ConvNet和Transformer的对比:对4个领先的视觉模型进行Meta评测,LeCun表达认可
今天golang学习网给大家带来了《ConvNet和Transformer的对比:对4个领先的视觉模型进行Meta评测,LeCun表达认可》,其中涉及到的知识点包括等等,无论你是小白还是老手,都适合看一看哦~有好的建议也欢迎大家在评论留言,若是看完有所收获,也希望大家能多多点赞支持呀!一起加油学习~
如何根据特定需求选择视觉模型?
ConvNet/ViT、supervised/CLIP模型,在ImageNet之外的指标上如何相互比较?
来自MABZUAI和Meta的研究人员发表的最新研究,在「非标准」指标上全面比较了常见的视觉模型。

论文地址:https://arxiv.org/pdf/2311.09215.pdf
LeCun对这项研究给予高度赞扬,称其为非常出色的研究。研究比较了相似大小的ConvNext和VIT架构,在监督模式和使用CLIP方法进行训练时,对各种属性进行了全面比较。

超越ImageNet准确性
计算机视觉模型格局,变得越来越多样复杂。
从早期的ConvNets到Vision Transformers的演进,可用模型的种类在不断扩展。
类似地,训练范式已经从ImageNet上的监督训练,发展到自监督学习、像CLIP这样的图像文本对训练。

在标志着进步的同时,这种选择的爆炸式增长给从业者带来了重大挑战:如何选择适合自己的目标模型?
一直以来,ImageNet准确率一直是评估模型性能的主要指标。自从引发深度学习革命以来,它已经推动了人工智能领域显著的进步。
不过,它却无法衡量因不同架构、训练范式和数据而产生的细微差别的模型。
如果仅根据ImageNet的准确度来判断,具有不同属性的模型可能看起来很相似(图 1)。随着模型开始过度拟合ImageNet的特性,精度达到饱和,这种局限性就会变得更加明显。

为了弥补差距,研究人员对ImageNet准确性之外的模型行为进行了深入探索。
为了研究架构和训练目标对模型性能的影响,具体比较了Vision Transformer (ViT)和ConvNeXt。这两种现代架构的ImageNet-1K验证精度和计算要求相当。
此外,研究对比了以DeiT3-Base/16和ConvNeXt-Base为代表的监督模型,以及OpenCLIP基于CLIP模型的视觉编码器。

结果分析
研究人员的分析旨在,研究无需进一步训练或微调即可评估的模型行为。
这种方法对于计算资源有限的从业人员尤为重要,因为他们通常依赖于预训练模型。
具体分析中,虽然作者认识到对象检测等下游任务的价值,但重点是那些能以最小的计算需求提供洞察力的特性,以及反映对真实世界应用非常重要的行为的特性。
模型错误
ImageNet-X是一个对ImageNet-1K进行了扩展的数据集,其中包含16个变化因素的详细人工标注,从而能够深入分析图像分类中的模型错误。
它采用错误率(越低越好)来量化模型在特定因素上,相对于整体准确性的表现,从而对模型错误进行细致入微的分析。ImageNet-X 的结果表明:
1. 相对于其ImageNet准确性,CLIP模型比受监督的模型犯的错误更少。
2. 所有模型都主要受到遮挡等复杂因素的影响。
3. 纹理是所有模型中最具挑战性的因素。


形状/纹理偏差
形状/纹理偏差会检验模型,是否依赖于纹理快捷方式,而不是高级形状提示。
这种偏向可以通过结合不同类别的形状和纹理的提示冲突图像来研究。
这种方法有助于了解与纹理相比,模型的决策在多大程度上是基于形状的。
研究人员对提示冲突数据集上的形状-纹理偏差进行了评估,发现CLIP模型的纹理偏差小于监督模型,而ViT模型的形状偏差高于ConvNets。

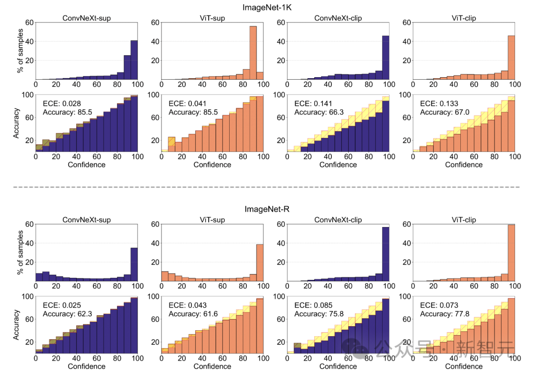
模型校准
校准可量化模型的预测置信度与其实际准确度是否一致。
这可以通过预期校准误差 (ECE) 等指标,以及可靠性图和置信度直方图等可视化工具进行评估。
研究人员在ImageNet-1K和ImageNet-R上对校准进行了评估,将预测分为15个等级。在实验中,观察到以下几点:
- CLIP模型置信度高,而监督模型则略显不足。
- 有监督的ConvNeXt比有监督的ViT校准得更好。

