任意文本、视觉、音频混合生成,多模态有了强大的基础引擎CoDi-2
学习知识要善于思考,思考,再思考!今天golang学习网小编就给大家带来《任意文本、视觉、音频混合生成,多模态有了强大的基础引擎CoDi-2》,以下内容主要包含等知识点,如果你正在学习或准备学习科技周边,就都不要错过本文啦~让我们一起来看看吧,能帮助到你就更好了!
研究者指出,CoDi-2标志着在开发全面的多模态基础模型领域取得了重大突破
今年 5 月,北卡罗来纳大学教堂山分校、微软提出一种可组合扩散(Composable Diffusion,简称 CoDi)模型,让一种模型统一多种模态成为可能。CoDi 不仅支持从单模态到单模态的生成,还能接收多个条件输入以及多模态联合生成。
最近,来自UC伯克利、微软Azure AI、Zoom、以及北卡罗来纳大学教堂山分校的多位研究者已将CoDi系统升级至CoDi-2版本

重新写内容,不改变原意,需要改写成中文语言,不需要出现原句
根据Zineng Tang的论文,CoDi-2遵循复杂的多模态交错上下文指令,以零样本或少样本交互的方式生成任何模态(文本、视觉和音频)

此链接为图片来源:https://twitter.com/ZinengTang/status/1730658941414371820
可以说,作为一种多功能、交互式的多模态大语言模型(MLLM),CoDi-2 能够以 any-to-any 输入-输出模态范式进行上下文学习、推理、聊天、编辑等任务。通过对齐编码与生成时的模态与语言,CoDi-2 使 LLM 不仅可以理解复杂的模态交错指令和上下文示例, 还能在连续的特征空间内自回归地生成合理和连贯的多模态输出。
而为了训练 CoDi-2,研究者构建了一个大规模生成数据集,包含了跨文本、视觉和音频的上下文多模态指令。CoDi-2 展示了一系列多模态生成的零样本能力,比如上下文学习、推理以及通过多轮交互对话实现的 any-to-any 模态生成组合。其中在主题驱动图像生成、视觉转换和音频编辑等任务上超越了以往领域特定的模型。

人类与 CoDi-2 的多轮对话为图像编辑提供了上下文多模态指令。
需要重新书写的内容是:模型架构
CoDi-2 在设计时旨在处理上下文中的文本、图像和音频等多模态输入,利用特定指令促进上下文学习并生成相应的文本、图像和音频输出。CoDi-2 需要重新书写的内容是:模型架构图如下所示。

以多模态大语言模型作为基础引擎
这种 any-to-any 基础模型可以消化交错式模态输入,理解和推理复杂指令(如多轮对话、上下文示例),并与多模态扩散器交互,实现这一切的前提是需要一个强大的基础引擎。研究者提出将 MLLM 作为这个引擎,它的构建需要为仅文本的 LLM 提供多模态感知。
利用对齐的多模态编码器映射,研究者可以无缝地使 LLM 感知到模态交错的输入序列。具体地,在处理多模态输入序列时,他们首先使用多模态编码器将多模态数据映射到特征序列,然后特殊 token 被添加到特征序列的前后,比如「〈audio〉 [audio feature sequence] 〈/audio〉」。
多模态生成的基础是MLLM
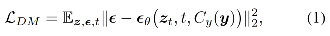
研究者提出将扩散模型(DM)集成到MLLM中,以生成多模态输出。在此过程中,遵循了详尽的多模态交错指令和提示。扩散模型的训练目标如下所示:

