国内团队实现脑机接口「全谱汉语解码」,Top 3准确率近乎100%的重大突破
珍惜时间,勤奋学习!今天给大家带来《国内团队实现脑机接口「全谱汉语解码」,Top 3准确率近乎100%的重大突破》,正文内容主要涉及到等等,如果你正在学习科技周边,或者是对科技周边有疑问,欢迎大家关注我!后面我会持续更新相关内容的,希望都能帮到正在学习的大家!
今年八月,两篇背靠背《自然》文章展示了脑机接口在语言恢复方面的强大能力,单现有的语言脑机接口技术多是为「英文等字母语言」体系构建而成,针对「汉字等非字母体系」的语言脑机接口系统研究仍是空白。
最近,先进神经芯片中心默罕默德·萨万教授团队,自然语言处理实验室张岳教授团队和朱君明教授团队联合发布了他们最新的研究结果,实现了脑机接口全谱汉语解码,一定程度弥补了国际上汉语解码脑机接口技术的空白。
图片
论文地址:https://www.biorxiv.org/content/10.1101/2023.11.05.562313v1
此项研究通过立体定向脑电技术(SEEG)采集所有普通话汉字发音过程对应的大脑内神经活动信号,结合深度学习算法和语言模型,实现了对全谱汉字发音的解码,建立起覆盖所有汉语普通话字符发音的汉语脑机接口系统,实现了大脑活动到完整普通话句子的端到端输出。
脑机接口解码汉语
BCI,即脑机接口,被广泛认可为未来生命科学和信息技术的交叉融合领域的核心。这是一个具有重要社会价值和战略意义的研究方向
脑机接口技术是一种新型的信息传输渠道,旨在为人类或动物的脑部与外部设备之间建立信息交换的连接通路。它使得信息可以绕过原有的肌肉及外围神经通路,从而实现与外部世界的连通,从某种程度上替代人类的运动、语言等功能
汉语作为一种象形和音节结合的语言,具有超过50000个字符,与由26个字母组合而成的英语具有显著不同,因此这对于现有的语言脑机接口系统来说是一个巨大的挑战。
为了解决这个问题,研究团队在过去三年里深入分析了汉语的发音规则和特点。他们从汉语发音音节的声母、声调和韵母三个要素出发,并结合拼音输入系统的特点,设计了一个全新的适用于汉语的语言脑机接口系统
研究小组创建了一个超过100小时的汉语语音-SEEG数据库,他们设计了一个涵盖所有407个汉语拼音音节以及汉语发音特点的语音库,并同步收集了脑电信号
该系统通过训练人工智能模型来构建预测模型,用于汉字发音音节三要素(声母、声调和韵母)的预测。最后,该系统通过一个语言模型将所有预测得到的元素进行整合,并结合语义信息生成最可能的完整汉语句子
图片
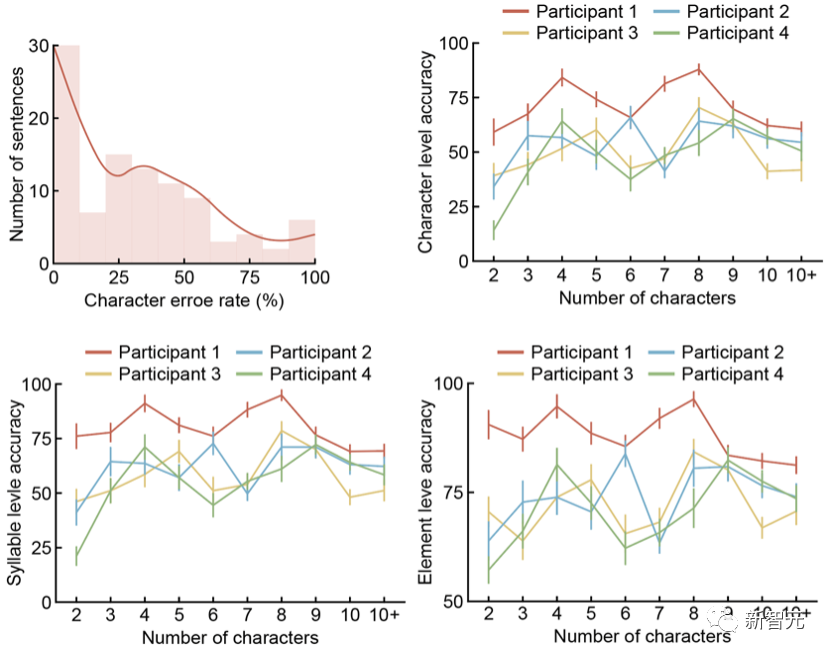
