AI模拟器在物理仿真领域取得最新突破!
今天golang学习网给大家带来了《AI模拟器在物理仿真领域取得最新突破!》,其中涉及到的知识点包括等等,无论你是小白还是老手,都适合看一看哦~有好的建议也欢迎大家在评论留言,若是看完有所收获,也希望大家能多多点赞支持呀!一起加油学习~
机器学习让计算机图形学(CG)仿真更真实了!
方法名为神经流向图(Neural Flow Maps,NFM),四个涡旋的烟雾也能精确模拟的那种:

更为复杂的也能轻松实现:

要知道,在这个AI应用满天飞的时代,CG物理仿真仍然是传统数值算法的天下。
△NFM模拟“蛙跳”
尽管神经网络应用在CG能创造目眩神迷的视觉效果,它却无法严格、鲁棒地描述物理性质。
△NFM模拟“墨滴”
也正是因此,基于神经网络的物理仿真至今还处于概念验证(proof of concept)的阶段,所生成的效果也远非SOTA。
为了解决这个复杂问题,研究团队来自达特茅斯学院、佐治亚理工学院和斯坦福大学提出了神经流向图这一新方法。他们将神经网络的优势与先进的物理模型结合,实现了前所未有的视觉效果和物理精确性。

该论文发表于图形学顶刊ACM Transactions on Graphics(TOG),并获SIGGRAPH Asia 2023最佳论文。

NFM长啥样?
研究团队的核心观点是:想利用AI去更好地解决物理问题,就不能局限地将可学习模块(learnable modules)嵌入已有的方法框架(例如SPH,stable fluids)中。
现有方法是针对传统数值方法的能力范畴量身定制的,也正因为如此,机器学习的发展所提出的一系列的全新的能力(例如NeRF对时空信号的紧凑表达),往往在已有的框架中找不到用武之地。
因此,研究人员认为与其套用AI在现有的框架中,不如基于AI提出的新能力,来设计数学和数值的新框架,从而最大化这些能力的价值。
物理模型
基于上述思路,研究人员通过对物理和AI进行协同设计(co-design),构建一个超越SOTA的流体模拟器。
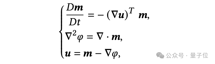
物理部分,NFM首先使用了一套基于冲量的(impulse-based)流体方程,通过对常见的欧拉方程进行度规变换(gauge transformation),确立了速度场与流向图(flow map)以及其空间导数的关系。
换言之,只要可以得到精确的flow map数值解,那么演化的速度场就可以被精确的重构出来。

为了最精确地计算flow map,NFM提出了一个精心设计的“双向行进”(bidirectional marching)数值算法。
该算法比已有算法的精度高出3至5个数量级,但它同时也要求存储长期的时空(spatiotemporal)速度场。
对大规模3D模拟来说,存储单帧的速度场尚且存在挑战,存储数十上百帧的速度场则全然不可行。因此“双向行进”的算法尽管精准,但用传统的手段却无法实现。

神经网络存储
NFM巧妙地结合了基于流向图的物理模型对于存储高精度速度场的需求,和隐式神经表示(implicit neural representation,或INR)进行高质量时空信号压缩的能力,让上述高度精确但无法实现的模拟方法变得可行。


INR通常对每个场景只需训练一次,但NFM却把它用作一个中间变量在模拟的过程中不断的进行更新,这也对INR的性能提出了更苛刻的要求。
针对这点,NFM提出了一种称作SSNF的新型高性能INR。
通过自动规划空间稀疏存储中每个格点的开启状态,以及一个基于Lagrange多项式的时间处理方案,SSNF达到了比Instant-NGP、KPlanes等方法更快的收敛速度,更高的压缩比,以及更高的存储精度。

拿下最新SOTA
实验结果表明,作为一个基于AI的模拟器,NFM显著地超越了SOTA方法:bimocq、covector fluids以及MC+R。
在2D点涡(point vortex)保持的实验中,NFM的平均绝对误差对比其余三者减少了最少14,最多308倍。

在3D蛙跳(leapfrogging vortices)实验中,NFM也显著提升了能量守恒的能力。

同时,这种数值能力体现为对自然现象的更好模拟:根据物理定律,蛙跳中的两对涡管将永不融和,而NFM的两个涡管在完成5次蛙跳后仍然保持分离,对比的方法至多在3次之后就完全融和。

