中科大开发的「状态序列频域预测」方法,使得样本表征学习效率最大化,性能增长20%
目前golang学习网上已经有很多关于科技周边的文章了,自己在初次阅读这些文章中,也见识到了很多学习思路;那么本文《中科大开发的「状态序列频域预测」方法,使得样本表征学习效率最大化,性能增长20%》,也希望能帮助到大家,如果阅读完后真的对你学习科技周边有帮助,欢迎动动手指,评论留言并分享~
强化学习算法(Reinforcement Learning, RL)的训练过程通常需要大量的与环境互动的样本数据来支持。然而,在现实世界中,收集大量交互样本往往非常昂贵,或者无法确保采样过程的安全性,例如无人机空战训练和自动驾驶训练。这个问题限制了强化学习在许多实际应用中的应用范围。因此,研究人员一直在努力探索如何在样本效率和安全性之间取得平衡,以解决这个问题。一种可能的解决方法是使用模拟器或虚拟环境来生成大量的样本数据,从而避免了实际世界中的成本和安全风险。另外,还有
为了提高强化学习算法在训练过程中的样本效率,一些研究者利用表征学习技术设计了预测未来状态信号的辅助任务。通过这种方式,算法可以从原始的环境状态中提取与未来决策相关的特征进行编码。这种方法的目的是通过学习有关环境的更多信息,提供更好的决策依据,从而改善强化学习算法的性能。这样一来,算法在训练过程中可以更高效地利用样本数据,加速学习过程,提高决策的准确性和效率。
基于这个思路,该工作设计了一种预测未来多步的状态序列频域分布的辅助任务,以捕获更长远的未来决策特征,进而提升算法的样本效率。
该工作标题为State Sequences Prediction via Fourier Transform for Representation Learning,发表于NeurIPS 2023,并被接收为Spotlight。

作者列表:叶鸣轩,匡宇飞,王杰*,杨睿,周文罡,李厚强,吴枫
论文链接:https://openreview.net/forum?id=MvoMDD6emT
代码链接:https://github.com/MIRALab-USTC/RL-SPF/
研究背景与动机
深度强化学习算法在机器人控制[1]、游戏智能[2]、组合优化[3]等领域取得了巨大的成功。但是,当前的强化学习算法仍存在「样本效率低下」的问题,即机器人需要大量与环境交互的数据才能训得性能优异的策略。
为了提高样本效率,研究人员开始关注表征学习,希望通过训练得到的表征能够从环境的原始状态中提取出丰富而有用的特征信息,从而提高机器人在状态空间中的探索效率。

基于表征学习的强化学习算法框架
在序列决策任务中,「长期的序列信号」相对于单步信号包含更多有利于长期决策的未来信息。启发于这一观点,一些研究者提出通过预测未来多步的状态序列信号来辅助表征学习[4,5]。然而,直接预测状态序列来辅助表征学习是非常困难的。
现有的两类方法中,一类方法通过学习单步概率转移模型来逐步地产生单个时刻的未来状态,以间接预测多步的状态序列[6,7]。但是,这类方法对所训得的概率转移模型的精度要求很高,因为每步的预测误差会随预测序列长度的增加而积累。
另一类方法通过直接预测未来多步的状态序列来辅助表征学习[8],但这类方法需要存储多步的真实状态序列作为预测任务的标签,所耗存储量大。因此,如何有效从环境的状态序列中提取有利于长期决策的未来信息,进而提升连续控制机器人训练时的样本效率是需要解决的问题。
为了解决上述问题,我们提出了一种基于状态序列频域预测的表征学习方法(State Sequences Prediction via Fourier Transform, SPF),其思想是利用「状态序列的频域分布」来显式提取状态序列数据中的趋势性和规律性信息,从而辅助表征高效地提取到长期未来信息。
状态序列中的结构性信息分析
我们从理论上证明了状态序列存在「两种结构性信息」,一是与策略性能相关的趋势性信息,二是与状态周期性相关的规律性信息。
马尔科夫决策过程
在具体分析两种结构性信息之前,我们先介绍产生状态序列的马尔科夫决策过程(Markov Decision Processes,MDP)的相关定义。
我们考虑连续控制问题中的经典马尔可夫决策过程,该过程可用五元组 表示。其中, 为相应的状态、动作空间, 为奖励函数, 为环境的状态转移函数, 为状态的初始分布, 为折扣因子。此外,我们用 表示策略在状态 下的动作分布。
我们将 时刻下智能体所处的状态记为 ,所选择的动作记为 .智能体做出动作后,环境转移到下一时刻状态 并反馈给智能体奖励 。我们将智能体与环境交互过程中所得到状态、动作对应的轨迹记为 ,轨迹服从分布 。
强化学习算法的目标是最大化未来预期的累积回报,我们用 表示当前策略 和 环境模型 下的平均累积回报,并简写为 ,定义如下:
显示了当前策略 的性能表现。
趋势性信息
下面我们介绍状态序列的「第一种结构性特征」,其涉及状态序列和对应奖励序列之间的依赖关系,能显示出当前策略的性能趋势。

