LLM嵌入学习:自动适配100种语言,支持数十万下游任务,无需人工标注
知识点掌握了,还需要不断练习才能熟练运用。下面golang学习网给大家带来一个科技周边开发实战,手把手教大家学习《LLM嵌入学习:自动适配100种语言,支持数十万下游任务,无需人工标注》,在实现功能的过程中也带大家重新温习相关知识点,温故而知新,回头看看说不定又有不一样的感悟!
文本嵌入(word embedding)是自然语言处理(NLP)领域的基础技术,它能够将文本映射到语义空间,并转化为稠密的矢量表示。这种方法已经被广泛应用于各种NLP任务,包括信息检索(IR)、问答、文本相似度计算和推荐系统等。通过文本嵌入,我们可以更好地理解文本的含义和关系,从而提高NLP任务的效果。
在信息检索(IR)领域,第一阶段的检索通常使用文本嵌入进行相似度计算。它通过在大规模语料库中召回一个小的候选文件集,然后进行细粒度的计算。基于嵌入的检索也是检索增强生成(RAG)的重要组成部分。它使得大型语言模型(LLM)能够访问动态的外部知识,而无需修改模型参数。这样一来,IR系统可以更好地利用文本嵌入和外部知识,提高检索效果。
早期的文本嵌入学习方法如word2vec和GloVe虽然被广泛应用,但它们的静态特性限制了对自然语言中丰富上下文信息的捕捉能力。然而,随着预训练语言模型的兴起,一些新方法如Sentence-BERT和SimCSE通过微调BERT来学习文本嵌入,在自然语言推理(NLI)数据集上取得了显著的进展。这些方法利用BERT的上下文感知能力,能够更好地理解文本的语义和语境,从而提高了文本嵌入的质量和表达能力。通过预训练和微调的结合,这些方法能够从大规模的语料库中学习到更丰富的语义信息,为自然语言处理
为了提高文本嵌入性能和鲁棒性,先进的方法如E5和BGE采用了多阶段训练。它们首先对数十亿个弱监督文本对进行预训练,然后再在几个标注数据集上进行微调。这种策略能够有效地提升文本嵌入的表现。
现有的多阶段方法仍然存在两个缺陷:
1. 构造一个复杂的多阶段训练pipeline,需要大量的工程工作来管理大量的相关性数据对(relevance pairs)。
2. 微调依赖于人工收集的数据集,而这些数据集往往受到任务多样性和语言覆盖范围的限制。
大部分方法使用BERT式编码器,忽略了更好的LLM和相关技术的训练进展。
微软的研究团队最近提出了一种简单而高效的文本嵌入训练方法,以克服之前方法存在的一些缺陷。这种方法不需要复杂的管道设计或人工构建的数据集,而是利用LLM来合成多样化的文本数据。通过这种方法,他们能够为近100种语言的数十万文本嵌入任务生成高质量的文本嵌入,而整个训练过程不到1000步。

论文链接:https://arxiv.org/abs/2401.00368
具体来说,研究人员使用两步提示策略,首先提示LLM头脑风暴候选任务池,然后提示LLM从池中生成给定任务的数据。
为了覆盖不同的应用场景,研究人员为每个任务类型设计了多个提示模板,并将不同模板生成的数据进行联合收割机组合,以提高多样性。
实验结果证明,当「仅对合成数据」进行微调时,Mistral-7B在BEIR和MTEB基准上获得了非常有竞争力的性能;当同时加入合成和标注数据进行微调时,即可实现sota性能。
用大模型提升文本嵌入
1. 合成数据生成
利用GPT-4等最先进的大型语言模型(LLM)来合成数据越来越受到重视,可以增强模型在多任务和多语言上的能力多样性,进而可以训练出更健壮的文本嵌入,在各种下游任务(如语义检索、文本相似度计算、聚类)中都能表现良好。
为了生成多样化的合成数据,研究人员提出了一个简单的分类法,先将嵌入任务分类,然后再对每类任务使用不同的提示模板。
非对称任务(Asymmetric Tasks)
包括查询(query)和文档在语义上相关但彼此不互为改写(paraphrase)的任务。
根据查询和文档的长度,研究人员进一步将非对称任务分为四个子类别:短-长匹配(短查询和长文档,商业搜索引擎中的典型场景),长-短匹配,短-短匹配和长-长匹配。
对于每个子类别,研究人员设计了一个两步提示模板,首先提示LLM头脑风暴的任务列表,然后生成一个具体的例子的任务定义的条件;从GPT-4的输出大多连贯一致,质量很高。

