11个基本分布,数据科学家95%的时间都在使用
哈喽!今天心血来潮给大家带来了《11个基本分布,数据科学家95%的时间都在使用》,想必大家应该对科技周边都不陌生吧,那么阅读本文就都不会很困难,以下内容主要涉及到,若是你正在学习科技周边,千万别错过这篇文章~希望能帮助到你!
继上次盘点《数据科学家95%的时间都在使用的11个基本图表》之后,今天将为大家带来数据科学家95%的时间都在使用的11个基本分布。掌握这些分布,有助于我们更深入地理解数据的本质,并在数据分析和决策过程中做出更准确的推断和预测。

1. 正态分布
正态分布(Normal Distribution),也被称为高斯分布(Gaussian Distribution),是一种连续型概率分布。它具有一个对称的钟形曲线,以均值(μ)为中心,标准差(σ)为宽度。正态分布在统计学、概率论、工程学等多个领域具有重要的应用价值。

正态分布的概率密度函数可以表示为:

概率密度函数表示在给定值x附近的单位区间内正态分布的随机变量取值的概率密度。其中,μ表示均值,σ表示标准差
正态分布在实际中的应用是广泛的。例如,人的身高和体重分布近似于正态分布。此外,考试成绩通常呈正态分布,高分和低分的人数较少,而中间分数的人数较多。这种分布模式在许多领域都有重要的应用价值
2. 伯努利分布
伯努利分布(Bernoulli Distribution)是一种离散型概率分布,用于描述只有两种可能结果的单次随机试验。伯努利试验可以是正面或反面,成功或失败,是或否等。例如,抛硬币、检测产品是否合格、某人是否购买某种产品等。

伯努利分布的概率质量函数为:

在伯努利分布中,p表示成功的概率,其取值范围为0到1。当p等于0.5时,伯努利分布就趋近于均匀分布
伯努利分布在实际中的应用:例如二项分布就是伯努利分布的n次独立重复试验。
3. 二项分布
二项分布(Binomial Distribution)是一种离散型概率分布,用于描述在n次独立重复试验中成功次数的概率分布。每次试验只有两种可能的结果:成功(记为1)或失败(记为0)。成功的概率为p,失败的概率为1-p。

二项分布的概率质量函数可以表示为:

其中,P(X=k)表示成功次数为k的概率,
是组合数,表示从n次试验中选择k次成功的组合数。p是成功的概率,取值范围在0和1之间。n是试验次数。
二项分布在实际中的应用非常广泛。举例来说,在医学研究中,我们可以利用二项分布来计算患者接受某种治疗的成功率。在工程领域中,我们可以使用二项分布来评估产品在生产过程中的合格率。这些都是二项分布在实际应用中的重要例子
4. 泊松分布
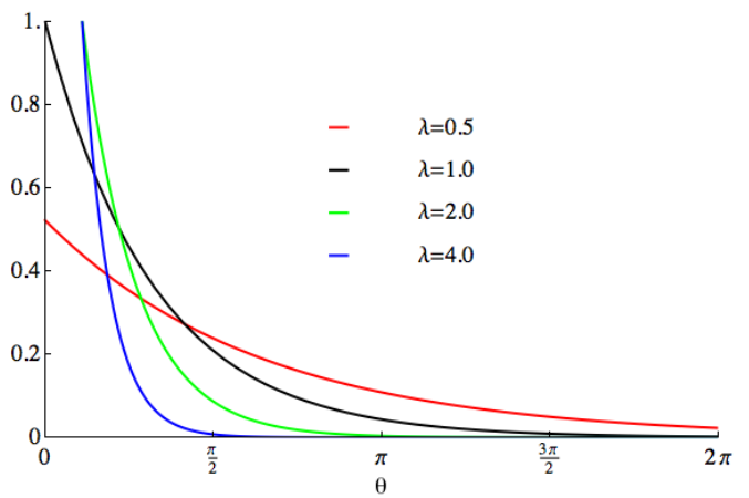
泊松分布(Poisson Distribution)是一种离散型概率分布,用于描述在固定时间内,事件发生的次数的概率分布。泊松分布适用于那些事件相互独立,且平均发生速率恒定的情况。