健壮性和可移植性
模型的健壮性和可移植性,是适应数据分布变化和新任务的关键。
研究人员使用不同的ImageNet变体评估了稳健性,发现虽然ViT和ConvNeXt模型具有类似的平均性能,但除了ImageNet-R和ImageNet-Sketch之外,监督模型在稳健性方面通常优于CLIP。
在可移植性方面,使用VTAB基准测试对19个数据集进行评估,监督ConvNeXt优于ViT,几乎与CLIP模型的性能相当。

合成数据
像PUG-ImageNet这样的合成数据集,可以精确控制相机角度和纹理等因素,成为一种很有前途的研究途径,因此研究人员根据合成数据分析模型的性能。
PUG-ImageNet包含逼真的ImageNet图像,这些图像具有照明等因素的系统变化,性能以绝对最高准确率来衡量。
研究人员提供了PUG-ImageNet中不同因素的结果,发现ConvNeXt在几乎所有因素上都优于ViT。
这表明ConvNeXt在合成数据上优于ViT,而CLIP模型的差距较小,因为CLIP模型的准确率低于监督模型,这可能与原始ImageNet的准确率较低有关。

特征不变性
特征不变性是指模型能够产生一致的表征,不受输入转换的影响,从而保留语义,如缩放或移动。
这一特性使模型能够在不同但语义相似的输入中很好地泛化。
研究人员的方法包括,调整图像大小以实现比例不变性,移动裁剪以实现位置不变性,以及使用内插位置嵌入调整ViT模型的分辨率。
在有监督的训练中,ConvNeXt的表现优于ViT。
总体而言,模型对尺度/分辨率变换的鲁棒性高于对移动的鲁棒性。对于需要对缩放、位移和分辨率具有较高鲁棒性的应用,研究结果表明有监督的ConvNeXt可能是最佳选择。