接着他们提出训练 MLLM 以生成条件式特征 c = C_y (y),该特征被馈入到扩散模型中以合成目标输出 x。这样一来,扩散模型的生成损失被用来训练 MLLM。
任务类型
该模型在以下示例任务类型中展现出强大的能力,它提供了一种独特的方法,可以促使模型生成或转换上下文中的多模态内容,包括文本、图像、音频、视频及其组合
重写后的内容为:1. 零样本推理。零样本推理任务要求模型在没有任何先前示例的情况下进行推理并生成新的内容
2. 一次/少量样本提示。一次或少量样本提示为模型提供了一个或几个示例,以便在执行类似任务之前从中学习。这种方法在以下任务中很明显:模型将学习到的概念从一个图像应用到另一个图像,或者通过理解所提供示例中描述的风格来创建一个新的艺术品。
实验及结果
模型设置
本文模型的实现基于 Llama2,特别是 Llama-2-7b-chat-hf。研究者使用 ImageBind ,它具有对齐的图像、视频、音频、文本、深度、thermal 和 IMU 模式编码器。研究者使用 ImageBind 对图像和音频特征进行编码,并通过多层感知器(MLP)将其投射到 LLM(Llama-2-7b-chat-hf)的输入维度。MLP 由线性映射、激活、归一化和另一个线性映射组成。当 LLM 生成图像或音频特征时,他们通过另一个 MLP 将其投射回 ImageBind 特征维度。本文图像扩散模型基于 StableDiffusion2.1 (stabilityai/stable-diffusion-2-1-unclip)、AudioLDM2 和 zeroscope v2。
研究人员为了获得更高保真度的原始输入图像或音频,将它们输入到扩散模型中,并通过连接扩散噪声生成特征。这种方法非常有效,它可以最大程度地保留输入内容的感知特征,并能够添加新内容或改变风格等指令编辑
需要进行重写的内容是:图像生成评估
下图展示了 Dreambench 上主题驱动图像生成的评估结果和 MSCOCO 上的 FID 分数。本文方法实现了极具竞争力的零样本性能,显示了其对未知新任务的泛化能力。

音频生成评估
表 5 展示了音频处理任务的评估结果,即添加、删除和替换音轨中的元素。从表中可以明显看出,与之前的方法相比,本文方法表现出了卓越的性能。值得注意的是,在所有三个编辑任务中,它在所有指标——对数谱距离(LSD)、Kullback-Leibler(KL)发散和 Fréchet Distance(FD)上都取得了最低得分