泊松分布的概率密度函数是:

在这里,P(X=k)代表在固定时间内事件发生k次的概率,λ表示事件的平均发生速率,也就是单位时间内事件发生的平均次数。e是自然常数,约等于2.718。k表示事件发生的次数
泊松分布在实际中的应用十分广泛,比如在电话呼叫中心,每分钟打进的电话数量可以看作是泊松分布,其中平均每分钟打进的电话数量为λ
5. 指数分布
指数分布(Exponential Distribution)是一种连续型概率分布,用于描述在固定时间内,事件发生的概率。指数分布适用于那些事件相互独立,且平均发生速率恒定的情况。

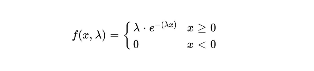
指数分布的概率密度函数为:

在给定时间x内事件发生的概率密度用f(x,λ)表示。λ表示事件的平均发生速率,即单位时间内事件发生的平均次数。e是自然常数,约等于2.718
指数分布在现实生活中有许多应用。例如,在放射性衰变中,放射性原子核的衰变时间可以被视为指数分布。这意味着衰变时间的概率分布符合指数函数。而平均衰变时间则对应着指数函数的参数λ
6. 伽玛分布
Gamma分布是一种连续概率分布,用于描述事件在给定时间内发生的概率。它适用于事件之间互相独立,并且平均发生速率始终不变的情况

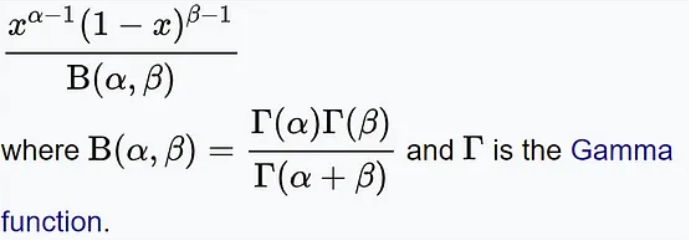
伽玛分布的概率密度函数为:

在此其中,f(x)代表在特定时间x内事件发生的概率密度。α和β是伽玛分布的形状参数和速率参数。α用于决定伽玛分布的形状,取值范围为0到正无穷。β表示事件的平均发生速率,即在单位时间内事件发生的平均次数,取值范围为0到正无穷。e为自然常数,约等于2.718
伽玛分布在实际中的应用:例如放射性衰变:在放射性衰变中,放射性原子核衰变的时间可以看作是伽玛分布,平均衰变时间即为β/α。
7. 贝塔分布
贝塔分布(Beta distribution)是一种连续型概率分布,用于描述一组数值中成功次数的概率分布。它具有两个参数,分别表示成功概率的期望值(mean)和标准差(standard deviation)。

贝塔分布的概率密度函数如下:

在这其中,x代表成功的次数,α和β分别代表分布的形状参数
贝塔分布在许多实际问题中都有应用。例如,在基因编辑中,研究人员可能会使用贝塔分布来预测基因编辑技术成功编辑某个目标位点的概率。在金融领域,贝塔分布可以用于描述资产价格的波动性,或者用于计算投资组合的预期收益
8. 均匀分布
均匀分布是一种概率分布,用于描述一组数值在某个区间内均匀地分布。均匀分布有两种类型:离散均匀分布和连续均匀分布。
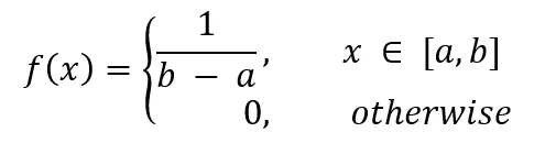
离散均匀分布:当一个离散随机变量X满足以下概率分布时:P(X=k) = k/(n+1),其中k为非负整数,n为区间内的整数,我们称X服从离散均匀分布。连续均匀分布:当一个连续随机变量X的概率密度函数为f(x) = 1/(b-a)时,我们称X服从连续均匀分布,其中a和b为区间的两个端点

