轻松生成3D视频,仅需一张图片和一句动作指令,Animate124即可实现
来源:机器之心
2024-02-06 14:37:05
0浏览
收藏
“纵有疾风来,人生不言弃”,这句话送给正在学习科技周边的朋友们,也希望在阅读本文《轻松生成3D视频,仅需一张图片和一句动作指令,Animate124即可实现》后,能够真的帮助到大家。我也会在后续的文章中,陆续更新科技周边相关的技术文章,有好的建议欢迎大家在评论留言,非常感谢!
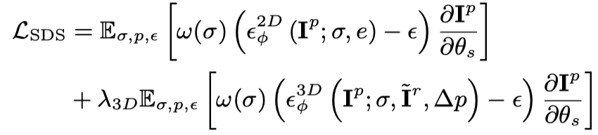
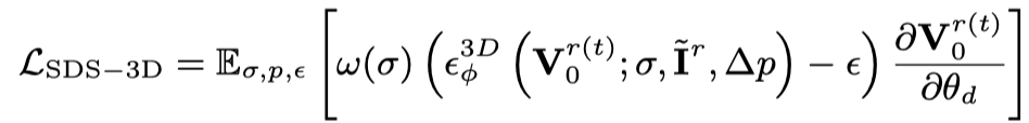
Animate124,轻松将单张图片变成 3D 视频。

项目主页: https://animate124.github.io/ 论文地址: https://arxiv.org/abs/2311.14603 Code: https://github.com/HeliosZhao/Animate124













今天关于《轻松生成3D视频,仅需一张图片和一句动作指令,Animate124即可实现》的内容介绍就到此结束,如果有什么疑问或者建议,可以在golang学习网公众号下多多回复交流;文中若有不正之处,也希望回复留言以告知!
版本声明
本文转载于:机器之心 如有侵犯,请联系study_golang@163.com删除
win10设备管理器缺乏生物认证功能
- 上一篇
- win10设备管理器缺乏生物认证功能
- 下一篇
- 如何纠正Win11天气预报的定位错误
查看更多
最新文章
-
- 科技周边 · 人工智能 | 5小时前 |
- AIOverviews质量监控与数据校验设置
- 353浏览 收藏
-
- 科技周边 · 人工智能 | 5小时前 | CodeGeeX
- CodeGeeX实现TTL缓存自动过期功能
- 496浏览 收藏
-
- 科技周边 · 人工智能 | 5小时前 |
- DeepSeek财报分析技巧,金融人必学AI技能
- 439浏览 收藏
-
- 科技周边 · 人工智能 | 5小时前 |
- Mulerun合唱生成方法及多人设置教程
- 358浏览 收藏
-
- 科技周边 · 人工智能 | 5小时前 |
- AI卡皮巴拉代码解释怎么用?
- 265浏览 收藏
-
- 科技周边 · 人工智能 | 6小时前 |
- 赋予AI灵魂:角色设定技巧全解析
- 271浏览 收藏
-
- 科技周边 · 人工智能 | 6小时前 |
- 取消豆包AI自动续费步骤详解
- 268浏览 收藏
-
- 科技周边 · 人工智能 | 6小时前 |
- 豆包AI写作技巧与文章优化方法
- 112浏览 收藏
-
- 科技周边 · 人工智能 | 6小时前 |
- Deepseek与Kapwing,轻松剪辑创意视频
- 467浏览 收藏
-
- 科技周边 · 人工智能 | 6小时前 |
- DeepSeekV4多模态升级来袭
- 249浏览 收藏
-
- 科技周边 · 人工智能 | 6小时前 | 人工智能工具
- WordTune优化长句步骤全解析
- 102浏览 收藏
-
- 科技周边 · 人工智能 | 6小时前 |
- AI画笔工具使用教程与笔刷制作指南
- 179浏览 收藏
查看更多
课程推荐
-
- 前端进阶之JavaScript设计模式
- 设计模式是开发人员在软件开发过程中面临一般问题时的解决方案,代表了最佳的实践。本课程的主打内容包括JS常见设计模式以及具体应用场景,打造一站式知识长龙服务,适合有JS基础的同学学习。
- 543次学习
-
- GO语言核心编程课程
- 本课程采用真实案例,全面具体可落地,从理论到实践,一步一步将GO核心编程技术、编程思想、底层实现融会贯通,使学习者贴近时代脉搏,做IT互联网时代的弄潮儿。
- 516次学习
-
- 简单聊聊mysql8与网络通信
- 如有问题加微信:Le-studyg;在课程中,我们将首先介绍MySQL8的新特性,包括性能优化、安全增强、新数据类型等,帮助学生快速熟悉MySQL8的最新功能。接着,我们将深入解析MySQL的网络通信机制,包括协议、连接管理、数据传输等,让
- 500次学习
-
- JavaScript正则表达式基础与实战
- 在任何一门编程语言中,正则表达式,都是一项重要的知识,它提供了高效的字符串匹配与捕获机制,可以极大的简化程序设计。
- 487次学习
-
- 从零制作响应式网站—Grid布局
- 本系列教程将展示从零制作一个假想的网络科技公司官网,分为导航,轮播,关于我们,成功案例,服务流程,团队介绍,数据部分,公司动态,底部信息等内容区块。网站整体采用CSSGrid布局,支持响应式,有流畅过渡和展现动画。
- 485次学习
查看更多
AI推荐
-
- ChatExcel酷表
- ChatExcel酷表是由北京大学团队打造的Excel聊天机器人,用自然语言操控表格,简化数据处理,告别繁琐操作,提升工作效率!适用于学生、上班族及政府人员。
- 4281次使用
-
- Any绘本
- 探索Any绘本(anypicturebook.com/zh),一款开源免费的AI绘本创作工具,基于Google Gemini与Flux AI模型,让您轻松创作个性化绘本。适用于家庭、教育、创作等多种场景,零门槛,高自由度,技术透明,本地可控。
- 4639次使用
-
- 可赞AI
- 可赞AI,AI驱动的办公可视化智能工具,助您轻松实现文本与可视化元素高效转化。无论是智能文档生成、多格式文本解析,还是一键生成专业图表、脑图、知识卡片,可赞AI都能让信息处理更清晰高效。覆盖数据汇报、会议纪要、内容营销等全场景,大幅提升办公效率,降低专业门槛,是您提升工作效率的得力助手。
- 4516次使用
-
- 星月写作
- 星月写作是国内首款聚焦中文网络小说创作的AI辅助工具,解决网文作者从构思到变现的全流程痛点。AI扫榜、专属模板、全链路适配,助力新人快速上手,资深作者效率倍增。
- 6239次使用
-
- MagicLight
- MagicLight.ai是全球首款叙事驱动型AI动画视频创作平台,专注于解决从故事想法到完整动画的全流程痛点。它通过自研AI模型,保障角色、风格、场景高度一致性,让零动画经验者也能高效产出专业级叙事内容。广泛适用于独立创作者、动画工作室、教育机构及企业营销,助您轻松实现创意落地与商业化。
- 4895次使用
查看更多
相关文章
-
- GPT-4王者加冕!读图做题性能炸天,凭自己就能考上斯坦福
- 2023-04-25 501浏览
-
- 单块V100训练模型提速72倍!尤洋团队新成果获AAAI 2023杰出论文奖
- 2023-04-24 501浏览
-
- ChatGPT 真的会接管世界吗?
- 2023-04-13 501浏览
-
- VR的终极形态是「假眼」?Neuralink前联合创始人掏出新产品:科学之眼!
- 2023-04-30 501浏览
-
- 实现实时制造可视性优势有哪些?
- 2023-04-15 501浏览