在初步实验中,研究人员还尝试使用单个提示生成任务定义和查询文档对,但数据多样性不如上述的两步方法。
对称任务
主要包括具有相似语义但不同表面形式的查询和文档。
文中研究了两个应用场景:单语种(monolingual)语义文本相似性(STS)和双文本检索,并且为每个场景设计了两个不同的提示模板,根据其特定目标进行定制,由于任务的定义比较简单,所以头脑风暴步骤可以省略。
为了进一步提高提示词的多样性,提高合成数据的多样性,研究人员在每个提示板中加入了几个占位符,在运行时随机采样,例如「{query_length}」代表从集合「{少于5个单词,5-10个单词,至少10个单词}」中采样的。
为了生成多语言数据,研究人员从XLM-R的语言列表中采样「{language}」的值,给予高资源语言更多的权重;任何不符合预定义JSON格式的生成数据都将在解析过程中被丢弃;还会根据精确的字符串匹配删除重复项。
2. 训练
给定一个相关的查询-文档对,先使用原始查询q+来生成一个新的指令q_inst,其中「{task_definition}」是嵌入任务的一句话描述的占位符。

对于生成的合成数据,使用头脑风暴步骤的输出;对于其他数据集,例如MS-MARCO,研究人员手动创建任务定义并将其应用于数据集中的所有查询,不修改文件端的任何指令前缀。
通过这种方式,可以预先构建文档索引,并且可以通过仅更改查询端来自定义要执行的任务。
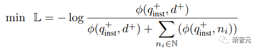
给定一个预训练的LLM,将一个[EOS]标记附加到查询和文档的末尾,然后馈送到LLM中,通过获取最后一层[EOS]向量来获得查询和文档嵌入。
然后采用标准的InfoNCE loss对批内negatives和hard negatives进行损失计算。

其中ℕ表示所有negatives的集合,
用来计算查询和文档之间的匹配分数,t是一个温度超参数,在实验中固定为0.02

实验结果
合成数据统计
研究人员使用Azure OpenAI服务生成了500k个样本,包含150k条独特指令,其中25%由GPT-3.5-Turbo生成,剩余由GPT-4生成,总共消耗了1.8亿个token。
主要语言是英语,一共覆盖93种语言;对于75种低资源语言,平均每种语言约有1k个样本。

在数据质量方面,研究人员发现GPT-3.5-Turbo的部分输出没有严格遵循提示模板中规定的准则,但尽管如此,总体质量仍然是可以接受的,初步实验也证明了采用这一数据子集的好处。
模型微调和评估
研究人员对预训练Mistral-7B使用上述损失微调1个epoch,遵循RankLLaMA的训练方法,并使用秩为16的LoRA。
为了进一步降低GPU内存需求,采用梯度检查点、混合精度训练和DeepSpeed ZeRO-3等技术。
在训练数据方面,同时使用了生成的合成数据和13个公共数据集,采样后产生了约180万个示例。
为了与之前的一些工作进行公平比较,研究人员还报告了当唯一的标注监督是MS-MARCO篇章排序数据集时的结果,还在MTEB基准上对模型进行了评估。
主要结果
下表中可以看到,文中得到的模型「E5mistral-7B + full data」在MTEB基准测试中获得了最高的平均分,比之前最先进的模型高出2.4分。
在「w/ synthetic data only」设置中,没有使用标注数据进行训练,但性能仍然很有竞争力。

研究人员还对几种商业文本嵌入模型进行了比较,但由于这些模型缺乏透明度和文档,因此无法进行公平的比较。
不过,在BEIR基准上的检索性能对比结果中可以看到,训练得到的模型在很大程度上优于当前的商业模型。