均匀分布的特点是,在给定的区间内,每个数值都有相同的机会出现。例如,抛一枚公正的硬币,正面和反面出现的概率都是1/2,这就是一种均匀分布。

9. 对数正态分布
对数正态分布(Log-normal distribution)是一种连续型概率分布,它的特点是随机变量的对数服从正态分布。换句话说,如果一个随机变量X的对数ln(X)服从正态分布,那么这个随机变量X就服从对数正态分布。

对数正态分布的概率密度函数可以表示为:

其中,μ是对数正态分布的均值,σ是对数正态分布的标准差。
对数正态分布在许多实际应用中都有重要意义,例如金融领域(股票价格、收益率等)、生物学(生长速率等)、经济学(消费支出等)等。
10. T分布
T分布,是一种连续型概率分布,主要用于小样本情况下描述均值的分布。t分布与正态分布(Normal distribution)类似,但它的尾部可以向左右延伸,取决于自由度(k)的大小。t分布广泛应用于统计推断,例如在假设检验中用于评估样本均值与总体均值之间的显著性差异。

t分布的期望和方差如下:
E(t)=0
要重写的内容是:Var(t)=k/(k-1)
t分布的自由度(k)表示样本大小(n)和总体标准差之间的关系。当k > 30时,t分布接近正态分布;当k接近1时,t分布变为柯西分布(Cauchy分布)
在实际应用中,当样本量较大(n>30)时,可以使用正态分布进行假设检验,这时可以利用z统计量建立置信区间。然而,当样本量较小(n
11. Weibull分布
Weibull分布(Weibull distribution)是一种连续型概率分布。
Weibull分布的概率密度函数为:

在韦伯分布中,x被视为随机变量,λ则被称为比例参数(scale),k则是形状参数(shape)。就韦伯分布而言,当k等于1时,它就是指数分布。如果λ等于1的话,这就是最小化的韦伯分布
理论要掌握,实操不能落!以上关于《11个基本分布,数据科学家95%的时间都在使用》的详细介绍,大家都掌握了吧!如果想要继续提升自己的能力,那么就来关注golang学习网公众号吧!
新标题:何恺明与MIT合作:简单框架实现无条件图像生成的最新突破
- 上一篇
- 新标题:何恺明与MIT合作:简单框架实现无条件图像生成的最新突破
- 下一篇
- AI 在智能制造:推动创新与效率的提升
-
- 科技周边 · 人工智能 | 3小时前 |
- AI时代卡皮巴拉就业影响与应对策略
- 168浏览 收藏
-
- 科技周边 · 人工智能 | 3小时前 | Hermes Agent HermesAgent
- HermesAgent社区在哪?用户交流论坛推荐
- 107浏览 收藏
-
- 科技周边 · 人工智能 | 4小时前 | Llama 3
- Llama3虚拟机PCIe直通失败解决方法
- 354浏览 收藏
-
- 科技周边 · 人工智能 | 4小时前 | KimiChat kimichat官网
- Kimichat官网入口及访问方式汇总
- 271浏览 收藏
-
- 科技周边 · 人工智能 | 4小时前 |
- Lumen5制作AI动画视频技巧解析
- 282浏览 收藏
-
- 科技周边 · 人工智能 | 4小时前 | CanvaAI Canva可画
- Canva转PPT教程:格式转换全攻略
- 152浏览 收藏
-
- 科技周边 · 人工智能 | 4小时前 | 夸克AI 夸克AI大模型
- 夸克AI如何找行业研报?实用搜索技巧分享
- 482浏览 收藏
-
- 科技周边 · 人工智能 | 4小时前 | openclaw
- OpenClaw终极版:打造全能个人系统
- 182浏览 收藏
-
- 科技周边 · 人工智能 | 4小时前 |
- 本地大模型显存占用对比(7B/14B/72B)
- 491浏览 收藏
-
- 科技周边 · 人工智能 | 5小时前 |
- DeepSeek降重技巧与文章优化方法
- 492浏览 收藏
-
- 科技周边 · 人工智能 | 5小时前 | CodeGeeX CodeGeeX如何生成Python代码完整教程
- CodeGeeX实现链表、栈与队列指南
- 404浏览 收藏
-
- 科技周边 · 人工智能 | 5小时前 |
- DeepSeekV4生成Mermaid图表教程
- 116浏览 收藏
-
- 前端进阶之JavaScript设计模式
- 设计模式是开发人员在软件开发过程中面临一般问题时的解决方案,代表了最佳的实践。本课程的主打内容包括JS常见设计模式以及具体应用场景,打造一站式知识长龙服务,适合有JS基础的同学学习。
- 543次学习
-
- GO语言核心编程课程
- 本课程采用真实案例,全面具体可落地,从理论到实践,一步一步将GO核心编程技术、编程思想、底层实现融会贯通,使学习者贴近时代脉搏,做IT互联网时代的弄潮儿。
- 516次学习
-
- 简单聊聊mysql8与网络通信
- 如有问题加微信:Le-studyg;在课程中,我们将首先介绍MySQL8的新特性,包括性能优化、安全增强、新数据类型等,帮助学生快速熟悉MySQL8的最新功能。接着,我们将深入解析MySQL的网络通信机制,包括协议、连接管理、数据传输等,让
- 500次学习
-
- JavaScript正则表达式基础与实战
- 在任何一门编程语言中,正则表达式,都是一项重要的知识,它提供了高效的字符串匹配与捕获机制,可以极大的简化程序设计。
- 487次学习
-
- 从零制作响应式网站—Grid布局
- 本系列教程将展示从零制作一个假想的网络科技公司官网,分为导航,轮播,关于我们,成功案例,服务流程,团队介绍,数据部分,公司动态,底部信息等内容区块。网站整体采用CSSGrid布局,支持响应式,有流畅过渡和展现动画。
- 485次学习
-
- ChatExcel酷表
- ChatExcel酷表是由北京大学团队打造的Excel聊天机器人,用自然语言操控表格,简化数据处理,告别繁琐操作,提升工作效率!适用于学生、上班族及政府人员。
- 4475次使用
-
- Any绘本
- 探索Any绘本(anypicturebook.com/zh),一款开源免费的AI绘本创作工具,基于Google Gemini与Flux AI模型,让您轻松创作个性化绘本。适用于家庭、教育、创作等多种场景,零门槛,高自由度,技术透明,本地可控。
- 4819次使用
-
- 可赞AI
- 可赞AI,AI驱动的办公可视化智能工具,助您轻松实现文本与可视化元素高效转化。无论是智能文档生成、多格式文本解析,还是一键生成专业图表、脑图、知识卡片,可赞AI都能让信息处理更清晰高效。覆盖数据汇报、会议纪要、内容营销等全场景,大幅提升办公效率,降低专业门槛,是您提升工作效率的得力助手。
- 4703次使用
-
- 星月写作
- 星月写作是国内首款聚焦中文网络小说创作的AI辅助工具,解决网文作者从构思到变现的全流程痛点。AI扫榜、专属模板、全链路适配,助力新人快速上手,资深作者效率倍增。
- 6494次使用
-
- MagicLight
- MagicLight.ai是全球首款叙事驱动型AI动画视频创作平台,专注于解决从故事想法到完整动画的全流程痛点。它通过自研AI模型,保障角色、风格、场景高度一致性,让零动画经验者也能高效产出专业级叙事内容。广泛适用于独立创作者、动画工作室、教育机构及企业营销,助您轻松实现创意落地与商业化。
- 5069次使用
-
- GPT-4王者加冕!读图做题性能炸天,凭自己就能考上斯坦福
- 2023-04-25 501浏览
-
- 单块V100训练模型提速72倍!尤洋团队新成果获AAAI 2023杰出论文奖
- 2023-04-24 501浏览
-
- ChatGPT 真的会接管世界吗?
- 2023-04-13 501浏览
-
- VR的终极形态是「假眼」?Neuralink前联合创始人掏出新产品:科学之眼!
- 2023-04-30 501浏览
-
- 实现实时制造可视性优势有哪些?
- 2023-04-15 501浏览