在强化学习任务中,未来的状态序列很大程度上决定了智能体未来采取的动作序列,并进一步决定了相应的奖励序列。因此,未来的状态序列不仅包含环境固有的概率转移函数的信息,也能辅助表征捕获反映当前策略的走向趋势。
启发于上述结构,我们证明了以下定理,进一步论证了这一结构性依赖关系的存在:
定理一:若奖励函数只与状态有关,那么对于任意两个策略 和 ,他们的性能差异可以被这两个策略所产生的状态序列分布差异所控制:
上述公式中, 表示在指定策略和转移概率函数条件下状态序列的概率分布, 表示 范数。
上述定理表明,两个策略的性能差异越大,其对应的两个状态序列的分布差异也越大。这意味着好策略和坏策略会产生出两个差异较大的状态序列,这进一步说明状态序列所包含的长期结构性信息能潜在影响搜索性能优异的策略的效率。
另一方面,在一定条件下,状态序列的频域分布差异也能为对应的策略性能差异提供上界,具体如以下定理所示:
定理二:若状态空间有限维且奖励函数是与状态有关的n次多项式,那么对于任意两个策略 和 ,他们的性能差异可以被这两个策略所产生的状态序列的频域分布差异所控制:
上述公式中, 表示由策略 所产生的状态序列的 次方序列的傅里叶函数, 表示傅里叶函数的第 个分量。
这一定理表明状态序列的频域分布仍包含与当前策略性能相关的特征。
规律性信息
下面我们介绍状态序列中存在的「第二种结构性特征」,其涉及到状态信号之间的时间依赖性,即一段较长时期内状态序列所表现出的规律性模式。
在许多的真实场景任务中,智能体也会表现出周期性行为,因为其环境的状态转移函数本身就是具有周期性的。以工业装配机器人为例,该机器人的训练目标是将零件组装在一起以创造最终产品,当策略训练达到稳定时,它就会执行一个周期性的动作序列,使其能够有效地将零件组装在一起。
启发于上面的例子,我们提供了一些理论分析,证明了有限状态空间中,当转移概率矩阵满足某些假设,对应的状态序列在智能体达到稳定策略时可能表现出「渐近周期性」,具体定理如下:
定理三:对于状态转移矩阵为 的有限维状态空间 ,假设 有 个循环类,对应的状态转移子矩阵为 。设这 个矩阵模为1的特征值个数为 ,则对于任意状态的初始分布 ,状态分布 呈现出周期为 的渐进周期性。
在MuJoCo任务中,策略训练达到稳定时,智能体也会表现出周期性的运动。下图中给出了MuJoCo任务中HalfCheetah智能体在一段时间内的状态序列示例,可以观察到明显的周期性。(更多MuJoCo任务中带周期性的状态序列示例可参考本论文附录第E节)

MuJoCo任务中HalfCheetah智能体在一段时间内状态所表现出的周期性
时间序列在时域中呈现的信息相对分散,但在频域中,序列中的规律性信息以更加集中的形式呈现。通过分析频域中的频率分量,我们能显式地捕获到状态序列中存在的周期性特征。
方法介绍
上一部分中,我们从理论上证明状态序列的频域分布能反映策略性能的好坏,并且通过在频域上分析频率分量我们能显式捕获到状态序列中的周期性特征。
启发于上述分析,我们设计了「预测无穷步未来状态序列傅里叶变换」的辅助任务来鼓励表征提取状态序列中的结构性信息。
SPF方法损失函数
下面介绍我们关于该辅助任务的建模。给定当前状态 和动作 ,我们定义未来的状态序列期望如下:

我们的辅助任务训练表征去预测上述状态序列期望的离散时间傅里叶变换(discrete-time Fourier transform, DTFT),即

上述傅里叶变换公式可改写为如下的递归形式:

其中,


其中, 为状态空间的维度, 为所预测的状态序列傅里叶函数的离散化点的个数。
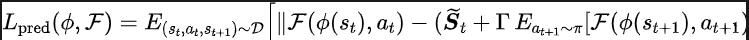
启发于Q-learning中优化Q值网络的TD-error损失函数[9],我们设计了如下的损失函数:

其中, 和 分别为损失函数要优化的表征编码器(encoder)和傅里叶函数预测器(predictor)的神经网络参数, 为存储样本数据的经验池。
进一步地,我们可以证明上述的递归公式可以表示为一个压缩映射:
定理四:令 表示函数族 ,并定义 上的范数为:

其中 表示矩阵 的第 行向量。我们定义映射 为

则可以证明 为一个压缩映射。
根据压缩映射原理,我们可以迭代地使用算子 ,使得 逼近真实状态序列的频域分布,且在表格型情况(tabular setting)下有收敛性保证。
此外,我们所设计的损失函数只依赖于当前时刻与下一时刻的状态,所以无需存储未来多步的状态数据作为预测标签,具有「实施简单且存储量低」的优点。
SPF方法算法框架
下面我们介绍本论文方法(SPF)的算法框架。
基于状态序列频域预测的表征学习方法(SPF)的算法框架图
我们将当前时刻和下一时刻的状态-动作数据分别输入到在线(online)和目标(target)表征编码器(encoder)中,得到状态-动作表征数据,然后将该表征数据输入到傅里叶函数预测器(predictor)得到当前时刻和下一时刻下的两组状态序列傅里叶函数预测值。通过代入这两组傅里叶函数预测值,我们能计算出损失函数值。
我们通过最小化损失函数来优化更新表征编码器 和傅里叶函数预测器 ,使预测器的输出能逼近真实状态序列的傅里叶变换,从而鼓励表征编码器提取出包含未来长期状态序列的结构性信息的特征。
我们将原始状态和动作输入到表征编码器中,将得到的特征作为强化学习算法中actor网络和critic网络的输入,并用经典强化学习算法优化actor网络和critic网络。
实验结果
(注:本节仅选取部分实验结果,更详细的结果请参考论文原文第6节及附录。)
算法性能比较
我们将 SPF 方法在 MuJoCo 仿真机器人控制环境上测试,对如下 6 种方法进行对比:
- SAC:基于Q值学习的soft actor-critic算法[10],一种传统的RL算法;
- PPO:基于策略优化的proximal policy optimization算法[11],一种传统RL算法;
- SAC-OFE:利用预测单步未来状态的辅助任务进行表征学习,以优化SAC算法;
- PPO-OFE:利用预测单步未来状态的辅助任务进行表征学习,以优化PPO算法;
- SAC-SPF:利用预测无穷步状态序列的频域函数的辅助任务进行表征学习(我们的方法),以优化SAC算法;
- PPO-SPF:利用预测无穷步状态序列的频域函数的辅助任务进行表征学习(我们的方法),以优化PPO算法;

基于6种MuJoCo任务的对比实验结果
上图显示了在 6 种 MuJoCo 任务中,我们所提出的SPF方法(红线及橙线)与其他对比方法的性能曲线。结果显示,我们所提出的方法相比于其他方法能获得19.5%的性能提升。
消融实验
我们对 SPF 方法的各个模块进行了消融实验,将本方法与不使用投影器模块(noproj)、不使用目标网络模块(notarg)、改变预测损失(nofreqloss)、改变特征编码器网络结构(mlp,mlp_cat)时的性能表现做比较。

