PyTorch团队重写「分割一切」模型,比原始实现快8倍
来源:机器之心
2023-11-22 15:49:28
0浏览
收藏
对于一个科技周边开发者来说,牢固扎实的基础是十分重要的,golang学习网就来带大家一点点的掌握基础知识点。今天本篇文章带大家了解《PyTorch团队重写「分割一切」模型,比原始实现快8倍》,主要介绍了,希望对大家的知识积累有所帮助,快点收藏起来吧,否则需要时就找不到了!
我们该如何优化 Meta 的「分割一切」模型,PyTorch 团队撰写的这篇博客由浅入深的帮你解答。

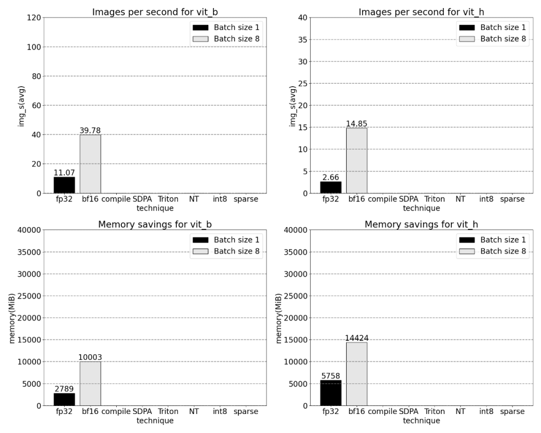
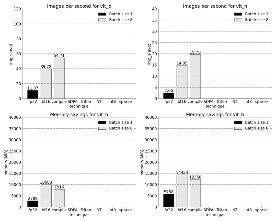
Torch.compile:PyTorch 模型编译器, PyTorch 2.0 加入了一个新的函数,叫做 torch.compile (),能够通过一行代码对已有的模型进行加速; GPU 量化:通过降低运算精度来加速模型; SDPA(Scaled Dot Product Attention ):内存高效的注意力实现方式; 半结构化 (2:4) 稀疏性:一种针对 GPU 优化的稀疏内存格式; Nested Tensor:Nested Tensor 把 {tensor, mask} 打包在一起,将非均匀大小的数据批处理到单个张量中,例如不同大小的图像; Triton 自定义操作:使用 Triton Python DSL 编写 GPU 操作,并通过自定义操作符注册轻松将其集成到 PyTorch 的各种组件中。










