学习借鉴批评,LLaMA2在1317条评语的帮助下,胜率猛增30倍
“纵有疾风来,人生不言弃”,这句话送给正在学习科技周边的朋友们,也希望在阅读本文《学习借鉴批评,LLaMA2在1317条评语的帮助下,胜率猛增30倍》后,能够真的帮助到大家。我也会在后续的文章中,陆续更新科技周边相关的技术文章,有好的建议欢迎大家在评论留言,非常感谢!
现有的大模型对齐方法包括基于示例的监督微调(SFT)和基于分数反馈的强化学习(RLHF)。然而,分数只能反应当前回复的好坏程度,并不能明确指出模型的不足之处。相较之下,我们人类通常是从语言反馈中学习并调整自己的行为模式。就像审稿意见不仅仅是一个分数,还包括许多接受或者拒绝的理由。
那么,大语言模型能否也像人类一样利用语言反馈来改善自身呢?
香港中文大学和腾讯AI Lab的研究者们最近提出了一项名为对比式非似然训练(Contrastive Unlikelihood Learning,CUT)的创新研究。该研究利用语言反馈来调整语言模型,使其能够像人类一样从不同的批评意见中学习和进步。这项研究旨在提高语言模型的质量和准确性,使其更符合人类思维方式。通过对比非似然训练,研究者们希望能够让语言模型更好地理解和适应多样化的语言使用情境,从而提高其在自然语言处理任务中的性能。这一创新研究有望为语言模型
CUT是一种简单而有效的方法。仅通过使用1317条语言反馈数据,CUT能够大幅提升LLaMA2-13b在AlpacaEval上的胜率,从1.87%飙升至62.56%,并成功击败了175B的DaVinci003。令人兴奋的是,CUT还能像其他强化学习与强化学习强化反馈(RLHF)框架一样进行探索、批评和改进的循环迭代。在这一过程中,批评阶段可以由自动评价模型完成,实现整个系统的自我评估和提升。
作者对 LLaMA2-chat-13b 进行了四轮迭代,将模型在 AlpacaEval 上的性能从 81.09% 逐步提升至 91.36%。相较于基于分数反馈的对齐技术(DPO),CUT 在同等数据规模下表现更佳。研究结果揭示了语言反馈在对齐领域具有巨大的发展潜力,为未来的对齐研究开辟了新的可能性。这一发现对于提高对齐技术的精确性和效率具有重要意义,并为实现更好的自然语言处理任务提供了指导。

- 论文标题:Reasons to Reject? Aligning Language Models with Judgments
- 论文链接:https://arxiv.org/abs/2312.14591
- Github 链接:https://github.com/wwxu21/CUT
大模型的对齐

根据现有工作,研究人员总结了两种常见的大模型对齐方式:
1. 从示例中学习 (Learning from Demonstration):基于现成的指令 - 回复对,利用监督式训练的方法来对齐大模型。
- 优点:训练稳定;实现简单。
- 缺点:收集高质量、多样化的示例数据成本高;无法从错误回复中学习;示例数据往往和模型无关。
2. 从分数反馈中学习 (Learning from Rewards):给指令 - 回复对打分,利用强化学习训练模型最大化其回复的得分。
- 优点:能同时利用正确回复和错误回复;反馈信号与模型相关。
- 缺点:反馈信号稀疏;训练过程往往比较复杂。
此研究关注的则是从语言反馈中学习 (Learning from Judgments):给指令 - 回复对写评语,基于该语言反馈改进模型存在的瑕疵,保持模型的优点,从而提升模型性能。
可以看出,语言反馈继承了分数反馈的优点。与分数反馈相比,语言反馈的信息量更大:与其让模型去猜哪里做对了和哪里做错了,语言反馈可以直接指出详细的不足之处和改进方向。然而,令人遗憾的是,研究者们发现目前尚无有效方法能充分利用语言反馈。为此,研究者们提出了一种创新性的框架 CUT,旨在充分发挥语言反馈的优势。
对比式非似然训练
CUT 的核心思想是从对比中学习。研究者们通过对比大模型在不同条件下的回复去启发哪些部分是令人满意的,应该保持,哪些部分是有瑕疵,需要修改。基于此,研究者们利用最大似然估计(MLE)来训练令人满意的部分,利用非似然训练(UT)来修改回复中的瑕疵。