研究小组对一个脑机接口系统在日常汉语环境中的解码能力做了评估。在超过一百次随机选择的、由两个字符到十五个字符组成的复杂交流场景的解码测试中,所有参与者的字符错误率中位数平均为29%,有些参与者通过脑电解码得到的句子完全正确率达到了30%
相对高效的解码性能得益于三个独立音节元素解码器的优秀表现和智能语言模型的完美配合。特别的是在分类21个声母方面,声母解码器的准确率超过了40%(超过3倍基准线),并且Top 3正确率几乎达到了100%;而用于区分4个声调的声调解码器的准确率也达到了50%(超过2倍基准线)。
智能语言模型在整个语言脑机接口系统中表现突出,除了三个独立音节元素解码器的重要贡献外,其强大的自动纠错能力和上下文联系能力也起到了关键作用
图片
这项研究为汉语这种意音文字语言的BCI解码研究提供了全新视角,也证明了通过强大的语言模型可以显著提高语言脑机接口系统的性能,为未来意音文字语言神经假肢研究提供了新的方向
这项工作的意义在于,它预示着神经系统疾病患者很快就能通过意念来控制计算机生成汉语句子,从而恢复交流能力!
参考资料:
https://www.biorxiv.org/content/10.1101/2023.11.05.562313v1
以上就是本文的全部内容了,是否有顺利帮助你解决问题?若是能给你带来学习上的帮助,请大家多多支持golang学习网!更多关于科技周边的相关知识,也可关注golang学习网公众号。
中国商飞将推出 C919 大飞机衍生机型:“高原型”140 座和“加长型”210 座
- 上一篇
- 中国商飞将推出 C919 大飞机衍生机型:“高原型”140 座和“加长型”210 座
- 下一篇
- 创新农业基础:博创联动创始人陶伟揭秘机器人技术的应用价值
-
- 科技周边 · 人工智能 | 9分钟前 |
- Claude账号长期不登录会注销吗?
- 400浏览 收藏
-
- 科技周边 · 人工智能 | 27分钟前 |
- Perplexity防插件窃取搜索意图方法
- 362浏览 收藏
-
- 科技周边 · 人工智能 | 36分钟前 | Seedance 2.0
- Seedance 2.0适合口播吗?口播神器推荐
- 421浏览 收藏
-
- 科技周边 · 人工智能 | 38分钟前 |
- DeepSeek开源资源全汇总,从入门到精通
- 366浏览 收藏
-
- 科技周边 · 人工智能 | 42分钟前 |
- Hermes Agent功能扩展全攻略
- 243浏览 收藏
-
- 科技周边 · 人工智能 | 57分钟前 |
- 如何验证WorkBuddy安装包安全性?