SPF方法应用于SAC算法的消融实验结果图,测试于HalfCheetah任务
可视化实验
我们使用 SPF 方法所训练好的预测器输出状态序列的傅里叶函数,并通过逆傅里叶变换恢复出的200步状态序列,与真实的200步状态序列进行对比。
基于傅里叶函数预测值恢复出的状态序列示意图,测试于Walker2d任务。其中,蓝线为真实的状态序列示意图,5条红线为恢复出的状态序列示意图,越下方的、颜色越浅的红线表示利用越久远的历史状态所恢复出的状态序列。
结果显示,即使用更久远的状态作为输入,恢复出的状态序列也和真实的状态序列非常相似,这说明 SPF 方法所学习出的表征能有效编码出状态序列中包含的结构性信息。
今天关于《中科大开发的「状态序列频域预测」方法,使得样本表征学习效率最大化,性能增长20%》的内容介绍就到此结束,如果有什么疑问或者建议,可以在golang学习网公众号下多多回复交流;文中若有不正之处,也希望回复留言以告知!
一加法务部门官方微博亮相,李杰曾指责有人企图大规模抹黑一加12
- 上一篇
- 一加法务部门官方微博亮相,李杰曾指责有人企图大规模抹黑一加12
- 下一篇
- Win11软件介绍是否还有最新信息?
-
- 科技周边 · 人工智能 | 6小时前 |
- Mac Studio集群:多机跑70B大模型教程
- 370浏览 收藏
-
- 科技周边 · 人工智能 | 6小时前 | CanvaAI Canva可画
- Canva Pro会员价格及权益详解
- 246浏览 收藏
-
- 科技周边 · 人工智能 | 6小时前 | Hermes Agent HermesAgent
- Hermes Agent缓存清理方法【技巧】
- 420浏览 收藏
-
- 科技周边 · 人工智能 | 6小时前 | 骡子快跑
- 骡子快跑模拟面试怎么设置
- 382浏览 收藏
-
- 科技周边 · 人工智能 | 6小时前 | CodeGeeX
- 判断今天日期是否为指定日期
- 296浏览 收藏
-
- 科技周边 · 人工智能 | 7小时前 |
- DeepSeek替代ChatGPT优势解析
- 264浏览 收藏
-
- 科技周边 · 人工智能 | 7小时前 |
- 如何查看Perplexity API账单?进入Settings Billing管理面板
- 263浏览 收藏
-
- 科技周边 · 人工智能 | 7小时前 |
- 矢量图天花板!Recraft一键生成SVG全流程
- 446浏览 收藏
-
- 科技周边 · 人工智能 | 7小时前 | Hermes Agent HermesAgent
- HermesAgent数据归档:策略集成实战教程
- 104浏览 收藏
-
- 科技周边 · 人工智能 | 7小时前 |
- WorkBuddy一键配置文件下发方法
- 170浏览 收藏
-
- 科技周边 · 人工智能 | 7小时前 | Midjourney
- Midjourney生成表情包Gif制作教程
- 383浏览 收藏
-
- 前端进阶之JavaScript设计模式
- 设计模式是开发人员在软件开发过程中面临一般问题时的解决方案,代表了最佳的实践。本课程的主打内容包括JS常见设计模式以及具体应用场景,打造一站式知识长龙服务,适合有JS基础的同学学习。
- 543次学习
-
- GO语言核心编程课程
- 本课程采用真实案例,全面具体可落地,从理论到实践,一步一步将GO核心编程技术、编程思想、底层实现融会贯通,使学习者贴近时代脉搏,做IT互联网时代的弄潮儿。
- 516次学习
-
- 简单聊聊mysql8与网络通信
- 如有问题加微信:Le-studyg;在课程中,我们将首先介绍MySQL8的新特性,包括性能优化、安全增强、新数据类型等,帮助学生快速熟悉MySQL8的最新功能。接着,我们将深入解析MySQL的网络通信机制,包括协议、连接管理、数据传输等,让
- 500次学习
-
- JavaScript正则表达式基础与实战
- 在任何一门编程语言中,正则表达式,都是一项重要的知识,它提供了高效的字符串匹配与捕获机制,可以极大的简化程序设计。
- 487次学习
-
- 从零制作响应式网站—Grid布局
- 本系列教程将展示从零制作一个假想的网络科技公司官网,分为导航,轮播,关于我们,成功案例,服务流程,团队介绍,数据部分,公司动态,底部信息等内容区块。网站整体采用CSSGrid布局,支持响应式,有流畅过渡和展现动画。
- 485次学习
-
- ChatExcel酷表
- ChatExcel酷表是由北京大学团队打造的Excel聊天机器人,用自然语言操控表格,简化数据处理,告别繁琐操作,提升工作效率!适用于学生、上班族及政府人员。
- 4512次使用
-
- Any绘本
- 探索Any绘本(anypicturebook.com/zh),一款开源免费的AI绘本创作工具,基于Google Gemini与Flux AI模型,让您轻松创作个性化绘本。适用于家庭、教育、创作等多种场景,零门槛,高自由度,技术透明,本地可控。
- 4863次使用
-
- 可赞AI
- 可赞AI,AI驱动的办公可视化智能工具,助您轻松实现文本与可视化元素高效转化。无论是智能文档生成、多格式文本解析,还是一键生成专业图表、脑图、知识卡片,可赞AI都能让信息处理更清晰高效。覆盖数据汇报、会议纪要、内容营销等全场景,大幅提升办公效率,降低专业门槛,是您提升工作效率的得力助手。
- 4740次使用
-
- 星月写作
- 星月写作是国内首款聚焦中文网络小说创作的AI辅助工具,解决网文作者从构思到变现的全流程痛点。AI扫榜、专属模板、全链路适配,助力新人快速上手,资深作者效率倍增。
- 6583次使用
-
- MagicLight
- MagicLight.ai是全球首款叙事驱动型AI动画视频创作平台,专注于解决从故事想法到完整动画的全流程痛点。它通过自研AI模型,保障角色、风格、场景高度一致性,让零动画经验者也能高效产出专业级叙事内容。广泛适用于独立创作者、动画工作室、教育机构及企业营销,助您轻松实现创意落地与商业化。
- 5099次使用
-
- GPT-4王者加冕!读图做题性能炸天,凭自己就能考上斯坦福
- 2023-04-25 501浏览
-
- 单块V100训练模型提速72倍!尤洋团队新成果获AAAI 2023杰出论文奖
- 2023-04-24 501浏览
-
- ChatGPT 真的会接管世界吗?
- 2023-04-13 501浏览
-
- VR的终极形态是「假眼」?Neuralink前联合创始人掏出新产品:科学之眼!
- 2023-04-30 501浏览
-
- 实现实时制造可视性优势有哪些?
- 2023-04-15 501浏览

