重要突破!西湖大学团队和浙二医院共同实现脑机接口中文解码
科技周边不知道大家是否熟悉?今天我将给大家介绍《重要突破!西湖大学团队和浙二医院共同实现脑机接口中文解码》,这篇文章主要会讲到等等知识点,如果你在看完本篇文章后,有更好的建议或者发现哪里有问题,希望大家都能积极评论指出,谢谢!希望我们能一起加油进步!
先进神经芯片中心默罕默德·萨万教授团队,自然语言处理实验室张岳教授团队和朱君明教授团队联合发布了他们最新的研究结果:“A high-performance brain-sentence communication designed for logosyllabic language”.该研究实现脑机接口全谱汉语解码,一定程度弥补了国际上汉语解码脑机接口技术的空白。

脑机接口(Brain-computer interface,简称BCI)被公认为是未来生命科学和信息技术交叉融合的主战场,是具有重要社会价值和战略意义的研究方向。
脑机接口技术是指是在人或动物脑与外部设备间创建信息交换的连接通路,其实质是一种新型的信息传输渠道,让信息能够绕过原有的肌肉及外围神经通路实现与外部世界的连通,从而一定程度替代人的运动、语言等功能。
脑机接口全谱汉语解码器的设计与性能
今年八月,两篇背靠背《自然》文章展示了脑机接口在语言恢复方面的强大能力。然而,现有的语言脑机接口技术多是为英文等字母语言体系构建而成,针对汉字等非字母体系的语言脑机接口系统研究仍是空白。
在该项研究中,研究团队通过立体定向脑电技术(SEEG)采集所有普通话汉字发音过程对应的大脑内神经活动信号,结合深度学习算法和语言模型,实现了对全谱汉字发音的解码,建立起覆盖所有汉语普通话字符发音的汉语脑机接口系统,实现了大脑活动到完整普通话句子的端到端输出。

汉语作为一种象形和音节结合的语言,具有超过50000个字符,与由26个字母组合而成的英语具有显著不同,因此这对于现有的语言脑机接口系统来说是一个巨大的挑战。为了解决这一问题,在过去三年时间里,研究团队深入分析汉语本身的发音规则和特点。从汉语发音音节的声母、声调和韵母三个要素出发,结合拼音输入系统的特点,设计了一种全新的适用于汉语的语言脑机接口系统。研究团队通过设计覆盖所有407个汉语拼音音节以及汉语发音特点的语音库并同步收集脑电信号,构建了超过100小时的汉语语音-SEEG数据库。通过人工智能模型训练,该系统构建了针对汉字发音音节三要素(包括声母、声调和韵母)的预测模型,并最终通过一个语言模型对所有预测得到的元素进行整合,结合语义信息生成最可能的完整汉语句子。

