距离“全自动”漏洞挖掘又近了一步!腾讯安全大数据实验室论文入选ACM CCS 2023
最近发现不少小伙伴都对科技周边很感兴趣,所以今天继续给大家介绍科技周边相关的知识,本文《距离“全自动”漏洞挖掘又近了一步!腾讯安全大数据实验室论文入选ACM CCS 2023》主要内容涉及到等等知识点,希望能帮到你!当然如果阅读本文时存在不同想法,可以在评论中表达,但是请勿使用过激的措辞~
计算机领域国际权威学术顶会ACM CCS 2023于11月26日在丹麦哥本哈根开幕。腾讯安全大数据实验室团队论文《Hopper: Interpretative Fuzzing for Libraries》被大会收录,昨天,实验室研究员谢雨轩受邀出席大会进行主题分享。

该研究提出了一种解释性模糊测试的方法,展示了如何使用动态反馈来学习API内外的约束,以实现代码的自动化生成。通过这种方法,在没有任何外部专家知识的情况下,可以生成有效可用的代码调用方式,并利用这些代码挖掘漏洞。该研究方法的目标是解决模糊测试需要人工构造入口的问题,从而大大提高漏洞自动化挖掘的效率和应用范围
在过去几年中,模糊测试技术(Fuzzing)已被证明是一种非常有效的漏洞挖掘方法。该技术的主要原理是通过生成大量随机的输入来测试软件的处理能力,以此帮助开发人员自动化地发现软件中的缺陷。目前,模糊测试技术已经在开源软件和商业软件中得到广泛应用
然而,模糊测试依赖于开发人员手动构建测试入口(模糊驱动程序)来测试目标对象。编写逻辑正确且覆盖率高的测试入口需要开发人员对待测库有深入的理解,并且需要投入大量工作。由于门槛较高,目前仍有许多代码(包括项目、API等)尚未通过模糊测试进行覆盖,导致漏洞挖掘的“自动化”程度受到限制
腾讯安全大数据实验室提出了一种新的测试方法,名为解释性模糊测试。这种测试方法不需要开发人员编写测试入口,能够使Fuzzer直接生成待执行的程序,并实现对任意库API的完全自动化学习和测试。它完全打通了模糊测试的全自动化流程,大大提高了漏洞自动化挖掘的效率
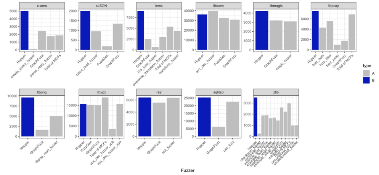
基于这个方法,腾讯安全大数据实验室实现了漏洞自动化挖掘工具Hopper,并在11个开源的库文件中评估了Hopper的效果。结果表明,Hopper在其中三个库中覆盖率表现有显著优势,在其他库能取得跟人工构造的入口不相上下的效果。