- 331浏览 收藏
-
- 科技周边 · 人工智能 | 1小时前 | Kimi Kimi智能助手
- KIMI官网PC版使用技巧与快捷键
- 237浏览 收藏
-
- 科技周边 · 人工智能 | 1小时前 |
- AI头像生成全流程:从照片到艺术作品
- 121浏览 收藏
-
- 科技周边 · 人工智能 | 1小时前 | Hermes Agent HermesAgent
- Git子模块更新:HermesAgent版本升级教程
- 224浏览 收藏
-
- 科技周边 · 人工智能 | 1小时前 | 即梦AI
- 即梦AI通知权限开启方法详解
- 131浏览 收藏
-
- 科技周边 · 人工智能 | 1小时前 | Hermes Agent HermesAgent
- HermesAgent无服务器Lambda实战教程
- 154浏览 收藏
-
- 科技周边 · 人工智能 | 2小时前 |
- ChatGPT官网入口 ChatGPT网页版直达链接
- 411浏览 收藏
-
- 前端进阶之JavaScript设计模式
- 设计模式是开发人员在软件开发过程中面临一般问题时的解决方案,代表了最佳的实践。本课程的主打内容包括JS常见设计模式以及具体应用场景,打造一站式知识长龙服务,适合有JS基础的同学学习。
- 543次学习
-
- GO语言核心编程课程
- 本课程采用真实案例,全面具体可落地,从理论到实践,一步一步将GO核心编程技术、编程思想、底层实现融会贯通,使学习者贴近时代脉搏,做IT互联网时代的弄潮儿。
- 516次学习
-
- 简单聊聊mysql8与网络通信
- 如有问题加微信:Le-studyg;在课程中,我们将首先介绍MySQL8的新特性,包括性能优化、安全增强、新数据类型等,帮助学生快速熟悉MySQL8的最新功能。接着,我们将深入解析MySQL的网络通信机制,包括协议、连接管理、数据传输等,让
- 500次学习
-
- JavaScript正则表达式基础与实战
- 在任何一门编程语言中,正则表达式,都是一项重要的知识,它提供了高效的字符串匹配与捕获机制,可以极大的简化程序设计。
- 487次学习
-
- 从零制作响应式网站—Grid布局
- 本系列教程将展示从零制作一个假想的网络科技公司官网,分为导航,轮播,关于我们,成功案例,服务流程,团队介绍,数据部分,公司动态,底部信息等内容区块。网站整体采用CSSGrid布局,支持响应式,有流畅过渡和展现动画。
- 485次学习
-
- ChatExcel酷表
- ChatExcel酷表是由北京大学团队打造的Excel聊天机器人,用自然语言操控表格,简化数据处理,告别繁琐操作,提升工作效率!适用于学生、上班族及政府人员。
- 4515次使用
-
- Any绘本
- 探索Any绘本(anypicturebook.com/zh),一款开源免费的AI绘本创作工具,基于Google Gemini与Flux AI模型,让您轻松创作个性化绘本。适用于家庭、教育、创作等多种场景,零门槛,高自由度,技术透明,本地可控。
- 4865次使用
-
- 可赞AI
- 可赞AI,AI驱动的办公可视化智能工具,助您轻松实现文本与可视化元素高效转化。无论是智能文档生成、多格式文本解析,还是一键生成专业图表、脑图、知识卡片,可赞AI都能让信息处理更清晰高效。覆盖数据汇报、会议纪要、内容营销等全场景,大幅提升办公效率,降低专业门槛,是您提升工作效率的得力助手。
- 4742次使用
-
- 星月写作
- 星月写作是国内首款聚焦中文网络小说创作的AI辅助工具,解决网文作者从构思到变现的全流程痛点。AI扫榜、专属模板、全链路适配,助力新人快速上手,资深作者效率倍增。
- 6600次使用
-
- MagicLight
- MagicLight.ai是全球首款叙事驱动型AI动画视频创作平台,专注于解决从故事想法到完整动画的全流程痛点。它通过自研AI模型,保障角色、风格、场景高度一致性,让零动画经验者也能高效产出专业级叙事内容。广泛适用于独立创作者、动画工作室、教育机构及企业营销,助您轻松实现创意落地与商业化。
- 5103次使用
-
- GPT-4王者加冕!读图做题性能炸天,凭自己就能考上斯坦福
- 2023-04-25 501浏览
-
- 单块V100训练模型提速72倍!尤洋团队新成果获AAAI 2023杰出论文奖
- 2023-04-24 501浏览
-
- ChatGPT 真的会接管世界吗?
- 2023-04-13 501浏览
-
- VR的终极形态是「假眼」?Neuralink前联合创始人掏出新产品:科学之眼!
- 2023-04-30 501浏览
-
- 实现实时制造可视性优势有哪些?
- 2023-04-15 501浏览