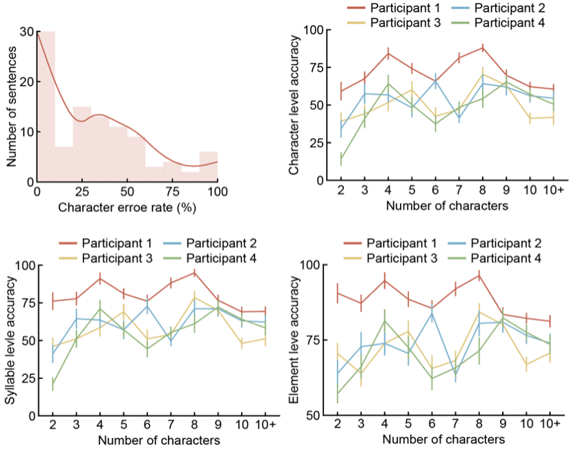
研究团队对这一脑机接口系统在模拟日常汉语环境中的解码能力进行了评估。在超过100次随机选择的2个字符-15个字符的复杂交流场景解码测试后,所有参与者字符错误率中位数平均仅为29%,部分参与者通过脑电解码得到的句子完全正确率达到了30%。相对高效的解码性能得益于三个独立音节元素解码器的优秀表现和智能语言模型的完美配合。特别的是在分类21个声母方面,声母解码器的准确率超过了40%(超过3倍基准线),并且Top 3正确率几乎达到了100%;而用于区分4个声调的声调解码器的准确率也达到了50%(超过2倍基准线)。除了三个独立音节元素解码器的突出贡献以外,智能语言模型强大的自动纠错能力和上下文联系能力也让整个语言脑机接口系统的表现更为突出。
这项研究为汉语这种意音文字语言的BCI解码研究提供了全新视角,也证明通过强大的语言模型可显著提高语言脑机接口系统的性能,为未来的意音文字语言神经假肢研究提供了新的方向。该项工作也预示着神经系统疾病患者很快就能通过意念来控制计算机生成汉语句子,重获交流能力!
参考内容
https://www.biorxiv.org/content/10.1101/2023.11.05.562313v1.full.pdf
以上就是《重要突破!西湖大学团队和浙二医院共同实现脑机接口中文解码》的详细内容,更多关于的资料请关注golang学习网公众号!
让AI价值落地:东软打造下一代智能化解决方案
- 上一篇
- 让AI价值落地:东软打造下一代智能化解决方案
- 下一篇
- 人工智能与神经科学:揭开人脑的奥秘
-
- 科技周边 · 人工智能 | 13分钟前 |
- 谷歌相册上线AI衣橱功能,智能搭配虚拟试穿
- 301浏览 收藏
-
- 科技周边 · 人工智能 | 16分钟前 |
- 微信控制 WorkBuddy 截圖權限設置
- 401浏览 收藏
-
- 科技周边 · 人工智能 | 28分钟前 |
- Perplexity Prompt防御技巧与案例解析
- 202浏览 收藏
-
- 科技周边 · 人工智能 | 30分钟前 |
- 不用API也能玩:Ollama本地运行DeepSeek教程
- 453浏览 收藏
-
- 科技周边 · 人工智能 | 46分钟前 |
- Recraft AI如何生成像素画?复古风创作技巧分享
- 417浏览 收藏
-
- 科技周边 · 人工智能 | 1小时前 | CanvaAI Canva可画
- Canva商品详情页设计技巧
- 242浏览 收藏
-
- 科技周边 · 人工智能 | 1小时前 |
- HeyGen口播视频怎么制作?
- 288浏览 收藏
-
- 科技周边 · 人工智能 | 1小时前 |
- ChatGPT综述引用格式混乱?BibTeX格式核对DOI指南
- 387浏览 收藏
-
- 科技周边 · 人工智能 | 1小时前 |
- DeepSeek助你高效翻译法律文件
- 398浏览 收藏
-
- 科技周边 · 人工智能 | 1小时前 | ToClawI
- 禁用启动项,ToClaw加速开机速度
- 468浏览 收藏
-
- 科技周边 · 人工智能 | 1小时前 |
- 可灵AI生成标语技巧与行业适配攻略
- 106浏览 收藏
-
- 科技周边 · 人工智能 | 1小时前 |
- 海螺AI语音版静音设置教程
- 486浏览 收藏
-
- 前端进阶之JavaScript设计模式
- 设计模式是开发人员在软件开发过程中面临一般问题时的解决方案,代表了最佳的实践。本课程的主打内容包括JS常见设计模式以及具体应用场景,打造一站式知识长龙服务,适合有JS基础的同学学习。
- 543次学习
-
- GO语言核心编程课程
- 本课程采用真实案例,全面具体可落地,从理论到实践,一步一步将GO核心编程技术、编程思想、底层实现融会贯通,使学习者贴近时代脉搏,做IT互联网时代的弄潮儿。
- 516次学习
-
- 简单聊聊mysql8与网络通信
- 如有问题加微信:Le-studyg;在课程中,我们将首先介绍MySQL8的新特性,包括性能优化、安全增强、新数据类型等,帮助学生快速熟悉MySQL8的最新功能。接着,我们将深入解析MySQL的网络通信机制,包括协议、连接管理、数据传输等,让
- 500次学习
-
- JavaScript正则表达式基础与实战
- 在任何一门编程语言中,正则表达式,都是一项重要的知识,它提供了高效的字符串匹配与捕获机制,可以极大的简化程序设计。
- 487次学习
-
- 从零制作响应式网站—Grid布局
- 本系列教程将展示从零制作一个假想的网络科技公司官网,分为导航,轮播,关于我们,成功案例,服务流程,团队介绍,数据部分,公司动态,底部信息等内容区块。网站整体采用CSSGrid布局,支持响应式,有流畅过渡和展现动画。
- 485次学习
-
- ChatExcel酷表
- ChatExcel酷表是由北京大学团队打造的Excel聊天机器人,用自然语言操控表格,简化数据处理,告别繁琐操作,提升工作效率!适用于学生、上班族及政府人员。
- 4517次使用
-
- Any绘本
- 探索Any绘本(anypicturebook.com/zh),一款开源免费的AI绘本创作工具,基于Google Gemini与Flux AI模型,让您轻松创作个性化绘本。适用于家庭、教育、创作等多种场景,零门槛,高自由度,技术透明,本地可控。
- 4867次使用
-
- 可赞AI
- 可赞AI,AI驱动的办公可视化智能工具,助您轻松实现文本与可视化元素高效转化。无论是智能文档生成、多格式文本解析,还是一键生成专业图表、脑图、知识卡片,可赞AI都能让信息处理更清晰高效。覆盖数据汇报、会议纪要、内容营销等全场景,大幅提升办公效率,降低专业门槛,是您提升工作效率的得力助手。
- 4743次使用
-
- 星月写作
- 星月写作是国内首款聚焦中文网络小说创作的AI辅助工具,解决网文作者从构思到变现的全流程痛点。AI扫榜、专属模板、全链路适配,助力新人快速上手,资深作者效率倍增。
- 6601次使用
-
- MagicLight
- MagicLight.ai是全球首款叙事驱动型AI动画视频创作平台,专注于解决从故事想法到完整动画的全流程痛点。它通过自研AI模型,保障角色、风格、场景高度一致性,让零动画经验者也能高效产出专业级叙事内容。广泛适用于独立创作者、动画工作室、教育机构及企业营销,助您轻松实现创意落地与商业化。
- 5104次使用
-
- GPT-4王者加冕!读图做题性能炸天,凭自己就能考上斯坦福
- 2023-04-25 501浏览
-
- 单块V100训练模型提速72倍!尤洋团队新成果获AAAI 2023杰出论文奖
- 2023-04-24 501浏览
-
- ChatGPT 真的会接管世界吗?
- 2023-04-13 501浏览
-
- VR的终极形态是「假眼」?Neuralink前联合创始人掏出新产品:科学之眼!
- 2023-04-30 501浏览
-
- 实现实时制造可视性优势有哪些?
- 2023-04-15 501浏览