阅读原文,了解更多技术细节。
好了,本文到此结束,带大家了解了《任意文本、视觉、音频混合生成,多模态有了强大的基础引擎CoDi-2》,希望本文对你有所帮助!关注golang学习网公众号,给大家分享更多科技周边知识!
华为Pocket S2曝光:设计延续传统 春节后折叠屏手机新品发布
- 上一篇
- 华为Pocket S2曝光:设计延续传统 春节后折叠屏手机新品发布
- 下一篇
- 《哥斯拉大战金刚 2:帝国崛起》首支预告公布,联手对抗“刀疤王”
-
- 科技周边 · 人工智能 | 14分钟前 |
- DeepSeek SQL不符MySQL规范,指定版本重写指南
- 188浏览 收藏
-
- 科技周边 · 人工智能 | 32分钟前 |
- 谷歌相册上线AI衣橱功能,智能搭配虚拟试穿
- 301浏览 收藏
-
- 科技周边 · 人工智能 | 35分钟前 |
- 微信控制 WorkBuddy 截圖權限設置
- 401浏览 收藏
-
- 科技周边 · 人工智能 | 47分钟前 |
- Perplexity Prompt防御技巧与案例解析
- 202浏览 收藏
-
- 科技周边 · 人工智能 | 48分钟前 |
- 不用API也能玩:Ollama本地运行DeepSeek教程
- 453浏览 收藏
-
- 科技周边 · 人工智能 | 1小时前 |
- Recraft AI如何生成像素画?复古风创作技巧分享
- 417浏览 收藏
-
- 科技周边 · 人工智能 | 1小时前 | CanvaAI Canva可画
- Canva商品详情页设计技巧
- 242浏览 收藏
-
- 科技周边 · 人工智能 | 1小时前 |
- HeyGen口播视频怎么制作?
- 288浏览 收藏
-
- 科技周边 · 人工智能 | 1小时前 |
- ChatGPT综述引用格式混乱?BibTeX格式核对DOI指南
- 387浏览 收藏
-
- 科技周边 · 人工智能 | 1小时前 |
- DeepSeek助你高效翻译法律文件
- 398浏览 收藏
-
- 科技周边 · 人工智能 | 1小时前 | ToClawI
- 禁用启动项,ToClaw加速开机速度
- 468浏览 收藏
-
- 科技周边 · 人工智能 | 1小时前 |
- 可灵AI生成标语技巧与行业适配攻略
- 106浏览 收藏
-
- 前端进阶之JavaScript设计模式
- 设计模式是开发人员在软件开发过程中面临一般问题时的解决方案,代表了最佳的实践。本课程的主打内容包括JS常见设计模式以及具体应用场景,打造一站式知识长龙服务,适合有JS基础的同学学习。
- 543次学习
-
- GO语言核心编程课程
- 本课程采用真实案例,全面具体可落地,从理论到实践,一步一步将GO核心编程技术、编程思想、底层实现融会贯通,使学习者贴近时代脉搏,做IT互联网时代的弄潮儿。
- 516次学习
-
- 简单聊聊mysql8与网络通信
- 如有问题加微信:Le-studyg;在课程中,我们将首先介绍MySQL8的新特性,包括性能优化、安全增强、新数据类型等,帮助学生快速熟悉MySQL8的最新功能。接着,我们将深入解析MySQL的网络通信机制,包括协议、连接管理、数据传输等,让
- 500次学习
-
- JavaScript正则表达式基础与实战
- 在任何一门编程语言中,正则表达式,都是一项重要的知识,它提供了高效的字符串匹配与捕获机制,可以极大的简化程序设计。
- 487次学习
-
- 从零制作响应式网站—Grid布局
- 本系列教程将展示从零制作一个假想的网络科技公司官网,分为导航,轮播,关于我们,成功案例,服务流程,团队介绍,数据部分,公司动态,底部信息等内容区块。网站整体采用CSSGrid布局,支持响应式,有流畅过渡和展现动画。
- 485次学习
-
- ChatExcel酷表
- ChatExcel酷表是由北京大学团队打造的Excel聊天机器人,用自然语言操控表格,简化数据处理,告别繁琐操作,提升工作效率!适用于学生、上班族及政府人员。
- 4517次使用
-
- Any绘本
- 探索Any绘本(anypicturebook.com/zh),一款开源免费的AI绘本创作工具,基于Google Gemini与Flux AI模型,让您轻松创作个性化绘本。适用于家庭、教育、创作等多种场景,零门槛,高自由度,技术透明,本地可控。
- 4867次使用
-
- 可赞AI
- 可赞AI,AI驱动的办公可视化智能工具,助您轻松实现文本与可视化元素高效转化。无论是智能文档生成、多格式文本解析,还是一键生成专业图表、脑图、知识卡片,可赞AI都能让信息处理更清晰高效。覆盖数据汇报、会议纪要、内容营销等全场景,大幅提升办公效率,降低专业门槛,是您提升工作效率的得力助手。
- 4743次使用
-
- 星月写作
- 星月写作是国内首款聚焦中文网络小说创作的AI辅助工具,解决网文作者从构思到变现的全流程痛点。AI扫榜、专属模板、全链路适配,助力新人快速上手,资深作者效率倍增。
- 6601次使用
-
- MagicLight
- MagicLight.ai是全球首款叙事驱动型AI动画视频创作平台,专注于解决从故事想法到完整动画的全流程痛点。它通过自研AI模型,保障角色、风格、场景高度一致性,让零动画经验者也能高效产出专业级叙事内容。广泛适用于独立创作者、动画工作室、教育机构及企业营销,助您轻松实现创意落地与商业化。
- 5104次使用
-
- GPT-4王者加冕!读图做题性能炸天,凭自己就能考上斯坦福
- 2023-04-25 501浏览
-
- 单块V100训练模型提速72倍!尤洋团队新成果获AAAI 2023杰出论文奖
- 2023-04-24 501浏览
-
- ChatGPT 真的会接管世界吗?
- 2023-04-13 501浏览
-
- VR的终极形态是「假眼」?Neuralink前联合创始人掏出新产品:科学之眼!
- 2023-04-30 501浏览
-
- 实现实时制造可视性优势有哪些?
- 2023-04-15 501浏览


