探索DDL:网友呼唤挑战大规模实践
在IT行业这个发展更新速度很快的行业,只有不停止的学习,才不会被行业所淘汰。如果你是科技周边学习者,那么本文《探索DDL:网友呼唤挑战大规模实践》就很适合你!本篇内容主要包括##content_title##,希望对大家的知识积累有所帮助,助力实战开发!
到年底了,大学生碰上期末周、打工人在赶KPI,没有deadline(ddl)的年底不是真年底……

ddl在我们的日常生活中普遍存在,“ddl是第一生产力”更是人们通过亲身实践得出的“至理名言”。

然鹅,关于ddl行为效应的系统证据却很少见。
不过,运筹学和管理科学领域最大的专业协会之一INFORMS旗下期刊《Management Science》上,就刊登了一项关于ddl的研究。

这项研究通过两项实验证实了ddl的有效性,并解释了其作为一种强有力的管理工具的原因。同时,研究还揭示了个体对ddl的反应受到记忆和注意力限制的影响。
有学者评价道:
了解不同协调方法之所以有价值,是因为它们充分考虑到了人类的认知限制,这是一个有趣的课题。
未来,我们与AI的交互设计将着眼于弥补人类心理上的限制。显而易见,当前的聊天界面是不完善的,因为它们错误地假设了人类能像LLM一样处理和记忆相同量级的上下文信息。

网友们也是脑洞大开,“给大模型设置ddl,会不会提高它的性能?”:

考古「ddl有效」实验
这项研究由来自德国IZA Bonn研究所、哥本哈根大学、赫蒂学院、凯泽斯劳滕大学的研究人员共同完成。
他们在一家大型牙科诊所进行了两项实验,目标人群是那些需要做预防性检查的患者。选择这个场景做实验,主要是考虑到:
按医嘱,患者应定期主动联系牙医,预约检查(检查频率相对较低),也就是人们需要主动完成任务,但没有明确的执行日期。这个设置就特别适合探讨ddl、任务表现和记忆限制之间的相互作用。
具体来说,第一个实验时间跨度为2011-2013年。
牙科诊所的检查预约通知系统会按照患者的建议检查时间间隔,向患者发送一张明信片式的提醒通知,提醒他们预约下一次的常规检查。

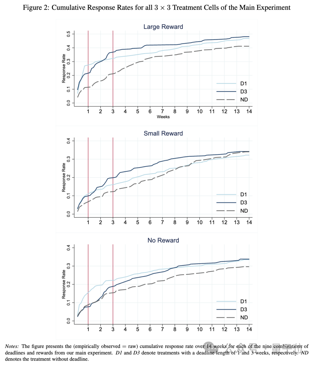
在这个基础上,研究人员在提醒通知中加入了ddl,对应三个治疗组:D1(1周ddl)、D3(3周ddl)、ND(无ddl)。在每个治疗组中还设置了3种奖励水平:大奖励(免费专业牙齿清洁)、小奖励(牙护套装)、无明确奖励。
这样就构成了3种ddl×3种奖励水平的9种组合。

被试共有1175名患者,来自1015个家庭,共产生了2661次的治疗。研究人员在2011-2013年时间段内分43批次随机分配患者进入不同治疗组。
分析结果变量主要是患者首次联系预约的日期、累积响应率、在ddl内的响应率、每日风险率(Hazard Rate)。
在2013年的第二季度、第三季度,研究人员在同一环境下设置了第二次实验,主要是为了探究关键发现在更长的ddl下是否稳定。
作为对照,除了与主实验中的D1、D3和ND相对应的处理,第二次实验还包括了一个为期6周(D6)、10周(D10)和截止到12月31日的“年终”(EoY)ddl处理。奖励是价值10欧元的牙护套装。

其他设计和分析流程与第一个实验类似。
ddl的威力
最终研究人员对实验结果进行了分析,分析过程有点复杂,感兴趣的家人们可以查看完整论文,“省流版”如下。
- 设置ddl可以显著提高和加速人们对任务做出反应的频率和时间。