1. 对齐场景:如上图所示,研究者们考虑了两种对齐场景:
a)
:这是通常理解的对齐场景,在该场景下,回复需要忠实地遵循指示并符合人类的期望和价值观。
b)
:该场景引入了语言反馈作为额外的条件。在该场景下,回复要同时满足指令和语言反馈。例如,当收到一个消极反馈,大模型需要根据对应的反馈中提到的问题去犯错。
2. 对齐数据:如上图所示,基于上述两者对齐场景,研究者们构造了三类对齐数据:
a) Align-P:大模型生成了令人满意的回复,因此获得了积极的反馈。显然,Align-P 在
和
场景下都是满足对齐的。
b) Align-N:大模型生成了有瑕疵(蓝色加粗)的回复,因此获得了消极的反馈。对于 Align-N,
中是不满足对齐。但考虑该消极反馈后,Align-N 在
场景下仍是对齐的。
c) Misalign:Align-N 中真实的消极反馈被替换为一条伪造的积极反馈。显然,Misalign 在
和
场景下都不满足对齐。
3. 从对比中学习:

a) Align-N v.s. Misalign:两者的区别主要在于
下的对齐程度。鉴于大模型强大的上下文内学习能力(in-context learning),从 Align-N 到 Misalign 的对齐极性翻转通常伴随着特定词的生成概率的显著变化,尤其是那些与真实消极反馈密切相关的词。如上图所示,在 Align-N(左通路)的条件下,大模型生成 “a” 的概率明显高于 Misalign(右通路)。而这概率显著变化的地方刚好是大模型犯错的地方。
为了从该对比中学习,研究者们将 Align-N 和 Misalign 数据同时输入给大模型,以获取输出词分别在两种条件下的生成概率
和
。那些在
条件下有着明显高于
条件下的生成概率的词被标记为不合适的词。具体而言,研究者们采用如下标准来量化不合适词的界定:

其中
是权衡不合适词识别过程中精度和召回的超参数。
研究者们对这些识别出来的不合适词采用非似然训练(UT),从而迫使大模型去探索更加令人满意的回复。对于其他回复词,研究者们仍采用最大似然估计(MLE)来优化:

其中
是控制非似然训练的比重的超参数,
是回复词数。
b) Align-P v.s. Align-N:两者的区别主要在于
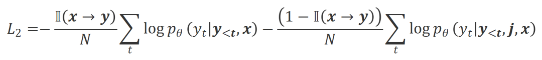
下的对齐程度。本质上,大模型通过引入不同极性的语言反馈来控制输出回复的质量。因此该二者的对比能启发大模型去区分令人满意的回复和有瑕疵的回复。具体而言,研究者们通过以下最大似然估计(MLE)损失来从该组对比中学习:

其中
是指示函数,如果数据满足
对齐返回 1,否则返回 0。
CUT 最终的训练目标结合了上述两组对比:
。
实验评估
1. 离线对齐
为了省钱,研究者们首先尝试了利用现成的语言反馈数据来对齐大模型。该实验用以证明 CUT 在利用语言反馈的能力。
a) 通用模型

如上表所示,在通用模型对齐上,研究者们使用 Shepherd 提供的 1317 条对齐数据,分别在冷启动(LLaMA2)和热启动(LLaMA2-chat)的条件下比较了 CUT 与现有从语言反馈学习的方法。
在基于 LLaMA2 的冷启动实验下,CUT 在 AlpacaEval 测试平台上大幅超越现有对齐方法,充分证明了其在利用语言反馈方面的优势。并且 CUT 在 TruthfulQA 上相比于基座模型也取得了大幅提升,这揭示了 CUT 在缓解大模型幻觉(hallucination)问题上有巨大潜力。
在基于 LLaMA2-chat 的热启动场景中,现有方法在提升 LLaMA2-chat 方面表现不佳,甚至产生了负面影响。然而,CUT 却能在此基础上进一步提升基座模型的性能,再次验证了 CUT 在利用语言反馈方面的巨大潜力。
b) 专家模型

研究者们同时测试了在特定专家任务(文本摘要)上 CUT 的对齐效果。如上表所示,CUT 在专家任务上相比现有对齐方法也取得了明显的提升。
2. 在线对齐
离线对齐的研究已经成功证明了 CUT 的强大对齐性能。现在,研究者们进一步地探索了更贴近实际应用的在线对齐场景。在这个场景中,研究者们迭代地对目标大模型的回复进行语言反馈标注,使该目标模型能够根据与其相关的语言反馈进行更精确的对齐。具体流程如下:
- 步骤 1:收集指令
,并获得目标大模型的回复
。 - 步骤 2:针对上述指令 - 回复对,标注语言反馈
。 - 步骤 3:采用 CUT,基于收集到的三元组数据
微调目标大模型。

