TRIBE在多真实场景下实现鲁棒的领域适应,确保测试时的卓越表现(AAAI 2024)
各位小伙伴们,大家好呀!看看今天我又给各位带来了什么文章?本文标题是《TRIBE在多真实场景下实现鲁棒的领域适应,确保测试时的卓越表现(AAAI 2024)》,很明显是关于科技周边的文章哈哈哈,其中内容主要会涉及到等等,如果能帮到你,觉得很不错的话,欢迎各位多多点评和分享!
测试数据流应当是时变分布(而非传统领域适应中的固定分布) 测试数据流可能存在局部类别相关性(而非完全独立同分布采样) 测试数据流在较长时间里仍表现全局类别不平衡

深度神经网络的成功依赖于将训练好的模型推广到 i.i.d. 测试域的假设。然而,在实际应用中,分布外测试数据的鲁棒性,如不同的照明条件或恶劣天气造成的视觉损坏,是一个需要关注的问题。最近的研究显示,这种数据损失可能会严重影响预先训练好的模型的性能。重要的是,在部署前,测试数据的损坏(分布)通常是未知的,有时也不可预测。
因此,调整预训练模型以适应推理阶段的测试数据分布是一个值得价值的新课题,即测试时领域适 (TTA)。此前,TTA 主要通过分布对齐 (TTAC++, TTT++),自监督训练 (AdaContrast) 和自训练 (Conjugate PL) 来实现,这些方法在多种视觉损坏测试数据中都带来了显著的稳健提升。
现有的测试时领域适应(TTA)方法通常基于一些严格的测试数据假设,如稳定的类别分布、样本服从独立同分布采样以及固定的领域偏移。这些假设启发了许多研究者去探究真实世界中的测试数据流,如 CoTTA、NOTE、SAR 和 RoTTA 等。
最近,对真实世界的 TTA 研究,如 SAR(ICLR 2023)和 RoTTA(CVPR 2023)主要关注局部类别不平衡和连续的领域偏移对 TTA 带来的挑战。局部类别不平衡通常是由于测试数据并非独立同分布采样而产生的。直接不加区分的领域适应将导致有偏置的分布估计。
最近有研究提出了指数式更新批归一化统计量(RoTTA)或实例级判别更新批归一化统计量(NOTE)来解决这个挑战。其研究目标是超越局部类不平衡的挑战,考虑到测试数据的总体分布可能严重失衡,类的分布也可能随着时间的推移而变化。在下图 1 中可以看到更具挑战性的场景示意图。

随着时间的推移,领域转移在现实世界的测试数据中经常发生,例如照明 / 天气条件的逐渐变化。这给现有的 TTA 方法带来了另一个挑战,TTA 模型可能由于过度适应到领域 A 而当从领域 A 切换到领域 B 时出现矛盾。
为了缓解过度适应到某个短时领域,CoTTA 随机还原参数,EATA 用 fisher information 对参数进行正则化约束。尽管如此,这些方法仍然没有明确解决测试数据领域中层出不穷的挑战。
本文在两分支自训练架构的基础上引入了一个锚定网络(Anchor Network)组成三网络自训练模型(Tri-Net Self-Training)。锚定网络是一个冻结的源模型,但允许通过测试样本调整批归一化层中的统计量而非参数。并提出了一个锚定损失利用锚定网络的输出来正则化教师模型的输出以避免网络过度适应到局部分布中。
最终模型结合了三网络自训练模型和平衡的批归一化层(TRI-net self-training with BalancEd normalization, TRIBE)在较为宽泛的的可调节学习率的范围里表现出一致的优越性能。在四个数据集和多种真实世界数据流下显示了大幅性能提升,展示了独一档的稳定性和鲁棒性。
介绍真实世界下的 TTA 协议; 平衡的批归一化; 三网络自训练模型。




