你没有看过的全新版本,Transformer数学原理揭秘
来源:机器之心
2024-01-13 21:07:47
0浏览
收藏
本篇文章给大家分享《你没有看过的全新版本,Transformer数学原理揭秘》,覆盖了科技周边的常见基础知识,其实一个语言的全部知识点一篇文章是不可能说完的,但希望通过这些问题,让读者对自己的掌握程度有一定的认识(B 数),从而弥补自己的不足,更好的掌握它。
近日,arxiv 上发布了一篇论文,对 Transformer 的数学原理进行全新解读,内容很长,知识很多,十二分建议阅读原文。

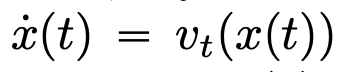
在时间间隔 (0,T) 上会按照给定的时变速度场
进行演化。因此,DNN 可以看作是从一个
到另一个
的流映射(Flow Map)
。即使在经典 DNN 架构限制下的速度场
中,流映射之间也具有很强的相似性。
上的流映射,即 d 维概率测度空间(the space of probability measures)间的映射。为了实现这种在度量空间间进行转换的流映射,Transformers 需要建立了一个平均场相互作用的粒子系统(mean-field interacting particle system.)。


的空间内部,而自注意力机制则是通过经验度量实现粒子之间的非线性耦合。反过来,经验度量根据连续性偏微分方程进行演化。本文还为自注意引入了一个更简单好用的替代模型,一个能量函数的 Wasserstein 梯度流,而能量函数在球面上点的最优配置已经有成熟的研究方法。
时聚成一个点。研究者对粒子集群收缩率的精确描述对这一结果进行了补充说明。具体来说,研究者绘制了所有粒子间距离的直方图,以及所有粒子快要完成聚类的时间点(见原文第 4 节)。研究者还在不假设维数 d 较大的情况下就得到了聚类结果(见原文第 5 节)。终于介绍完啦!小伙伴们,这篇关于《你没有看过的全新版本,Transformer数学原理揭秘》的介绍应该让你收获多多了吧!欢迎大家收藏或分享给更多需要学习的朋友吧~golang学习网公众号也会发布科技周边相关知识,快来关注吧!
版本声明
本文转载于:机器之心 如有侵犯,请联系study_golang@163.com删除
win8启动慢怎么回事
- 上一篇
- win8启动慢怎么回事
- 下一篇
- win7无线功能怎么开启
查看更多
最新文章
-
- 科技周边 · 人工智能 | 36分钟前 |
- Figma快速实现BEM命名规范,AI脚本自动重命名
- 407浏览 收藏
-
- 科技周边 · 人工智能 | 40分钟前 | Hermes Agent HermesAgent
- Hermes Agent如何调用搜索功能
- 422浏览 收藏
-
- 科技周边 · 人工智能 | 45分钟前 | 雾象Fogsight
- 雾象Fogsight权限设置教程【配置】
- 205浏览 收藏
-
- 科技周边 · 人工智能 | 1小时前 |
- AI绘画软件推荐:Midjourney入门教程大全
- 258浏览 收藏
-
- 科技周边 · 人工智能 | 1小时前 | CodeGeeX
- CodeGeeX最新版官网入口链接
- 458浏览 收藏
-
- 科技周边 · 人工智能 | 1小时前 |
- Perplexity绑卡地址验证失败解决方法
- 365浏览 收藏
-
- 科技周边 · 人工智能 | 1小时前 |
- Capybara开发者文档详解与官方指南
- 462浏览 收藏
-
- 科技周边 · 人工智能 | 1小时前 | 豆包AI 豆包AI助手
- 豆包AI接口收费详解及价格指南
- 447浏览 收藏
-
- 科技周边 · 人工智能 | 1小时前 |
- 豆包API收费吗\_调用配额与计费详解
- 271浏览 收藏
-
- 科技周边 · 人工智能 | 1小时前 | CanvaAI Canva可画
- Canva可画手机设计秒开入口分享
- 316浏览 收藏
-
- 科技周边 · 人工智能 | 1小时前 |
- Capybara开源模型下载与使用教程
- 317浏览 收藏
-
- 科技周边 · 人工智能 | 1小时前 |
- Figma UI3对齐按钮在哪找?