- 相对较短的ddl(1-3周)不仅可以加速人们的反应,还可以在ddl后100天内持续使响应率升高10%以上,持续提高人们更长时间内的任务完成率,这可能与记忆和注意力的限制有关。
- 即使没有明确的奖励措施,ddl对人们的行为也有显著影响,ddl本身效果与高额奖励的效果近似。

- 在给定ddl前,风险率随着ddl的延长而降低,这与理论预测不符,也可能是记忆限制的影响。
也就是ddl较长,人们有可能遗忘之前要完成的任务,导致风险率相对较低。

- 将奖励和合理的短期ddl结合起来,能以更低的总成本激励人们提早完成任务,成本效益最高。


- 对一个任务施加ddl可能会对其他任务产生负面溢出效应。
- 在无ddl设置中响应率较低的群体,在施加ddl后任务表现相对提升更大。

网友热议
沃顿商学院教授Ethan Mollick扒出并分享了这项研究后,得到不少网友关注。

有网友表示,“这和帕金森定律相呼应”(工作会膨胀以填满用于完成该工作的时间):
较短的ddl增加了紧迫感,但也更安心,因为知道在ddl来临之前仍有时间纠正错误或补救问题。

从研究出发,有网友还对ddl对心理的长期影响以及工作质量的影响感兴趣:
ddl本质上仅是一个时间框架,它设定了完成任务时可进行的分析的范围和深度。然而,人们常常将面对ddl的压力视为是一种惩罚。