最后,文章还通过一系列算例(如固体交互,瑞利泰勒不稳定性,涡管重连等)展示了NFM在创作复杂视觉效果上的优越性。
在这个层面上值得注意的是,尽管都是利用AI赋予流体更多的细节,现有的AI超分辨率算法只能提升画面细节,但NFM却突破性地以物理的方式提升了动力学细节,从而根本性地提高了流体模拟的真实度。
项目链接:https://yitongdeng-projects.github.io/neural_flow_maps_webpage/
以上就是《AI模拟器在物理仿真领域取得最新突破!》的详细内容,更多关于AI,模拟的资料请关注golang学习网公众号!
在多个测试文件上使用 go.test 命令运行 go.work 文件
- 上一篇
- 在多个测试文件上使用 go.test 命令运行 go.work 文件
- 下一篇
- 如何在文件中提取大小写的单词?
-
- 科技周边 · 人工智能 | 5小时前 | 夸克AI 夸克AI大模型
- 夸克AI如何识别乐器?音乐知识解析
- 295浏览 收藏
-
- 科技周边 · 人工智能 | 5小时前 |
- Perplexity对比云服务价格表格制作教程
- 291浏览 收藏
-
- 科技周边 · 人工智能 | 6小时前 | Sora sora使用
- Sora生成复杂场景视频教程
- 166浏览 收藏
-
- 科技周边 · 人工智能 | 6小时前 | CanvaAI Canva可画
- Canva可画官网入口及使用教程
- 484浏览 收藏
-
- 科技周边 · 人工智能 | 6小时前 |
- 豆包AI冷知识!热点神图制作技巧
- 436浏览 收藏
-
- 科技周边 · 人工智能 | 6小时前 |
- 可灵AI制作婚礼视频,照片变浪漫请柬
- 372浏览 收藏
-
- 科技周边 · 人工智能 | 6小时前 |
- AIUI设计与网页原型进阶教程
- 420浏览 收藏
-
- 科技周边 · 人工智能 | 6小时前 | 文心一言 百度AI文心一言
- 文心一言4.5API费用及使用指南
- 468浏览 收藏
-
- 科技周边 · 人工智能 | 7小时前 |
- 硅谷银行家换豪宅,只收Anthropic股份
- 479浏览 收藏
-
- 科技周边 · 人工智能 | 7小时前 |
- DeepSeekV4微信机器人被封解决方法
- 363浏览 收藏
-
- 科技周边 · 人工智能 | 7小时前 |
- AI作词工具推荐:一键生成原创歌词
- 127浏览 收藏
-
- 科技周边 · 人工智能 | 7小时前 |
- 星火创作儿童故事技巧全解析
- 105浏览 收藏
-
- 前端进阶之JavaScript设计模式
- 设计模式是开发人员在软件开发过程中面临一般问题时的解决方案,代表了最佳的实践。本课程的主打内容包括JS常见设计模式以及具体应用场景,打造一站式知识长龙服务,适合有JS基础的同学学习。
- 543次学习
-
- GO语言核心编程课程
- 本课程采用真实案例,全面具体可落地,从理论到实践,一步一步将GO核心编程技术、编程思想、底层实现融会贯通,使学习者贴近时代脉搏,做IT互联网时代的弄潮儿。
- 516次学习
-
- 简单聊聊mysql8与网络通信
- 如有问题加微信:Le-studyg;在课程中,我们将首先介绍MySQL8的新特性,包括性能优化、安全增强、新数据类型等,帮助学生快速熟悉MySQL8的最新功能。接着,我们将深入解析MySQL的网络通信机制,包括协议、连接管理、数据传输等,让
- 500次学习
-
- JavaScript正则表达式基础与实战
- 在任何一门编程语言中,正则表达式,都是一项重要的知识,它提供了高效的字符串匹配与捕获机制,可以极大的简化程序设计。
- 487次学习
-
- 从零制作响应式网站—Grid布局
- 本系列教程将展示从零制作一个假想的网络科技公司官网,分为导航,轮播,关于我们,成功案例,服务流程,团队介绍,数据部分,公司动态,底部信息等内容区块。网站整体采用CSSGrid布局,支持响应式,有流畅过渡和展现动画。
- 485次学习
-
- ChatExcel酷表
- ChatExcel酷表是由北京大学团队打造的Excel聊天机器人,用自然语言操控表格,简化数据处理,告别繁琐操作,提升工作效率!适用于学生、上班族及政府人员。
- 4480次使用
-
- Any绘本
- 探索Any绘本(anypicturebook.com/zh),一款开源免费的AI绘本创作工具,基于Google Gemini与Flux AI模型,让您轻松创作个性化绘本。适用于家庭、教育、创作等多种场景,零门槛,高自由度,技术透明,本地可控。
- 4823次使用
-
- 可赞AI
- 可赞AI,AI驱动的办公可视化智能工具,助您轻松实现文本与可视化元素高效转化。无论是智能文档生成、多格式文本解析,还是一键生成专业图表、脑图、知识卡片,可赞AI都能让信息处理更清晰高效。覆盖数据汇报、会议纪要、内容营销等全场景,大幅提升办公效率,降低专业门槛,是您提升工作效率的得力助手。
- 4706次使用
-
- 星月写作
- 星月写作是国内首款聚焦中文网络小说创作的AI辅助工具,解决网文作者从构思到变现的全流程痛点。AI扫榜、专属模板、全链路适配,助力新人快速上手,资深作者效率倍增。
- 6499次使用
-
- MagicLight
- MagicLight.ai是全球首款叙事驱动型AI动画视频创作平台,专注于解决从故事想法到完整动画的全流程痛点。它通过自研AI模型,保障角色、风格、场景高度一致性,让零动画经验者也能高效产出专业级叙事内容。广泛适用于独立创作者、动画工作室、教育机构及企业营销,助您轻松实现创意落地与商业化。
- 5076次使用
-
- GPT-4王者加冕!读图做题性能炸天,凭自己就能考上斯坦福
- 2023-04-25 501浏览
-
- 单块V100训练模型提速72倍!尤洋团队新成果获AAAI 2023杰出论文奖
- 2023-04-24 501浏览
-
- ChatGPT 真的会接管世界吗?
- 2023-04-13 501浏览
-
- VR的终极形态是「假眼」?Neuralink前联合创始人掏出新产品:科学之眼!
- 2023-04-30 501浏览
-
- 实现实时制造可视性优势有哪些?
- 2023-04-15 501浏览