多语言检索
为了评估模型的多语言能力,研究人员在MIRACL数据集上进行了评估,包含18种语言的人工标注查询和相关性判断。
结果显示,该模型在高资源语言上超过了mE5-large,尤其是在英语上,性能表现更出色;不过对于低资源语言来说,该模型与mE5-base相比仍不理想。
研究人员将此归因于Mistral-7B主要在英语数据上进行了预训练,预测多语言模型可以用该方法来弥补这一差距。
文中关于模型,训练的知识介绍,希望对你的学习有所帮助!若是受益匪浅,那就动动鼠标收藏这篇《LLM嵌入学习:自动适配100种语言,支持数十万下游任务,无需人工标注》文章吧,也可关注golang学习网公众号了解相关技术文章。
MoE大模型手写教程,从零开始,高手专享
- 上一篇
- MoE大模型手写教程,从零开始,高手专享
- 下一篇
- 哈工大与快手合作打造的CogGPT:认知迭代对于大模型同样重要
-
- 科技周边 · 人工智能 | 17分钟前 |
- ChatGPT官网入口 ChatGPT网页版直达链接
- 411浏览 收藏
-
- 科技周边 · 人工智能 | 20分钟前 | Seedance 2.0
- Seedance 2.0会员值不值得买?性价比解析
- 433浏览 收藏
-
- 科技周边 · 人工智能 | 23分钟前 | ChatGPT ChatGPT5
- ChatGPT5.5如何控制输出字数
- 198浏览 收藏
-
- 科技周边 · 人工智能 | 30分钟前 |
- WorkBuddy剪贴板同步失败原因及解决方法
- 372浏览 收藏
-
- 科技周边 · 人工智能 | 1小时前 | CanvaAI Canva可画
- Canva国风设计技巧:东方元素融入日常美学
- 298浏览 收藏
-
- 科技周边 · 人工智能 | 1小时前 |
- Figma AI生成界面不适配?Constraints约束调整方案
- 228浏览 收藏
-
- 科技周边 · 人工智能 | 1小时前 |
- 本地部署 Claude API 的方法与注意事项
- 424浏览 收藏
-
- 科技周边 · 人工智能 | 1小时前 |
- Perplexity免费版搜索限制怎么破?切换API或升级Pro版
- 216浏览 收藏
-
- 科技周边 · 人工智能 | 1小时前 |
- ClaudePC快捷键设置方法详解
- 175浏览 收藏
-
- 科技周边 · 人工智能 | 2小时前 |
- 千问AI如何写Kafka生产者?深度教程
- 158浏览 收藏
-
- 科技周边 · 人工智能 | 2小时前 |
- 豆包AI助你快速掌握机械设计原理
- 187浏览 收藏
-
- 科技周边 · 人工智能 | 2小时前 | 骡子快跑
- 骡子快跑极简主义推荐与实践
- 255浏览 收藏
-
- 前端进阶之JavaScript设计模式
- 设计模式是开发人员在软件开发过程中面临一般问题时的解决方案,代表了最佳的实践。本课程的主打内容包括JS常见设计模式以及具体应用场景,打造一站式知识长龙服务,适合有JS基础的同学学习。
- 543次学习
-
- GO语言核心编程课程
- 本课程采用真实案例,全面具体可落地,从理论到实践,一步一步将GO核心编程技术、编程思想、底层实现融会贯通,使学习者贴近时代脉搏,做IT互联网时代的弄潮儿。
- 516次学习
-
- 简单聊聊mysql8与网络通信
- 如有问题加微信:Le-studyg;在课程中,我们将首先介绍MySQL8的新特性,包括性能优化、安全增强、新数据类型等,帮助学生快速熟悉MySQL8的最新功能。接着,我们将深入解析MySQL的网络通信机制,包括协议、连接管理、数据传输等,让
- 500次学习
-
- JavaScript正则表达式基础与实战
- 在任何一门编程语言中,正则表达式,都是一项重要的知识,它提供了高效的字符串匹配与捕获机制,可以极大的简化程序设计。
- 487次学习
-
- 从零制作响应式网站—Grid布局
- 本系列教程将展示从零制作一个假想的网络科技公司官网,分为导航,轮播,关于我们,成功案例,服务流程,团队介绍,数据部分,公司动态,底部信息等内容区块。网站整体采用CSSGrid布局,支持响应式,有流畅过渡和展现动画。
- 485次学习
-
- ChatExcel酷表
- ChatExcel酷表是由北京大学团队打造的Excel聊天机器人,用自然语言操控表格,简化数据处理,告别繁琐操作,提升工作效率!适用于学生、上班族及政府人员。
- 4515次使用
-
- Any绘本
- 探索Any绘本(anypicturebook.com/zh),一款开源免费的AI绘本创作工具,基于Google Gemini与Flux AI模型,让您轻松创作个性化绘本。适用于家庭、教育、创作等多种场景,零门槛,高自由度,技术透明,本地可控。
- 4865次使用
-
- 可赞AI
- 可赞AI,AI驱动的办公可视化智能工具,助您轻松实现文本与可视化元素高效转化。无论是智能文档生成、多格式文本解析,还是一键生成专业图表、脑图、知识卡片,可赞AI都能让信息处理更清晰高效。覆盖数据汇报、会议纪要、内容营销等全场景,大幅提升办公效率,降低专业门槛,是您提升工作效率的得力助手。
- 4742次使用
-
- 星月写作
- 星月写作是国内首款聚焦中文网络小说创作的AI辅助工具,解决网文作者从构思到变现的全流程痛点。AI扫榜、专属模板、全链路适配,助力新人快速上手,资深作者效率倍增。
- 6599次使用
-
- MagicLight
- MagicLight.ai是全球首款叙事驱动型AI动画视频创作平台,专注于解决从故事想法到完整动画的全流程痛点。它通过自研AI模型,保障角色、风格、场景高度一致性,让零动画经验者也能高效产出专业级叙事内容。广泛适用于独立创作者、动画工作室、教育机构及企业营销,助您轻松实现创意落地与商业化。
- 5103次使用
-
- GPT-4王者加冕!读图做题性能炸天,凭自己就能考上斯坦福
- 2023-04-25 501浏览
-
- 单块V100训练模型提速72倍!尤洋团队新成果获AAAI 2023杰出论文奖
- 2023-04-24 501浏览
-
- ChatGPT 真的会接管世界吗?
- 2023-04-13 501浏览
-
- VR的终极形态是「假眼」?Neuralink前联合创始人掏出新产品:科学之眼!
- 2023-04-30 501浏览
-
- 实现实时制造可视性优势有哪些?
- 2023-04-15 501浏览

