华科开创全监督性能,使用单帧标注视频学习片段特征,并在时序行为检测中取得新的SOTA成果
本篇文章给大家分享《华科开创全监督性能,使用单帧标注视频学习片段特征,并在时序行为检测中取得新的SOTA成果》,覆盖了科技周边的常见基础知识,其实一个语言的全部知识点一篇文章是不可能说完的,但希望通过这些问题,让读者对自己的掌握程度有一定的认识(B 数),从而弥补自己的不足,更好的掌握它。
如何从一段视频中找出感兴趣的片段?时序行为检测(Temporal Action Localization,TAL)是一种常用方法。
利用视频内容进行建模之后,就可以在整段视频当中自由搜索了。
而华中科技大学与密歇根大学的联合团队最近又为这项技术带来了新的进展——
过去TAL中的建模是片段甚至实例级的,而现在只要视频里的一帧就能实现,效果媲美全监督。

来自华中科技大学的团队提出了一种名为HR-Pro的新框架,用于点标注监督的时序行为检测。
通过多层级的reliability propagation,HR-Pro可以网络学习到更具辨别力的片段级特征和更可靠的实例级边界。
HR-Pro由两个可靠性感知的阶段组成,它能够有效地从片段级别和实例级别的点标注中传播高置信度的线索,从而使网络学习到更具区分性的片段表示和更可靠的提议。
在多个基准数据集上进行的实验表明,HR-Pro优于现有方法,结果最先进,证明了其有效性和点标注的潜力。
表现比肩全监督方式
下图展示了HR-Pro与LACP在THUMOS14测试视频上进行时序行为检测表现比较。
HR-Pro展现出更了准确的动作实例检测,具体来说:
- 对于“高尔夫挥杆”行为,HR-Pro有效地区分了行为和背景片段,减轻了LACP难以处理的False Positive预测;
- 对于铁饼投掷行为,HR-Pro检测到比LACP更完整的片段,后者在非区分性动作片段上具有较低的激活值。

数据集上的测试结果,也印证了这一直观感受。
将THUMOS14数据集上的检测结果可视化后可以观察到,在实例级别完整性学习之后,高质量预测和低质量预测之间的差异显著增大。
(左侧是实例级别完整性学习之前的结果,右侧是学习之后的结果。横轴和纵轴分别表示时间和可靠性分数。)

整体来看,在常用4个数据集中,HR-Pro的性能均大幅超越最先进的点监督方法,在THUMOS14数据集上的平均mAP达到60.3%,相较之前的SoTA方法(53.7%)的提升为6.5%,并且能与一些全监督方法达到相当的效果。
在THUMOS14测试集上与下表中的先前最先进方法相比,对于IoU阈值在0.1到0.7之间,HR-Pro的平均mAP为60.3%,比先前最先进方法CRRC-Net高6.5%。
并且HR-Pro能够与具有竞争力的全监督方法达到相当的表现,例如AFSD(对于IoU阈值在0.3到0.7之间,平均mAP为51.1% vs. 52.0%)。
△HR-Pro与前SOTA方法在THUMOS14数据集上的对比
在各种基准数据集上的通用性和优越性方面,HR-Pro也明显优于现有方法,在GTEA、BEOID和ActivityNet 1.3上分别取得了3.8%、7.6%和2.0%的提高。
△HR-Pro与前SOTA方法在GTEA等数据集上的对比
那么,HR-Pro具体是如何实现的呢?
学习分两阶段进行
研究团队提出了多层级可靠传播方法,在片段级引入可靠片段记忆模块并利用交叉注意力的方法向其他片段传播,在实例级提出基于点监督的提议生成来关联片段和实例,用于产生不同可靠度的proposals,进一步在实例级优化proposals的置信度和边界。
HR-Pro的模型结构如下图所示:时序行为检测被划分为两阶段的学习过程,即片段级别的判别性学习和实例级别的完整性学习。

阶段一:片段级判别学习
研究团队引入可靠性感知的片段级判别学习,提出为每个类别存储可靠原型,并通过视频内和视频间的方式将这些原型中的高置信度线索传播到其他片段。
片段级可靠原型构建
为了构建片段级别的可靠原型,团队创建了一个在线更新的原型memory,用于存储各类行为的可靠原型mc(其中 c = 1, 2, …, C),以便能够利用整个数据集的特征信息。
研究团队选择了具有点标注的片段特征初始化原型:

接下来,研究人员使用伪标记的行为片段特征来更新每个类别的原型,具体表述如下:

片段级可靠性感知优化
为了将片段级可靠原型的特征信息传递到其他片段,研究团队设计了一个Reliabilty-aware Attention Block(RAB),通过交叉注意力的方式实现了将原型中的可靠信息注入到其他的片段中,从而增强片段特征的鲁棒性,并增加对较不具有判别力片段的关注。

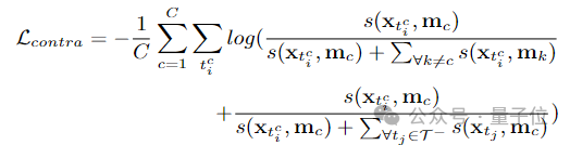
为了学习到更加具有判别里的片段特征,团队还构建了可靠性感知的片段对比损失:

阶段二:实例级完整性学习
为了充分探索实例级别行为的时序结构并优化提议的得分排名,团队引入了实例级别的动作完整性学习。
这种方法旨在通过可靠的实例原型的指导,通过实例级别的特征学习来精化提议的置信度得分和边界。
实例级可靠原型构建
为了在训练过程中利用点标注的实例级别先验信息,团队提出了一种基于点标注的提议生成方法用于生成不同Reliability的proposals。
根据其可靠性分数和相对点标注的时序位置,这些提议可以分为两种类型:
- 可靠提议(Reliable Proposals, RP):对于每个类别中的每个点,提议包含了这个点,并具有最高的可靠性;
- 正样本提议(Positive Proposals, PP):所有其余的候选提议。
为确保正样本和负样本数量平衡,研究团队将那些具有类别无关的注意力分数低于预定义值的片段分组为负样本提议(Negative Proposals, NP)。
实例级可靠性感知优化
为了预测每个提议的完整性分数,研究团队将敏感边界的提议特征输入至得分预测头φs:

然后用正/负样本提议与可靠提议的IoU作为指导,监督提议的完整性分数预测:

为了获得更准确边界的行为proposal,研究者将每个PP中的proposal的起始区域特征和结束区域特征输入到回归预测头φr中,以预测proposal开始和结束时间的偏移量。
进一步计算得到精细化的proposals,并希望精细化后的proposals与可靠proposal重合。



