薛定谔桥驱动下的新语音合成系统,打败扩散模型,由清华朱军团队开发而来
来源:机器之心
2023-12-25 19:25:07
0浏览
收藏
有志者,事竟成!如果你在学习科技周边,那么本文《薛定谔桥驱动下的新语音合成系统,打败扩散模型,由清华朱军团队开发而来》,就很适合你!文章讲解的知识点主要包括,若是你对本文感兴趣,或者是想搞懂其中某个知识点,就请你继续往下看吧~



1000 步合成效果对比

4 步合成效果对比

2 步合成效果对比
下面展示了 Bridge-TTS 一个在 2 步和 4 步的一个确定性合成(ODE sampling)案例。在 4 步合成中,该方法相较于扩散模型显著合成了更多样本细节,并没有噪声残留的问题。在 2 步合成中,该方法展示出了完全纯净的采样轨迹,并在每一步采样完善了更多的生成细节。


在 50 步合成中,Bridge-TTS与基于扩散模型的方法的梅尔谱对比





前向过程:此研究在强信息先验和生成目标之间搭建了一种完全可解的薛定谔桥,支持灵活的前向过程选择,如对称式噪声策略:
、常数
,和非对称噪声策略:
、线性
,以及直接与扩散模型相对应的方差保持(VP)噪声策略。该方法发现在语音合成任务中非对称噪声策略:即线性
(gmax)和 VP 过程,相较于对称式噪声策略有更好的生成效果。


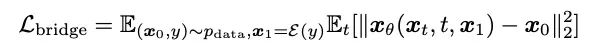
模型训练:该方法保持了扩散模型训练过程的多个优点,如单阶段、单模型、和单损失函数等。并且其对比了多种模型参数化(Model parameterization)的方式,即网络训练目标的选择,包括噪声预测(Noise)、生成目标预测(Data)、和对应于扩散模型中流匹配技术 [10,11] 的速度预测(Velocity)等。文章发现以生成目标,即梅尔谱为网络预测目标时,可以取得相对更佳的生成效果。


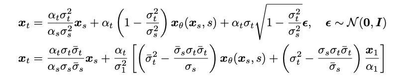
采样过程:得益于该研究中薛定谔桥完全可解的形式,对薛定谔桥对应的前 - 后向 SDE 系统进行变换,作者们得到了 Bridge SDE 和 Bridge ODE 用于推断。同时,由于直接模拟 Bridge SDE/ODE 推断速度较慢,为加快采样,该研究借助了扩散模型中常用的指数积分器 [12,13],给出了薛定谔桥的一阶 SDE 与 ODE 采样形式:


朱军教授

微软亚洲研究院首席研究经理谭旭



以上就是《薛定谔桥驱动下的新语音合成系统,打败扩散模型,由清华朱军团队开发而来》的详细内容,更多关于产业的资料请关注golang学习网公众号!
版本声明
本文转载于:机器之心 如有侵犯,请联系study_golang@163.com删除
小米14 Ultra:完美融合直角边框与尖端技术的预览
- 上一篇
- 小米14 Ultra:完美融合直角边框与尖端技术的预览
- 下一篇
- 微软发布Office版本2309的最新更新:增强Web版Word的安全性和功能升级
查看更多
最新文章
-
- 科技周边 · 人工智能 | 3分钟前 |
- AI作词工具推荐:一键生成原创歌词
- 127浏览 收藏
-
- 科技周边 · 人工智能 | 6分钟前 |
- 星火创作儿童故事技巧全解析
- 105浏览 收藏
-
- 科技周边 · 人工智能 | 7分钟前 | Workbuddy
- WorkBuddy卖点SWOT分析技巧详解
- 407浏览 收藏
-
- 科技周边 · 人工智能 | 11分钟前 |
- DeepSeek-V3对战Grok3:编程实力对比解析
- 247浏览 收藏
-
- 科技周边 · 人工智能 | 29分钟前 |
- ChatGPT睡前故事生成与亲子互动技巧
- 296浏览 收藏
-
- 科技周边 · 人工智能 | 32分钟前 |
- RTX 3060到4090硬件升级指南
- 445浏览 收藏
-
- 科技周边 · 人工智能 | 56分钟前 |
- 网页版Gemini视频摘要提取教程
- 122浏览 收藏
-
- 科技周边 · 人工智能 | 1小时前 |
- 文心一言教你学书法流派basics
- 320浏览 收藏
-
- 科技周边 · 人工智能 | 1小时前 |
- PerplexityAI如何深入追问?多轮技巧解析
- 209浏览 收藏
-
- 科技周边 · 人工智能 | 1小时前 | CodeGeeX
- CodeGeeX工具箱加密功能深度解析
- 382浏览 收藏
-
- 科技周边 · 人工智能 | 1小时前 | Hermes Agent HermesAgent
- HermesAgent云管理:AWS成本优化技巧
- 457浏览 收藏
-
- 科技周边 · 人工智能 | 2小时前 | 抖音AI
- 抖音AI涂鸦动画分镜制作技巧
- 225浏览 收藏
查看更多
课程推荐
-
- 前端进阶之JavaScript设计模式
- 设计模式是开发人员在软件开发过程中面临一般问题时的解决方案,代表了最佳的实践。本课程的主打内容包括JS常见设计模式以及具体应用场景,打造一站式知识长龙服务,适合有JS基础的同学学习。
- 543次学习
-
- GO语言核心编程课程
- 本课程采用真实案例,全面具体可落地,从理论到实践,一步一步将GO核心编程技术、编程思想、底层实现融会贯通,使学习者贴近时代脉搏,做IT互联网时代的弄潮儿。
- 516次学习
-
- 简单聊聊mysql8与网络通信
- 如有问题加微信:Le-studyg;在课程中,我们将首先介绍MySQL8的新特性,包括性能优化、安全增强、新数据类型等,帮助学生快速熟悉MySQL8的最新功能。接着,我们将深入解析MySQL的网络通信机制,包括协议、连接管理、数据传输等,让
- 500次学习
-
- JavaScript正则表达式基础与实战
- 在任何一门编程语言中,正则表达式,都是一项重要的知识,它提供了高效的字符串匹配与捕获机制,可以极大的简化程序设计。
- 487次学习
-
- 从零制作响应式网站—Grid布局
- 本系列教程将展示从零制作一个假想的网络科技公司官网,分为导航,轮播,关于我们,成功案例,服务流程,团队介绍,数据部分,公司动态,底部信息等内容区块。网站整体采用CSSGrid布局,支持响应式,有流畅过渡和展现动画。
- 485次学习
查看更多
AI推荐
-
- ChatExcel酷表
- ChatExcel酷表是由北京大学团队打造的Excel聊天机器人,用自然语言操控表格,简化数据处理,告别繁琐操作,提升工作效率!适用于学生、上班族及政府人员。
- 4480次使用
-
- Any绘本
- 探索Any绘本(anypicturebook.com/zh),一款开源免费的AI绘本创作工具,基于Google Gemini与Flux AI模型,让您轻松创作个性化绘本。适用于家庭、教育、创作等多种场景,零门槛,高自由度,技术透明,本地可控。
- 4822次使用
-
- 可赞AI
- 可赞AI,AI驱动的办公可视化智能工具,助您轻松实现文本与可视化元素高效转化。无论是智能文档生成、多格式文本解析,还是一键生成专业图表、脑图、知识卡片,可赞AI都能让信息处理更清晰高效。覆盖数据汇报、会议纪要、内容营销等全场景,大幅提升办公效率,降低专业门槛,是您提升工作效率的得力助手。
- 4706次使用
-
- 星月写作
- 星月写作是国内首款聚焦中文网络小说创作的AI辅助工具,解决网文作者从构思到变现的全流程痛点。AI扫榜、专属模板、全链路适配,助力新人快速上手,资深作者效率倍增。
- 6498次使用
-
- MagicLight
- MagicLight.ai是全球首款叙事驱动型AI动画视频创作平台,专注于解决从故事想法到完整动画的全流程痛点。它通过自研AI模型,保障角色、风格、场景高度一致性,让零动画经验者也能高效产出专业级叙事内容。广泛适用于独立创作者、动画工作室、教育机构及企业营销,助您轻松实现创意落地与商业化。
- 5076次使用
查看更多
相关文章
-
- GPT-4王者加冕!读图做题性能炸天,凭自己就能考上斯坦福
- 2023-04-25 501浏览
-
- 单块V100训练模型提速72倍!尤洋团队新成果获AAAI 2023杰出论文奖
- 2023-04-24 501浏览
-
- ChatGPT 真的会接管世界吗?
- 2023-04-13 501浏览
-
- VR的终极形态是「假眼」?Neuralink前联合创始人掏出新产品:科学之眼!
- 2023-04-30 501浏览
-
- 实现实时制造可视性优势有哪些?
- 2023-04-15 501浏览

、线性
,以及直接与扩散模型相对应的方差保持(VP)噪声策略。该方法发现在语音合成任务中非对称噪声策略:即线性