如上图所示,经过四轮在线对齐迭代后,CUT 在仅有 4000 条训练数据和较小的 13B 模型规模的条件下,仍然能够取得令人瞩目的 91.36 分数。这一成绩进一步展示了 CUT 卓越的性能和巨大的潜力。
3. AI 评语模型

考虑到语言反馈的标注成本,研究者尝试训练评语模型(Judgement Model)来自动地为目标大模型标注语言反馈。如上图所示,研究者们分别使用 5000 条(AI Judge-5000)和 3000 条(AI Judge-3000)语言反馈数据来训练了两个评语模型。这两个评语模型在优化目标大型模型方面都取得了显著成果,尤其是 AI Judge-5000 的效果更为突出。
这证明了利用 AI 评语模型对齐目标大模型的可行性,同时也突显了评语模型质量在整个对齐过程中的重要性。这组实验还为未来降低标注成本提供了有力支持。
4. 语言反馈 vs. 分数反馈
为了深入挖掘语言反馈在大型模型对齐中的巨大潜力,研究者们将基于语言反馈的 CUT 与基于分数反馈的方法(DPO)进行了对比。为了确保比较的公平性,研究者们选取了 4000 组相同的指令 - 回复对作为实验样本,让 CUT 和 DPO 分别从这些数据所对应的分数反馈和语言反馈中进行学习。