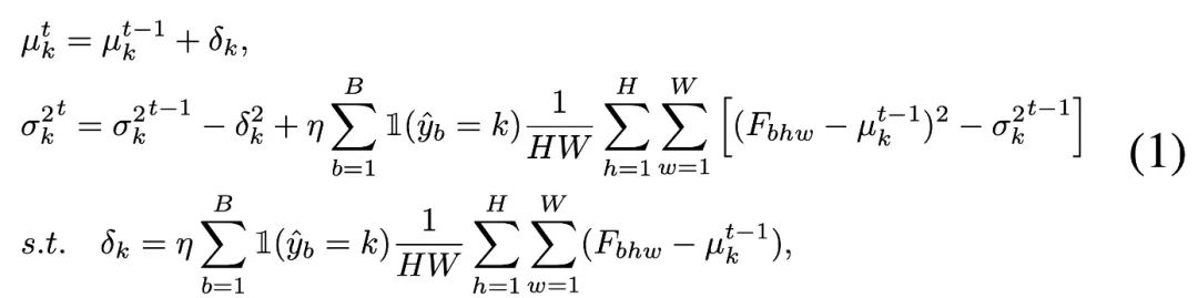
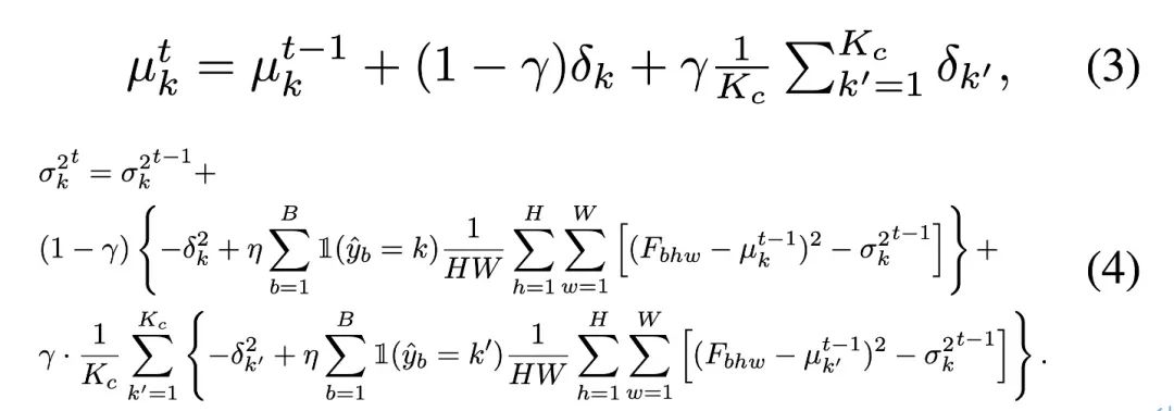
或伪标签准确率较低 (accuracy<0.5) 的情况下,以上的类别独立的更新策略效果没那么明显。因此,他们进一步用超参数 γ 来融合类别无关更新策略和类别独立更新策略,如下式:

下图展示了 TRIBE 网络的框架图:



今天带大家了解了的相关知识,希望对你有所帮助;关于科技周边的技术知识我们会一点点深入介绍,欢迎大家关注golang学习网公众号,一起学习编程~
医渡科技自主研发的医疗大模型在多个医疗任务场景中超过GPT的评测表现
- 上一篇
- 医渡科技自主研发的医疗大模型在多个医疗任务场景中超过GPT的评测表现
- 下一篇
- AI发展提速:首家A股龙头通过“国标”测试并涨停,获得机构认可
-
- 科技周边 · 人工智能 | 2分钟前 | Perplexity
- Perplexity如何自动生成引用文献?
- 365浏览 收藏
-
- 科技周边 · 人工智能 | 28分钟前 |
- 即梦AI团队协作申请及多人编辑开通方法
- 147浏览 收藏
-
- 科技周边 · 人工智能 | 31分钟前 |
- AIGC检测系统入口及知网查重链接
- 338浏览 收藏
-
- 科技周边 · 人工智能 | 43分钟前 |
- AI视频生成结合字幕工具实现内容自动化
- 372浏览 收藏
-
- 科技周边 · 人工智能 | 50分钟前 |
- AI绘画添加文字技巧详解
- 126浏览 收藏
-
- 科技周边 · 人工智能 | 1小时前 |
- Minimax大模型免费使用吗?每日额度详解
- 254浏览 收藏
-
- 科技周边 · 人工智能 | 1小时前 |
- 夸克AI搜索条件句用法教程
- 288浏览 收藏
-
- 科技周边 · 人工智能 | 1小时前 |
- 豆包AI编程技巧与代码教程详解
- 326浏览 收藏
-
- 科技周边 · 人工智能 | 1小时前 |
- Minimax视频生成物理模拟优化解析
- 185浏览 收藏
-
- 科技周边 · 人工智能 | 2小时前 |
- 阿里通义做年终总结PPT的技巧与方法
- 277浏览 收藏
-
- 科技周边 · 人工智能 | 2小时前 |
- Gemini辅助UI设计:从截图到布局分析实战教学
- 205浏览 收藏
-
- 科技周边 · 人工智能 | 2小时前 | Workbuddy
- WorkBuddy一键删除重复文件教程
- 385浏览 收藏
-
- 前端进阶之JavaScript设计模式
- 设计模式是开发人员在软件开发过程中面临一般问题时的解决方案,代表了最佳的实践。本课程的主打内容包括JS常见设计模式以及具体应用场景,打造一站式知识长龙服务,适合有JS基础的同学学习。
- 543次学习
-
- GO语言核心编程课程
- 本课程采用真实案例,全面具体可落地,从理论到实践,一步一步将GO核心编程技术、编程思想、底层实现融会贯通,使学习者贴近时代脉搏,做IT互联网时代的弄潮儿。
- 516次学习
-
- 简单聊聊mysql8与网络通信
- 如有问题加微信:Le-studyg;在课程中,我们将首先介绍MySQL8的新特性,包括性能优化、安全增强、新数据类型等,帮助学生快速熟悉MySQL8的最新功能。接着,我们将深入解析MySQL的网络通信机制,包括协议、连接管理、数据传输等,让
- 500次学习
-
- JavaScript正则表达式基础与实战
- 在任何一门编程语言中,正则表达式,都是一项重要的知识,它提供了高效的字符串匹配与捕获机制,可以极大的简化程序设计。
- 487次学习
-
- 从零制作响应式网站—Grid布局
- 本系列教程将展示从零制作一个假想的网络科技公司官网,分为导航,轮播,关于我们,成功案例,服务流程,团队介绍,数据部分,公司动态,底部信息等内容区块。网站整体采用CSSGrid布局,支持响应式,有流畅过渡和展现动画。
- 485次学习
-
- ChatExcel酷表
- ChatExcel酷表是由北京大学团队打造的Excel聊天机器人,用自然语言操控表格,简化数据处理,告别繁琐操作,提升工作效率!适用于学生、上班族及政府人员。
- 4245次使用
-
- Any绘本
- 探索Any绘本(anypicturebook.com/zh),一款开源免费的AI绘本创作工具,基于Google Gemini与Flux AI模型,让您轻松创作个性化绘本。适用于家庭、教育、创作等多种场景,零门槛,高自由度,技术透明,本地可控。
- 4604次使用
-
- 可赞AI
- 可赞AI,AI驱动的办公可视化智能工具,助您轻松实现文本与可视化元素高效转化。无论是智能文档生成、多格式文本解析,还是一键生成专业图表、脑图、知识卡片,可赞AI都能让信息处理更清晰高效。覆盖数据汇报、会议纪要、内容营销等全场景,大幅提升办公效率,降低专业门槛,是您提升工作效率的得力助手。
- 4488次使用
-
- 星月写作
- 星月写作是国内首款聚焦中文网络小说创作的AI辅助工具,解决网文作者从构思到变现的全流程痛点。AI扫榜、专属模板、全链路适配,助力新人快速上手,资深作者效率倍增。
- 6157次使用
-
- MagicLight
- MagicLight.ai是全球首款叙事驱动型AI动画视频创作平台,专注于解决从故事想法到完整动画的全流程痛点。它通过自研AI模型,保障角色、风格、场景高度一致性,让零动画经验者也能高效产出专业级叙事内容。广泛适用于独立创作者、动画工作室、教育机构及企业营销,助您轻松实现创意落地与商业化。
- 4860次使用
-
- GPT-4王者加冕!读图做题性能炸天,凭自己就能考上斯坦福
- 2023-04-25 501浏览
-
- 单块V100训练模型提速72倍!尤洋团队新成果获AAAI 2023杰出论文奖
- 2023-04-24 501浏览
-
- ChatGPT 真的会接管世界吗?
- 2023-04-13 501浏览
-
- VR的终极形态是「假眼」?Neuralink前联合创始人掏出新产品:科学之眼!
- 2023-04-30 501浏览
-
- 实现实时制造可视性优势有哪些?
- 2023-04-15 501浏览