此外,也有网友吐槽ddl:
你确定这不是因为囚犯习惯了牢笼铁栅栏吗?没有ddl的情况下,我工作得更好。

今天关于《探索DDL:网友呼唤挑战大规模实践》的内容介绍就到此结束,如果有什么疑问或者建议,可以在golang学习网公众号下多多回复交流;文中若有不正之处,也希望回复留言以告知!
2024 CES惊艳亮相:双风扇改变显卡散热市场
- 上一篇
- 2024 CES惊艳亮相:双风扇改变显卡散热市场
- 下一篇
- WE版极氪009零售价增加,但ME版保持稳定,全车配置全面升级
-
- 科技周边 · 人工智能 | 7小时前 |
- 可灵AI让照片动起来的技巧分享
- 411浏览 收藏
-
- 科技周边 · 人工智能 | 7小时前 | 骡子快跑
- 骡子快跑支持LaTeX吗?数学符号渲染教程
- 164浏览 收藏
-
- 科技周边 · 人工智能 | 7小时前 | 百度AI文心一言
- 文心一言生成古风插画方法教程
- 115浏览 收藏
-
- 科技周边 · 人工智能 | 7小时前 |
- 多轮对话企业知识助手实战构建
- 109浏览 收藏
-
- 科技周边 · 人工智能 | 7小时前 |
- PerplexityAI如何高效改写文章|文本优化技巧分享
- 404浏览 收藏
-
- 科技周边 · 人工智能 | 7小时前 |
- 豆包AI批量生成选题方法解析
- 436浏览 收藏
-
- 科技周边 · 人工智能 | 8小时前 |
- workbuddy安装流程详解及快速指南
- 309浏览 收藏
-
- 科技周边 · 人工智能 | 8小时前 | 文心一言 快速登录
- 文心一言官网登录指南 文心一言网页版入口操作
- 129浏览 收藏
-
- 科技周边 · 人工智能 | 8小时前 | Claude
- Claude Code使用技巧分享及实战指南
- 274浏览 收藏
-
- 科技周边 · 人工智能 | 8小时前 |
- 海螺AI视频色偏怎么调?色彩校准教程
- 199浏览 收藏
-
- 科技周边 · 人工智能 | 8小时前 |
- Gemini图像识别进阶教程:AI解析照片装修建议
- 369浏览 收藏
-
- 科技周边 · 人工智能 | 8小时前 |
- WorkBuddy AI开题报告怎么写?
- 117浏览 收藏
-
- 前端进阶之JavaScript设计模式
- 设计模式是开发人员在软件开发过程中面临一般问题时的解决方案,代表了最佳的实践。本课程的主打内容包括JS常见设计模式以及具体应用场景,打造一站式知识长龙服务,适合有JS基础的同学学习。
- 543次学习
-
- GO语言核心编程课程
- 本课程采用真实案例,全面具体可落地,从理论到实践,一步一步将GO核心编程技术、编程思想、底层实现融会贯通,使学习者贴近时代脉搏,做IT互联网时代的弄潮儿。
- 516次学习
-
- 简单聊聊mysql8与网络通信
- 如有问题加微信:Le-studyg;在课程中,我们将首先介绍MySQL8的新特性,包括性能优化、安全增强、新数据类型等,帮助学生快速熟悉MySQL8的最新功能。接着,我们将深入解析MySQL的网络通信机制,包括协议、连接管理、数据传输等,让
- 500次学习
-
- JavaScript正则表达式基础与实战
- 在任何一门编程语言中,正则表达式,都是一项重要的知识,它提供了高效的字符串匹配与捕获机制,可以极大的简化程序设计。
- 487次学习
-
- 从零制作响应式网站—Grid布局
- 本系列教程将展示从零制作一个假想的网络科技公司官网,分为导航,轮播,关于我们,成功案例,服务流程,团队介绍,数据部分,公司动态,底部信息等内容区块。网站整体采用CSSGrid布局,支持响应式,有流畅过渡和展现动画。
- 485次学习
-
- ChatExcel酷表
- ChatExcel酷表是由北京大学团队打造的Excel聊天机器人,用自然语言操控表格,简化数据处理,告别繁琐操作,提升工作效率!适用于学生、上班族及政府人员。
- 4242次使用
-
- Any绘本
- 探索Any绘本(anypicturebook.com/zh),一款开源免费的AI绘本创作工具,基于Google Gemini与Flux AI模型,让您轻松创作个性化绘本。适用于家庭、教育、创作等多种场景,零门槛,高自由度,技术透明,本地可控。
- 4598次使用
-
- 可赞AI
- 可赞AI,AI驱动的办公可视化智能工具,助您轻松实现文本与可视化元素高效转化。无论是智能文档生成、多格式文本解析,还是一键生成专业图表、脑图、知识卡片,可赞AI都能让信息处理更清晰高效。覆盖数据汇报、会议纪要、内容营销等全场景,大幅提升办公效率,降低专业门槛,是您提升工作效率的得力助手。
- 4484次使用
-
- 星月写作
- 星月写作是国内首款聚焦中文网络小说创作的AI辅助工具,解决网文作者从构思到变现的全流程痛点。AI扫榜、专属模板、全链路适配,助力新人快速上手,资深作者效率倍增。
- 6148次使用
-
- MagicLight
- MagicLight.ai是全球首款叙事驱动型AI动画视频创作平台,专注于解决从故事想法到完整动画的全流程痛点。它通过自研AI模型,保障角色、风格、场景高度一致性,让零动画经验者也能高效产出专业级叙事内容。广泛适用于独立创作者、动画工作室、教育机构及企业营销,助您轻松实现创意落地与商业化。
- 4857次使用
-
- GPT-4王者加冕!读图做题性能炸天,凭自己就能考上斯坦福
- 2023-04-25 501浏览
-
- 单块V100训练模型提速72倍!尤洋团队新成果获AAAI 2023杰出论文奖
- 2023-04-24 501浏览
-
- ChatGPT 真的会接管世界吗?
- 2023-04-13 501浏览
-
- VR的终极形态是「假眼」?Neuralink前联合创始人掏出新产品:科学之眼!
- 2023-04-30 501浏览
-
- 实现实时制造可视性优势有哪些?
- 2023-04-15 501浏览