如上表所示,在冷启动(LLaMA2)实验中,CUT 的表现明显优于 DPO。而在热启动(LLaMA2-chat)实验中,CUT 在 ARC、HellaSwag、MMLU 和 TruthfulQA 等任务上能取得与 DPO 相媲美的成绩,并在 AlpacaEval 任务上大幅度领先 DPO。这一实验证实了在大型模型对齐过程中,相较于分数反馈,语言反馈具有更大的潜力和优势。
总结与挑战
该工作中,研究者们系统地探讨了语言反馈在大模型对齐中的现状并创新性地提出了一种基于语言反馈的对齐框架 CUT,揭示了语言反馈在大型模型对齐领域所具有的巨大潜力和优势。此外,语言反馈的研究还有着一些新的方向和挑战,例如:
1. 评语模型的质量:尽管研究人员已成功地证实了训练评语模型的可行性,但在观察模型输出时,他们仍然发现评语模型经常给出不够准确的评价。因此,提升评语模型的质量对于未来大规模利用语言反馈进行对齐具有举足轻重的意义。
2. 新知识的引入:当语言反馈涉及到大模型所缺乏的知识时,大模型即使能准确地识别出错误的地方,但也没有明确的修改方向。因此在对齐的同时补足大模型缺乏的知识非常重要。
3. 多模态对齐:语言模型的成功促进了多模态大模型的研究,如语言、语音、图像和视频的结合。在这些多模态场景下,研究语言反馈以及对应模态的反馈迎来了新的定义和挑战。
以上就是本文的全部内容了,是否有顺利帮助你解决问题?若是能给你带来学习上的帮助,请大家多多支持golang学习网!更多关于科技周边的相关知识,也可关注golang学习网公众号。
人型机器魔术表演引起春晚节目组的关注
- 上一篇
- 人型机器魔术表演引起春晚节目组的关注
- 下一篇
- 陶哲轩对LLM自动证明定理能够用于拿到顶级会议的杰出论文感到赞叹,全面的上下文证明能够取得更好的效果
-
- 科技周边 · 人工智能 | 8分钟前 | 文心一言 百度AI文心一言
- 文心一言4.5写作功能\_小说剧本创作指令全解析
- 486浏览 收藏
-
- 科技周边 · 人工智能 | 29分钟前 | DeepSeek
- DeepSeek AI免费入口及登录指南
- 276浏览 收藏
-
- 科技周边 · 人工智能 | 32分钟前 | Midjourney
- Midjourney生成90年代复古动漫与胶片滤镜技巧
- 466浏览 收藏
-
- 科技周边 · 人工智能 | 58分钟前 |
- GitHub Copilot 启用方法与配置教程
- 377浏览 收藏
-
- 科技周边 · 人工智能 | 1小时前 |
- Clawdbot vs GPT-4 Turbo 全面对比
- 478浏览 收藏
-
- 科技周边 · 人工智能 | 1小时前 |
- Figma杂乱颜色怎么统一?Selection Colors一键替换
- 115浏览 收藏
-
- 科技周边 · 人工智能 | 1小时前 |
- DeepSeek SQL不符MySQL规范,指定版本重写指南
- 188浏览 收藏
-
- 科技周边 · 人工智能 | 1小时前 |
- 谷歌相册上线AI衣橱功能,智能搭配虚拟试穿
- 301浏览 收藏
-
- 科技周边 · 人工智能 | 1小时前 |
- 微信控制 WorkBuddy 截圖權限設置
- 401浏览 收藏
-
- 科技周边 · 人工智能 | 1小时前 |
- Perplexity Prompt防御技巧与案例解析
- 202浏览 收藏
-
- 科技周边 · 人工智能 | 1小时前 |
- 不用API也能玩:Ollama本地运行DeepSeek教程
- 453浏览 收藏
-
- 科技周边 · 人工智能 | 2小时前 |
- Recraft AI如何生成像素画?复古风创作技巧分享
- 417浏览 收藏
-
- 前端进阶之JavaScript设计模式
- 设计模式是开发人员在软件开发过程中面临一般问题时的解决方案,代表了最佳的实践。本课程的主打内容包括JS常见设计模式以及具体应用场景,打造一站式知识长龙服务,适合有JS基础的同学学习。
- 543次学习
-
- GO语言核心编程课程
- 本课程采用真实案例,全面具体可落地,从理论到实践,一步一步将GO核心编程技术、编程思想、底层实现融会贯通,使学习者贴近时代脉搏,做IT互联网时代的弄潮儿。
- 516次学习
-
- 简单聊聊mysql8与网络通信
- 如有问题加微信:Le-studyg;在课程中,我们将首先介绍MySQL8的新特性,包括性能优化、安全增强、新数据类型等,帮助学生快速熟悉MySQL8的最新功能。接着,我们将深入解析MySQL的网络通信机制,包括协议、连接管理、数据传输等,让
- 500次学习
-
- JavaScript正则表达式基础与实战
- 在任何一门编程语言中,正则表达式,都是一项重要的知识,它提供了高效的字符串匹配与捕获机制,可以极大的简化程序设计。
- 487次学习
-
- 从零制作响应式网站—Grid布局
- 本系列教程将展示从零制作一个假想的网络科技公司官网,分为导航,轮播,关于我们,成功案例,服务流程,团队介绍,数据部分,公司动态,底部信息等内容区块。网站整体采用CSSGrid布局,支持响应式,有流畅过渡和展现动画。
- 485次学习
-
- ChatExcel酷表
- ChatExcel酷表是由北京大学团队打造的Excel聊天机器人,用自然语言操控表格,简化数据处理,告别繁琐操作,提升工作效率!适用于学生、上班族及政府人员。
- 4517次使用
-
- Any绘本
- 探索Any绘本(anypicturebook.com/zh),一款开源免费的AI绘本创作工具,基于Google Gemini与Flux AI模型,让您轻松创作个性化绘本。适用于家庭、教育、创作等多种场景,零门槛,高自由度,技术透明,本地可控。
- 4867次使用
-
- 可赞AI
- 可赞AI,AI驱动的办公可视化智能工具,助您轻松实现文本与可视化元素高效转化。无论是智能文档生成、多格式文本解析,还是一键生成专业图表、脑图、知识卡片,可赞AI都能让信息处理更清晰高效。覆盖数据汇报、会议纪要、内容营销等全场景,大幅提升办公效率,降低专业门槛,是您提升工作效率的得力助手。
- 4743次使用
-
- 星月写作
- 星月写作是国内首款聚焦中文网络小说创作的AI辅助工具,解决网文作者从构思到变现的全流程痛点。AI扫榜、专属模板、全链路适配,助力新人快速上手,资深作者效率倍增。
- 6601次使用
-
- MagicLight
- MagicLight.ai是全球首款叙事驱动型AI动画视频创作平台,专注于解决从故事想法到完整动画的全流程痛点。它通过自研AI模型,保障角色、风格、场景高度一致性,让零动画经验者也能高效产出专业级叙事内容。广泛适用于独立创作者、动画工作室、教育机构及企业营销,助您轻松实现创意落地与商业化。
- 5104次使用
-
- GPT-4王者加冕!读图做题性能炸天,凭自己就能考上斯坦福
- 2023-04-25 501浏览
-
- 单块V100训练模型提速72倍!尤洋团队新成果获AAAI 2023杰出论文奖
- 2023-04-24 501浏览
-
- ChatGPT 真的会接管世界吗?
- 2023-04-13 501浏览
-
- VR的终极形态是「假眼」?Neuralink前联合创始人掏出新产品:科学之眼!
- 2023-04-30 501浏览
-
- 实现实时制造可视性优势有哪些?
- 2023-04-15 501浏览