Hopper在API覆盖率方面表现出了极高的水准,达到了93.52%。相比之下,人工编写的模糊测试入口只能覆盖大约15%-30%的API

此外,Hopper 推断的 API 内约束能够达到 96.51% 的准确率,极大提升了生成代码的成功率和效率

最后,实验中,Hopper直接借助执行的动态反馈来生成可以测试API的代码,在大大提升API测试覆盖率的同时,还成功地找出了一系列真实的软件缺陷,并提交给相关平台和开发者进行了修复。
研究人员将上述研究成果以论文方式发布,并被ACM CCS 2023收录。ACM CCS与IEEE S&P、USENIX Security、NDSS并称为计算机安全领域四大顶级会议,已有近30年的历史,并对计算机安全领域产生了重大深远的影响。该会议在计算机安全领域享有崇高的声誉,同时也被中国计算机学会(CCF)认定为网络与信息安全A类国际学术会议。
腾讯安全大数据实验室认为,网络安全面临的内外部技术都在不断发展,但网络安全的本质还是漏洞和攻防,因此,如何才能先于攻击者找到系统的漏洞是不变的主题。大模型时代, 腾讯安全也将持续探索如何让AI等新技术赋能于漏洞挖掘、提升效率。
以上就是本文的全部内容了,是否有顺利帮助你解决问题?若是能给你带来学习上的帮助,请大家多多支持golang学习网!更多关于科技周边的相关知识,也可关注golang学习网公众号。
比亚迪海鸥创下20万辆里程碑,电动汽车市场引领风潮
- 上一篇
- 比亚迪海鸥创下20万辆里程碑,电动汽车市场引领风潮
- 下一篇
- 华人学生退学创业,斯坦福新媒体平台PIKA1.0火爆,估值超2亿美元
-
- 科技周边 · 人工智能 | 3小时前 |
- 可灵AI让照片动起来的技巧分享
- 411浏览 收藏
-
- 科技周边 · 人工智能 | 3小时前 | 骡子快跑
- 骡子快跑支持LaTeX吗?数学符号渲染教程
- 164浏览 收藏
-
- 科技周边 · 人工智能 | 3小时前 | 百度AI文心一言
- 文心一言生成古风插画方法教程
- 115浏览 收藏
-
- 科技周边 · 人工智能 | 4小时前 |
- 多轮对话企业知识助手实战构建
- 109浏览 收藏
-
- 科技周边 · 人工智能 | 4小时前 |
- PerplexityAI如何高效改写文章|文本优化技巧分享
- 404浏览 收藏
-
- 科技周边 · 人工智能 | 4小时前 |
- 豆包AI批量生成选题方法解析
- 436浏览 收藏
-
- 科技周边 · 人工智能 | 4小时前 |
- workbuddy安装流程详解及快速指南
- 309浏览 收藏
-
- 科技周边 · 人工智能 | 4小时前 | 文心一言 快速登录
- 文心一言官网登录指南 文心一言网页版入口操作
- 129浏览 收藏
-
- 科技周边 · 人工智能 | 4小时前 | Claude
- Claude Code使用技巧分享及实战指南
- 274浏览 收藏
-
- 科技周边 · 人工智能 | 4小时前 |
- 海螺AI视频色偏怎么调?色彩校准教程
- 199浏览 收藏
-
- 科技周边 · 人工智能 | 4小时前 |
- Gemini图像识别进阶教程:AI解析照片装修建议
- 369浏览 收藏
-
- 科技周边 · 人工智能 | 4小时前 |
- WorkBuddy AI开题报告怎么写?
- 117浏览 收藏
-
- 前端进阶之JavaScript设计模式
- 设计模式是开发人员在软件开发过程中面临一般问题时的解决方案,代表了最佳的实践。本课程的主打内容包括JS常见设计模式以及具体应用场景,打造一站式知识长龙服务,适合有JS基础的同学学习。
- 543次学习
-
- GO语言核心编程课程
- 本课程采用真实案例,全面具体可落地,从理论到实践,一步一步将GO核心编程技术、编程思想、底层实现融会贯通,使学习者贴近时代脉搏,做IT互联网时代的弄潮儿。
- 516次学习
-
- 简单聊聊mysql8与网络通信
- 如有问题加微信:Le-studyg;在课程中,我们将首先介绍MySQL8的新特性,包括性能优化、安全增强、新数据类型等,帮助学生快速熟悉MySQL8的最新功能。接着,我们将深入解析MySQL的网络通信机制,包括协议、连接管理、数据传输等,让
- 500次学习
-
- JavaScript正则表达式基础与实战
- 在任何一门编程语言中,正则表达式,都是一项重要的知识,它提供了高效的字符串匹配与捕获机制,可以极大的简化程序设计。
- 487次学习
-
- 从零制作响应式网站—Grid布局
- 本系列教程将展示从零制作一个假想的网络科技公司官网,分为导航,轮播,关于我们,成功案例,服务流程,团队介绍,数据部分,公司动态,底部信息等内容区块。网站整体采用CSSGrid布局,支持响应式,有流畅过渡和展现动画。
- 485次学习
-
- ChatExcel酷表
- ChatExcel酷表是由北京大学团队打造的Excel聊天机器人,用自然语言操控表格,简化数据处理,告别繁琐操作,提升工作效率!适用于学生、上班族及政府人员。
- 4242次使用
-
- Any绘本
- 探索Any绘本(anypicturebook.com/zh),一款开源免费的AI绘本创作工具,基于Google Gemini与Flux AI模型,让您轻松创作个性化绘本。适用于家庭、教育、创作等多种场景,零门槛,高自由度,技术透明,本地可控。
- 4598次使用
-
- 可赞AI
- 可赞AI,AI驱动的办公可视化智能工具,助您轻松实现文本与可视化元素高效转化。无论是智能文档生成、多格式文本解析,还是一键生成专业图表、脑图、知识卡片,可赞AI都能让信息处理更清晰高效。覆盖数据汇报、会议纪要、内容营销等全场景,大幅提升办公效率,降低专业门槛,是您提升工作效率的得力助手。
- 4483次使用
-
- 星月写作
- 星月写作是国内首款聚焦中文网络小说创作的AI辅助工具,解决网文作者从构思到变现的全流程痛点。AI扫榜、专属模板、全链路适配,助力新人快速上手,资深作者效率倍增。
- 6146次使用
-
- MagicLight
- MagicLight.ai是全球首款叙事驱动型AI动画视频创作平台,专注于解决从故事想法到完整动画的全流程痛点。它通过自研AI模型,保障角色、风格、场景高度一致性,让零动画经验者也能高效产出专业级叙事内容。广泛适用于独立创作者、动画工作室、教育机构及企业营销,助您轻松实现创意落地与商业化。
- 4857次使用
-
- GPT-4王者加冕!读图做题性能炸天,凭自己就能考上斯坦福
- 2023-04-25 501浏览
-
- 单块V100训练模型提速72倍!尤洋团队新成果获AAAI 2023杰出论文奖
- 2023-04-24 501浏览
-
- ChatGPT 真的会接管世界吗?
- 2023-04-13 501浏览
-
- VR的终极形态是「假眼」?Neuralink前联合创始人掏出新产品:科学之眼!
- 2023-04-30 501浏览
-
- 实现实时制造可视性优势有哪些?
- 2023-04-15 501浏览