- 300浏览 收藏
查看更多
课程推荐
-
- 前端进阶之JavaScript设计模式
- 设计模式是开发人员在软件开发过程中面临一般问题时的解决方案,代表了最佳的实践。本课程的主打内容包括JS常见设计模式以及具体应用场景,打造一站式知识长龙服务,适合有JS基础的同学学习。
- 543次学习
-
- GO语言核心编程课程
- 本课程采用真实案例,全面具体可落地,从理论到实践,一步一步将GO核心编程技术、编程思想、底层实现融会贯通,使学习者贴近时代脉搏,做IT互联网时代的弄潮儿。
- 516次学习
-
- 简单聊聊mysql8与网络通信
- 如有问题加微信:Le-studyg;在课程中,我们将首先介绍MySQL8的新特性,包括性能优化、安全增强、新数据类型等,帮助学生快速熟悉MySQL8的最新功能。接着,我们将深入解析MySQL的网络通信机制,包括协议、连接管理、数据传输等,让
- 500次学习
-
- JavaScript正则表达式基础与实战
- 在任何一门编程语言中,正则表达式,都是一项重要的知识,它提供了高效的字符串匹配与捕获机制,可以极大的简化程序设计。
- 487次学习
-
- 从零制作响应式网站—Grid布局
- 本系列教程将展示从零制作一个假想的网络科技公司官网,分为导航,轮播,关于我们,成功案例,服务流程,团队介绍,数据部分,公司动态,底部信息等内容区块。网站整体采用CSSGrid布局,支持响应式,有流畅过渡和展现动画。
- 485次学习
查看更多
AI推荐
-
- ChatExcel酷表
- ChatExcel酷表是由北京大学团队打造的Excel聊天机器人,用自然语言操控表格,简化数据处理,告别繁琐操作,提升工作效率!适用于学生、上班族及政府人员。
- 4520次使用
-
- Any绘本
- 探索Any绘本(anypicturebook.com/zh),一款开源免费的AI绘本创作工具,基于Google Gemini与Flux AI模型,让您轻松创作个性化绘本。适用于家庭、教育、创作等多种场景,零门槛,高自由度,技术透明,本地可控。
- 4874次使用
-
- 可赞AI
- 可赞AI,AI驱动的办公可视化智能工具,助您轻松实现文本与可视化元素高效转化。无论是智能文档生成、多格式文本解析,还是一键生成专业图表、脑图、知识卡片,可赞AI都能让信息处理更清晰高效。覆盖数据汇报、会议纪要、内容营销等全场景,大幅提升办公效率,降低专业门槛,是您提升工作效率的得力助手。
- 4746次使用
-
- 星月写作
- 星月写作是国内首款聚焦中文网络小说创作的AI辅助工具,解决网文作者从构思到变现的全流程痛点。AI扫榜、专属模板、全链路适配,助力新人快速上手,资深作者效率倍增。
- 6610次使用
-
- MagicLight
- MagicLight.ai是全球首款叙事驱动型AI动画视频创作平台,专注于解决从故事想法到完整动画的全流程痛点。它通过自研AI模型,保障角色、风格、场景高度一致性,让零动画经验者也能高效产出专业级叙事内容。广泛适用于独立创作者、动画工作室、教育机构及企业营销,助您轻松实现创意落地与商业化。
- 5109次使用
查看更多
相关文章
-
- GPT-4王者加冕!读图做题性能炸天,凭自己就能考上斯坦福
- 2023-04-25 501浏览
-
- 单块V100训练模型提速72倍!尤洋团队新成果获AAAI 2023杰出论文奖
- 2023-04-24 501浏览
-
- ChatGPT 真的会接管世界吗?
- 2023-04-13 501浏览
-
- VR的终极形态是「假眼」?Neuralink前联合创始人掏出新产品:科学之眼!
- 2023-04-30 501浏览
-
- 实现实时制造可视性优势有哪些?
- 2023-04-15 501浏览