总之,HR-Pro只需很少的标注就能很好的效果大幅度降低了获取标签的成本,同时又拥有较强的泛化能力,为实际部署应用提供了有利条件。
据此,作者预计,HR-Pro将在行为分析、人机交互、驾驶分析等领域拥有广阔的应用前景。
论文地址:https://arxiv.org/abs/2308.12608
本篇关于《华科开创全监督性能,使用单帧标注视频学习片段特征,并在时序行为检测中取得新的SOTA成果》的介绍就到此结束啦,但是学无止境,想要了解学习更多关于科技周边的相关知识,请关注golang学习网公众号!
教你如何彻底更改win101909系统的用户名配置文件
- 上一篇
- 教你如何彻底更改win101909系统的用户名配置文件
- 下一篇
- 全能家具家电模型系统:成为家居专家无需教导的第一步
-
- 科技周边 · 人工智能 | 14分钟前 |
- AI一键生成节日祝福语教程
- 125浏览 收藏
-
- 科技周边 · 人工智能 | 15分钟前 |
- Figma AI逻辑断层怎么修?手动补全交互节点教程
- 237浏览 收藏
-
- 科技周边 · 人工智能 | 33分钟前 |
- 如何在Perplexity中按时间排序搜索结果
- 141浏览 收藏
-
- 科技周边 · 人工智能 | 41分钟前 | MuleRun
- MuleRun自动生成代码方法详解
- 310浏览 收藏
-
- 科技周边 · 人工智能 | 42分钟前 |
- Figma图层重命名技巧:AI助力CSS类名优化
- 277浏览 收藏
-
- 科技周边 · 人工智能 | 42分钟前 |
- AI制作流程图教程,零基础也能轻松上手
- 270浏览 收藏
-
- 科技周边 · 人工智能 | 57分钟前 |
- Clawdbot新闻应用:事实核查与信息验证
- 124浏览 收藏
-
- 科技周边 · 人工智能 | 1小时前 | Hermes Agent HermesAgent
- Hermes Agent如何高效管理复杂流程
- 440浏览 收藏
-
- 科技周边 · 人工智能 | 1小时前 |
- lovemo油画风格生成教程及切换技巧
- 173浏览 收藏
-
- 科技周边 · 人工智能 | 1小时前 |
- Minimax生成高清视频参数设置技巧
- 217浏览 收藏
-
- 科技周边 · 人工智能 | 1小时前 |
- SDLamaCleaner线稿处理教程:轻松上色技巧
- 298浏览 收藏
-
- 科技周边 · 人工智能 | 1小时前 | 火山方舟
- 方舟CodingPlan限流配置与退避策略
- 208浏览 收藏
-
- 前端进阶之JavaScript设计模式
- 设计模式是开发人员在软件开发过程中面临一般问题时的解决方案,代表了最佳的实践。本课程的主打内容包括JS常见设计模式以及具体应用场景,打造一站式知识长龙服务,适合有JS基础的同学学习。
- 543次学习
-
- GO语言核心编程课程
- 本课程采用真实案例,全面具体可落地,从理论到实践,一步一步将GO核心编程技术、编程思想、底层实现融会贯通,使学习者贴近时代脉搏,做IT互联网时代的弄潮儿。
- 516次学习
-
- 简单聊聊mysql8与网络通信
- 如有问题加微信:Le-studyg;在课程中,我们将首先介绍MySQL8的新特性,包括性能优化、安全增强、新数据类型等,帮助学生快速熟悉MySQL8的最新功能。接着,我们将深入解析MySQL的网络通信机制,包括协议、连接管理、数据传输等,让
- 500次学习
-
- JavaScript正则表达式基础与实战
- 在任何一门编程语言中,正则表达式,都是一项重要的知识,它提供了高效的字符串匹配与捕获机制,可以极大的简化程序设计。
- 487次学习
-
- 从零制作响应式网站—Grid布局
- 本系列教程将展示从零制作一个假想的网络科技公司官网,分为导航,轮播,关于我们,成功案例,服务流程,团队介绍,数据部分,公司动态,底部信息等内容区块。网站整体采用CSSGrid布局,支持响应式,有流畅过渡和展现动画。
- 485次学习
-
- ChatExcel酷表
- ChatExcel酷表是由北京大学团队打造的Excel聊天机器人,用自然语言操控表格,简化数据处理,告别繁琐操作,提升工作效率!适用于学生、上班族及政府人员。
- 4524次使用
-
- Any绘本
- 探索Any绘本(anypicturebook.com/zh),一款开源免费的AI绘本创作工具,基于Google Gemini与Flux AI模型,让您轻松创作个性化绘本。适用于家庭、教育、创作等多种场景,零门槛,高自由度,技术透明,本地可控。
- 4875次使用
-
- 可赞AI
- 可赞AI,AI驱动的办公可视化智能工具,助您轻松实现文本与可视化元素高效转化。无论是智能文档生成、多格式文本解析,还是一键生成专业图表、脑图、知识卡片,可赞AI都能让信息处理更清晰高效。覆盖数据汇报、会议纪要、内容营销等全场景,大幅提升办公效率,降低专业门槛,是您提升工作效率的得力助手。
- 4748次使用
-
- 星月写作
- 星月写作是国内首款聚焦中文网络小说创作的AI辅助工具,解决网文作者从构思到变现的全流程痛点。AI扫榜、专属模板、全链路适配,助力新人快速上手,资深作者效率倍增。
- 6618次使用
-
- MagicLight
- MagicLight.ai是全球首款叙事驱动型AI动画视频创作平台,专注于解决从故事想法到完整动画的全流程痛点。它通过自研AI模型,保障角色、风格、场景高度一致性,让零动画经验者也能高效产出专业级叙事内容。广泛适用于独立创作者、动画工作室、教育机构及企业营销,助您轻松实现创意落地与商业化。
- 5112次使用
-
- GPT-4王者加冕!读图做题性能炸天,凭自己就能考上斯坦福
- 2023-04-25 501浏览
-
- 单块V100训练模型提速72倍!尤洋团队新成果获AAAI 2023杰出论文奖
- 2023-04-24 501浏览
-
- ChatGPT 真的会接管世界吗?
- 2023-04-13 501浏览
-
- VR的终极形态是「假眼」?Neuralink前联合创始人掏出新产品:科学之眼!
- 2023-04-30 501浏览
-
- 实现实时制造可视性优势有哪些?
- 2023-04-15 501浏览