将 nn.LayerNorm 或 nn.GELU 等操作序列融合成一个单一的 GPU 内核; 融合紧跟在矩阵乘法内核之后的操作,以减少 GPU 内核调用的数量。













好了,本文到此结束,带大家了解了《PyTorch团队重写「分割一切」模型,比原始实现快8倍》,希望本文对你有所帮助!关注golang学习网公众号,给大家分享更多科技周边知识!
版本声明
本文转载于:机器之心 如有侵犯,请联系study_golang@163.com删除
福特在密歇根州重新开始建设电池厂,以适应电动汽车市场变化的规模调整
- 上一篇
- 福特在密歇根州重新开始建设电池厂,以适应电动汽车市场变化的规模调整
- 下一篇
- 全球富人碳排放量占 1%(7700 万),与不富裕人群相当的比例为 66%(51.1 亿人)
查看更多
最新文章
-
- 科技周边 · 人工智能 | 3分钟前 |
- 海螺AI如何生成雨雪天气 海螺AI天气控制技巧
- 277浏览 收藏
-
- 科技周边 · 人工智能 | 17分钟前 | Capybara
- CapybaraAI卡顿怎么解决_优化技巧分享
- 375浏览 收藏
-
- 科技周边 · 人工智能 | 31分钟前 | 豆包AI绘图
- 豆包AI绘图生成3D卡通角色方法
- 369浏览 收藏
-
- 科技周边 · 人工智能 | 36分钟前 |
- AI生成有声书,文本秒变音频读物
- 393浏览 收藏
-
- 科技周边 · 人工智能 | 41分钟前 |
- AI制作教程视频全攻略
- 468浏览 收藏
-
- 科技周边 · 人工智能 | 1小时前 | 骡子快跑
- 骡子快跑怎么涨粉?互动话术与选题技巧
- 286浏览 收藏
-
- 科技周边 · 人工智能 | 1小时前 |
- 豆包AI护眼模式怎么开启|界面调节教程
- 126浏览 收藏
-
- 科技周边 · 人工智能 | 1小时前 | Workbuddy
- WorkBuddy飞书技能触发方法详解
- 259浏览 收藏
-
- 科技周边 · 人工智能 | 1小时前 |
- 设置 max_output_tokens 控制AI废话技巧
- 416浏览 收藏
-
- 科技周边 · 人工智能 | 1小时前 |
- AI转CDR格式方法详解【攻略】
- 473浏览 收藏
-
- 科技周边 · 人工智能 | 1小时前 | Sora sora使用
- Sora提示优化技巧与视频质量提升指南
- 218浏览 收藏
查看更多
课程推荐
-
- 前端进阶之JavaScript设计模式
- 设计模式是开发人员在软件开发过程中面临一般问题时的解决方案,代表了最佳的实践。本课程的主打内容包括JS常见设计模式以及具体应用场景,打造一站式知识长龙服务,适合有JS基础的同学学习。
- 543次学习
-
- GO语言核心编程课程
- 本课程采用真实案例,全面具体可落地,从理论到实践,一步一步将GO核心编程技术、编程思想、底层实现融会贯通,使学习者贴近时代脉搏,做IT互联网时代的弄潮儿。
- 516次学习
-
- 简单聊聊mysql8与网络通信
- 如有问题加微信:Le-studyg;在课程中,我们将首先介绍MySQL8的新特性,包括性能优化、安全增强、新数据类型等,帮助学生快速熟悉MySQL8的最新功能。接着,我们将深入解析MySQL的网络通信机制,包括协议、连接管理、数据传输等,让
- 500次学习
-
- JavaScript正则表达式基础与实战
- 在任何一门编程语言中,正则表达式,都是一项重要的知识,它提供了高效的字符串匹配与捕获机制,可以极大的简化程序设计。
- 487次学习
-
- 从零制作响应式网站—Grid布局
- 本系列教程将展示从零制作一个假想的网络科技公司官网,分为导航,轮播,关于我们,成功案例,服务流程,团队介绍,数据部分,公司动态,底部信息等内容区块。网站整体采用CSSGrid布局,支持响应式,有流畅过渡和展现动画。
- 485次学习
查看更多
AI推荐
-
- ChatExcel酷表
- ChatExcel酷表是由北京大学团队打造的Excel聊天机器人,用自然语言操控表格,简化数据处理,告别繁琐操作,提升工作效率!适用于学生、上班族及政府人员。
- 4245次使用
-
- Any绘本
- 探索Any绘本(anypicturebook.com/zh),一款开源免费的AI绘本创作工具,基于Google Gemini与Flux AI模型,让您轻松创作个性化绘本。适用于家庭、教育、创作等多种场景,零门槛,高自由度,技术透明,本地可控。
- 4603次使用
-
- 可赞AI
- 可赞AI,AI驱动的办公可视化智能工具,助您轻松实现文本与可视化元素高效转化。无论是智能文档生成、多格式文本解析,还是一键生成专业图表、脑图、知识卡片,可赞AI都能让信息处理更清晰高效。覆盖数据汇报、会议纪要、内容营销等全场景,大幅提升办公效率,降低专业门槛,是您提升工作效率的得力助手。
- 4488次使用
-
- 星月写作
- 星月写作是国内首款聚焦中文网络小说创作的AI辅助工具,解决网文作者从构思到变现的全流程痛点。AI扫榜、专属模板、全链路适配,助力新人快速上手,资深作者效率倍增。
- 6155次使用
-
- MagicLight
- MagicLight.ai是全球首款叙事驱动型AI动画视频创作平台,专注于解决从故事想法到完整动画的全流程痛点。它通过自研AI模型,保障角色、风格、场景高度一致性,让零动画经验者也能高效产出专业级叙事内容。广泛适用于独立创作者、动画工作室、教育机构及企业营销,助您轻松实现创意落地与商业化。
- 4858次使用
查看更多
相关文章
-
- GPT-4王者加冕!读图做题性能炸天,凭自己就能考上斯坦福
- 2023-04-25 501浏览
-
- 单块V100训练模型提速72倍!尤洋团队新成果获AAAI 2023杰出论文奖
- 2023-04-24 501浏览
-
- ChatGPT 真的会接管世界吗?
- 2023-04-13 501浏览
-
- VR的终极形态是「假眼」?Neuralink前联合创始人掏出新产品:科学之眼!
- 2023-04-30 501浏览
-
- 实现实时制造可视性优势有哪些?
- 2023-04-15 501浏览