研究人员发现,每种模型都有自己独特的优势。
这表明模型的选择应该取决于目标用例,因为标准的性能指标可能会忽略关键任务特定的细微差别。
此外,许多现有的基准是从ImageNet派生出来的,这对评估有偏见。开发具有不同数据分布的新基准,对于在更具现实代表性的背景下评估模型至关重要。
ConvNet vs Transformer
- 在许多基准测试中,有监督的ConvNeXt比有监督的VIT具有更好的性能:它更好地校准,对数据转换不变,表现出更好的可转移性和健壮性。
- 在合成数据上,ConvNeXt的表现优于ViT。
- ViT有较高的形状偏向。
Supervised vs CLIP
- 尽管CLIP模型在可转移性方面更好,但监督的ConvNeXt在这项任务上表现出了竞争力。这展示了有监督的模型的潜力。
- 监督模型更擅长稳健性基准,这可能是因为这些模型是ImageNet的变体。
- CLIP模型具有较高的形状偏差,与其ImageNet精度相比,分类错误较少。
本篇关于《ConvNet和Transformer的对比:对4个领先的视觉模型进行Meta评测,LeCun表达认可》的介绍就到此结束啦,但是学无止境,想要了解学习更多关于科技周边的相关知识,请关注golang学习网公众号!
OpenAI CEO暗示GPT-5支持AGI的到来,并重点发展核聚变技术
- 上一篇
- OpenAI CEO暗示GPT-5支持AGI的到来,并重点发展核聚变技术
- 下一篇
- 无限序列长度、固定计算开销、更高建模精度:升级版Lightning Attention-2 注意力机制
-
- 科技周边 · 人工智能 | 7分钟前 |
- Mulerun如何生成拉丁节奏?
- 418浏览 收藏
-
- 科技周边 · 人工智能 | 29分钟前 |
- Clawdbot官网入口及网页版使用教程
- 479浏览 收藏
-
- 科技周边 · 人工智能 | 8小时前 |
- 千问AI刷题指南,LeetCode面试攻略
- 351浏览 收藏
-
- 科技周边 · 人工智能 | 9小时前 | 骡子快跑
- 骡子快跑图表制作与数据可视化技巧
- 152浏览 收藏
-
- 科技周边 · 人工智能 | 9小时前 |
- 豆包AI多巴胺配色壁纸制作教程
- 191浏览 收藏
-
- 科技周边 · 人工智能 | 9小时前 |
- 开发AI幻觉屏蔽层,提升Gemini内容准确性
- 407浏览 收藏
-
- 科技周边 · 人工智能 | 9小时前 |
- 多阶段生成是什么?如何拆分Prompt提升效率
- 359浏览 收藏
-
- 科技周边 · 人工智能 | 9小时前 |
- KimiChat视频生成技巧详解
- 355浏览 收藏
-
- 科技周边 · 人工智能 | 9小时前 |
- PowerDirector视频旋转裁剪技巧详解
- 367浏览 收藏
-
- 科技周边 · 人工智能 | 9小时前 |
- AI头像能商用吗?平台版权避坑指南
- 289浏览 收藏
-
- 科技周边 · 人工智能 | 10小时前 | 骡子快跑
- 骡子快跑支持处理PDF吗?详细解析
- 117浏览 收藏
-
- 科技周边 · 人工智能 | 10小时前 |
- CanvaAI文生图模板使用技巧教程
- 400浏览 收藏
-
- 前端进阶之JavaScript设计模式
- 设计模式是开发人员在软件开发过程中面临一般问题时的解决方案,代表了最佳的实践。本课程的主打内容包括JS常见设计模式以及具体应用场景,打造一站式知识长龙服务,适合有JS基础的同学学习。
- 543次学习
-
- GO语言核心编程课程
- 本课程采用真实案例,全面具体可落地,从理论到实践,一步一步将GO核心编程技术、编程思想、底层实现融会贯通,使学习者贴近时代脉搏,做IT互联网时代的弄潮儿。
- 516次学习
-
- 简单聊聊mysql8与网络通信
- 如有问题加微信:Le-studyg;在课程中,我们将首先介绍MySQL8的新特性,包括性能优化、安全增强、新数据类型等,帮助学生快速熟悉MySQL8的最新功能。接着,我们将深入解析MySQL的网络通信机制,包括协议、连接管理、数据传输等,让
- 500次学习
-
- JavaScript正则表达式基础与实战
- 在任何一门编程语言中,正则表达式,都是一项重要的知识,它提供了高效的字符串匹配与捕获机制,可以极大的简化程序设计。
- 487次学习
-
- 从零制作响应式网站—Grid布局
- 本系列教程将展示从零制作一个假想的网络科技公司官网,分为导航,轮播,关于我们,成功案例,服务流程,团队介绍,数据部分,公司动态,底部信息等内容区块。网站整体采用CSSGrid布局,支持响应式,有流畅过渡和展现动画。
- 485次学习
-
- ChatExcel酷表
- ChatExcel酷表是由北京大学团队打造的Excel聊天机器人,用自然语言操控表格,简化数据处理,告别繁琐操作,提升工作效率!适用于学生、上班族及政府人员。
- 4224次使用
-
- Any绘本
- 探索Any绘本(anypicturebook.com/zh),一款开源免费的AI绘本创作工具,基于Google Gemini与Flux AI模型,让您轻松创作个性化绘本。适用于家庭、教育、创作等多种场景,零门槛,高自由度,技术透明,本地可控。
- 4578次使用
-
- 可赞AI
- 可赞AI,AI驱动的办公可视化智能工具,助您轻松实现文本与可视化元素高效转化。无论是智能文档生成、多格式文本解析,还是一键生成专业图表、脑图、知识卡片,可赞AI都能让信息处理更清晰高效。覆盖数据汇报、会议纪要、内容营销等全场景,大幅提升办公效率,降低专业门槛,是您提升工作效率的得力助手。
- 4463次使用
-
- 星月写作
- 星月写作是国内首款聚焦中文网络小说创作的AI辅助工具,解决网文作者从构思到变现的全流程痛点。AI扫榜、专属模板、全链路适配,助力新人快速上手,资深作者效率倍增。
- 6112次使用
-
- MagicLight
- MagicLight.ai是全球首款叙事驱动型AI动画视频创作平台,专注于解决从故事想法到完整动画的全流程痛点。它通过自研AI模型,保障角色、风格、场景高度一致性,让零动画经验者也能高效产出专业级叙事内容。广泛适用于独立创作者、动画工作室、教育机构及企业营销,助您轻松实现创意落地与商业化。
- 4831次使用
-
- GPT-4王者加冕!读图做题性能炸天,凭自己就能考上斯坦福
- 2023-04-25 501浏览
-
- 单块V100训练模型提速72倍!尤洋团队新成果获AAAI 2023杰出论文奖
- 2023-04-24 501浏览
-
- ChatGPT 真的会接管世界吗?
- 2023-04-13 501浏览
-
- VR的终极形态是「假眼」?Neuralink前联合创始人掏出新产品:科学之眼!
- 2023-04-30 501浏览
-
- 实现实时制造可视性优势有哪些?
- 2023-04-15 501浏览

