAP)和文本-视觉空间(CLIP)来获得音频-视觉表征,使用图像连接3D点云-图像空间(ULIP)和图像-文本空间(CLIP)来获得3D点云-文本表征。
在AVE和Flickr-SoundNet上进行零样本音频图像检索的结果如下:

MUSIC-Solo和VGGSS上的零样本声源定位结果如下:

在Ex-VGGSS和Ex-FlickrNet上的零样本反事实音频图像识别结果如下所示:

在ModelNet40上的zero-shot 3D点云分类结果如下:

今天关于《「无需配对数据」就能学习!浙大等提出连接多模态对比表征C-MCR》的内容就介绍到这里了,是不是学起来一目了然!想要了解更多关于模型,训练的内容请关注golang学习网公众号!
超越SDXL!港中大博士生研发出超级逼真的人像合成工具,并用3.4亿张图进行了训练
- 上一篇
- 超越SDXL!港中大博士生研发出超级逼真的人像合成工具,并用3.4亿张图进行了训练
- 下一篇
- 中小学生也能玩转人工智能,超千所学校参与这场“AI奥林匹克”
-
- 科技周边 · 人工智能 | 10分钟前 |
- 即梦AI眼睛优化技巧分享
- 465浏览 收藏
-
- 科技周边 · 人工智能 | 16分钟前 | CodeBuddy
- CodeBuddy优化SSR服务端代码可行吗?
- 476浏览 收藏
-
- 科技周边 · 人工智能 | 19分钟前 |
- DeepSeekCursor:开启全自动编程新纪元
- 170浏览 收藏
-
- 科技周边 · 人工智能 | 22分钟前 |
- 即梦AI制作时光镜像视频教程
- 114浏览 收藏
-
- 科技周边 · 人工智能 | 28分钟前 |
- HermesAgent内存占用高?优化技巧全解析
- 343浏览 收藏
-
- 科技周边 · 人工智能 | 41分钟前 |
- FigmaAI自动整理组件,提取原子元素
- 398浏览 收藏
-
- 科技周边 · 人工智能 | 44分钟前 |
- 千问大模型舆情分析方法与监控方案
- 487浏览 收藏
-
- 科技周边 · 人工智能 | 56分钟前 |
- GitHubCopilot实测:AI开发小程序全记录
- 175浏览 收藏
-
- 科技周边 · 人工智能 | 1小时前 |
- 多模态AI提升图像识别技巧
- 276浏览 收藏
-
- 科技周边 · 人工智能 | 1小时前 | Hermes Agent HermesAgent
- HermesAgent高级设置详解:打造专属AI助手
- 472浏览 收藏
-
- 科技周边 · 人工智能 | 1小时前 | 通义万象
- 通义万象照片分层飞散视差效果实现方法
- 489浏览 收藏
-
- 科技周边 · 人工智能 | 1小时前 |
- Trae单元测试怎么做?能否自动生成用例?
- 458浏览 收藏
-
- 前端进阶之JavaScript设计模式
- 设计模式是开发人员在软件开发过程中面临一般问题时的解决方案,代表了最佳的实践。本课程的主打内容包括JS常见设计模式以及具体应用场景,打造一站式知识长龙服务,适合有JS基础的同学学习。
- 543次学习
-
- GO语言核心编程课程
- 本课程采用真实案例,全面具体可落地,从理论到实践,一步一步将GO核心编程技术、编程思想、底层实现融会贯通,使学习者贴近时代脉搏,做IT互联网时代的弄潮儿。
- 516次学习
-
- 简单聊聊mysql8与网络通信
- 如有问题加微信:Le-studyg;在课程中,我们将首先介绍MySQL8的新特性,包括性能优化、安全增强、新数据类型等,帮助学生快速熟悉MySQL8的最新功能。接着,我们将深入解析MySQL的网络通信机制,包括协议、连接管理、数据传输等,让
- 500次学习
-
- JavaScript正则表达式基础与实战
- 在任何一门编程语言中,正则表达式,都是一项重要的知识,它提供了高效的字符串匹配与捕获机制,可以极大的简化程序设计。
- 487次学习
-
- 从零制作响应式网站—Grid布局
- 本系列教程将展示从零制作一个假想的网络科技公司官网,分为导航,轮播,关于我们,成功案例,服务流程,团队介绍,数据部分,公司动态,底部信息等内容区块。网站整体采用CSSGrid布局,支持响应式,有流畅过渡和展现动画。
- 485次学习
-
- ChatExcel酷表
- ChatExcel酷表是由北京大学团队打造的Excel聊天机器人,用自然语言操控表格,简化数据处理,告别繁琐操作,提升工作效率!适用于学生、上班族及政府人员。
- 5888次使用
-
- Any绘本
- 探索Any绘本(anypicturebook.com/zh),一款开源免费的AI绘本创作工具,基于Google Gemini与Flux AI模型,让您轻松创作个性化绘本。适用于家庭、教育、创作等多种场景,零门槛,高自由度,技术透明,本地可控。
- 6323次使用
-
- 可赞AI
- 可赞AI,AI驱动的办公可视化智能工具,助您轻松实现文本与可视化元素高效转化。无论是智能文档生成、多格式文本解析,还是一键生成专业图表、脑图、知识卡片,可赞AI都能让信息处理更清晰高效。覆盖数据汇报、会议纪要、内容营销等全场景,大幅提升办公效率,降低专业门槛,是您提升工作效率的得力助手。
- 6132次使用
-
- 星月写作
- 星月写作是国内首款聚焦中文网络小说创作的AI辅助工具,解决网文作者从构思到变现的全流程痛点。AI扫榜、专属模板、全链路适配,助力新人快速上手,资深作者效率倍增。
- 8103次使用
-
- MagicLight
- MagicLight.ai是全球首款叙事驱动型AI动画视频创作平台,专注于解决从故事想法到完整动画的全流程痛点。它通过自研AI模型,保障角色、风格、场景高度一致性,让零动画经验者也能高效产出专业级叙事内容。广泛适用于独立创作者、动画工作室、教育机构及企业营销,助您轻松实现创意落地与商业化。
- 6561次使用
-
- GPT-4王者加冕!读图做题性能炸天,凭自己就能考上斯坦福
- 2023-04-25 501浏览
-
- 单块V100训练模型提速72倍!尤洋团队新成果获AAAI 2023杰出论文奖
- 2023-04-24 501浏览
-
- ChatGPT 真的会接管世界吗?
- 2023-04-13 501浏览
-
- VR的终极形态是「假眼」?Neuralink前联合创始人掏出新产品:科学之眼!
- 2023-04-30 501浏览
-
- 实现实时制造可视性优势有哪些?
- 2023-04-15 501浏览

