示例剖析golang中的CSP并发模型
怎么入门Golang编程?需要学习哪些知识点?这是新手们刚接触编程时常见的问题;下面golang学习网就来给大家整理分享一些知识点,希望能够给初学者一些帮助。本篇文章就来介绍《示例剖析golang中的CSP并发模型》,涉及到CSP并发模型,有需要的可以收藏一下
1. 相关概念:
用户态:当一个进程在执行用户自己的代码时处于用户运行态(用户态)
内核态:当一个进程因为系统调用陷入内核代码中执行时处于内核运行态(内核态),引入内核态防止用户态的程序随意的操作内核地址空间,具有一定的安全保护作用。这种保护模式是通过内存页表操作等机制,保证进程间的地址空间不会相互冲突,一个进程的操作不会修改另一个进程地址空间中的数据。
用户态与内核态之间的切换:当在系统中执行一个程序时,大部分时间都是运行在用户态下的,在其需要操作系统帮助完成一些用户态自己没有特权和能力完成的操作时就会切换到内核态。有以下三种方式:
(1)系统调用(中断)用户态进程主动要求切换到内核态的一种方式。
(2)异常cpu运行时如果发生一些没有预知的异常,会触发当前进程切换到处理此异常的内核相关进程中。
(3)外围设备的中断用户态进程主动要求切换到内核态的一种方式。
协程:又称微线程,纤程。英文名Coroutine。Coroutine是一种运行在用户态的用户线程,类似于 greenthread。协程与线程都相互独立,且有自己的上下文,不同之处在于,协程的切换由其自身控制,而线程的切换收到系统调度。
2. CSP (通信顺序进程)
CSP模型用来描述两个独立的并发实体通过共享的通讯channel管道进行通信的并发模型。
golang借用了CSP模型的一些概念如:实体 process,通道 channel,为之实现并发进行了理论支持,实际上并没有完全实现CSP模型的所有理论。process是在go语言上的表现就是goroutine,是实际上并发执行的实体,每个实体之间是通过channel通讯来实现数据共享。
3. channel:同步&传递消息
channel是被单独创建并且可以在进程之间传递,它的通信模式类似于boss-worker模式,一个实体通过将消息发送到channel中,然后又监听这个channel的实体处理,两个实体之间是匿名的,实现原理上其实是一个阻塞的消息队列。
具体可以分为:有/无缓存channel,只读channel,只写channel,双向channel
写操作:chan
读操作:
// Create channel // Unbuffered channel umbuffer_chan := make(chan int) // Buffered channel // Buffer Size = 3 buffer_chan := make(chan int,3) // Read-Only channel read_channel := make(<-chan int) // Receive-Only channel receive_channel := make(chan<- int)
生产者-消费者Sample:
package main
import (
"fmt"
"time"
)
// 生产者
func Producer (queue chan<- int){
for i:= 0; i < 10; i++ {
queue <- i
}
}
// 消费者
func Consumer( queue <-chan int){
for i :=0; i < 10; i++{
v := <- queue
fmt.Println("receive:", v)
}
}
func main(){
queue := make(chan int, 1)
go Producer(queue)
go Consumer(queue)
time.Sleep(1e9) //让Producer与Consumer完成
}
4. goroutine:实际并发执行的实体
在函数或者方法前面加上关键字go,就创建了并发运行的goroutine,eg:
go func (){
}
func Test(){
}
// ...
go Test()
实例代码:
package main // 代码包声明语句。
import (
"fmt" //系统包用来输出的
"math/rand"
"runtime"
"sync"
"time"
)
func main() {
// 分配一个逻辑处理器给调度器使用
runtime.GOMAXPROCS(1)
// WaitGroup是一个计数信号量,用来记录和维护运行的goroutine,如果当前的wg>0,对应的exit方法就会阻塞
var wg sync.WaitGroup
// 计数加2表示要等待两个goroutine
wg.Add(2)
fmt.Printf("Start Goroutines \n", )
// 声明匿名函数,创建goroutine
go func(){
// 关键字defer会修改函数调用时机,在函数退出时调用Done来通知main函数工作已经完成
defer wg.Done()
for count:=0; count<3; count++ {
for char :='a'; char<'a'+26 ; char++ {
fmt.Printf("%c ", char)
}
}
}()
// 声明匿名函数,创建goroutine
go func() {
// 函数退出时调用Done来通知main函数工作已经完成
defer wg.Done()
for count:=0; count<3; count++ {
for char :='A'; char<'A'+26 ; char++ {
fmt.Printf("%c ", char)
}
}
}()
fmt.Println("Waiting to finish!\n", )
// 等待结束
wg.Wait()
fmt.Println("\nTerminate program! \n", )
}
5. golang调度器
OS在物理处理器上调度线程来运行,而golang在逻辑处理器上调度goroutine来运行。每个逻辑处理器都分别绑定到单个操作系统线程。
如果创建一个goroutine并准备运行,这个goroutine就会被放到调度器的全局运行队列中。之后,调度器就会将队列中的goroutine分配给一个逻辑处理器,并放到这个逻辑处理器对应的本地运行队列中。本地运行队列中的goroutine会一直等待,知道自己被分配到相应的逻辑处理器上运行。
eg:

其中:
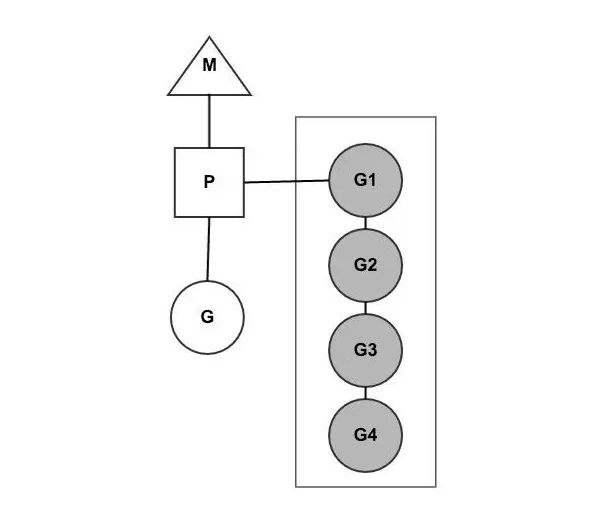
M:Machine,一个M直接关联了一个内核线程。
P:Processor,代表了M所需要的上下文环境,也就是处理用户级代码逻辑的处理器。
G:Goroutine,本质上是一种轻量级的线程--协程。
MPG模型,三者关系的宏观图为:

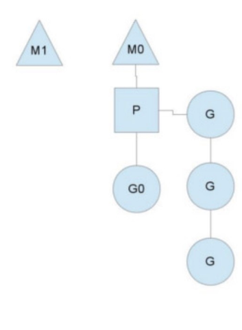
Processor的作用:
当内核线程阻塞的时候,由于上下文的存在,我们能够直接放开其他线程,继续去执行未阻塞的线程,例子如下:

如果当前,G0由于I/O,系统调用进行了阻塞,这个时候M0就可以放开其他的线程:

M0和G0进行系统调用,等待返回值,上下文P以及routine队列交由M1进行执行。当M0执行系统调用结束后,M0会尝试去steal("偷")一个上下文,如果不成功,M0就把它的G0放到一个全局的运行队列中,然后将自己放到线程池或者转入休眠状态。
Global runqueue是各个上下文P在运行完自己的本地的goroutine runqueue后用来拉取新的goroutine的地方(steal working算法)。此外,P也会周期性的检查Global runqueue上的goroutine,来防止全局上的goroutine因为得不到执行而饿死。
以上就是本文的全部内容了,是否有顺利帮助你解决问题?若是能给你带来学习上的帮助,请大家多多支持golang学习网!更多关于Golang的相关知识,也可关注golang学习网公众号。
Go到底能不能实现安全的双检锁(推荐)
- 上一篇
- Go到底能不能实现安全的双检锁(推荐)
- 下一篇
- GolangCSP并发机制及使用模型
-
- Golang · Go教程 | 2分钟前 |
- Golang开发K8sOperator实战教程
- 298浏览 收藏
-
- Golang · Go教程 | 16分钟前 |
- Golang容器DNS解析与ndots优化技巧
- 312浏览 收藏
-
- Golang · Go教程 | 19分钟前 |
- Go语言实现命令行进度条详解
- 483浏览 收藏
-
- Golang · Go教程 | 26分钟前 |
- Golang实现观察者模式:对象状态变化通知多观察者
- 229浏览 收藏
-
- Golang · Go教程 | 30分钟前 |
- Golang指针优化大对象传递技巧
- 493浏览 收藏
-
- Golang · Go教程 | 32分钟前 |
- Golang并发Map读写问题解决方法
- 433浏览 收藏
-
- Golang · Go教程 | 37分钟前 |
- Golang数组遍历技巧与方法
- 326浏览 收藏
-
- Golang · Go教程 | 47分钟前 |
- Golangbytes包操作字节切片方法
- 116浏览 收藏
-
- Golang · Go教程 | 54分钟前 |
- Golang模拟数据与mock使用详解
- 420浏览 收藏
-
- Golang · Go教程 | 56分钟前 |
- Podman构建Go应用,无守护进程容器方案
- 164浏览 收藏
-
- Golang · Go教程 | 1小时前 |
- Golang快照测试:GoldenFiles验证输出
- 210浏览 收藏
-
- Golang · Go教程 | 1小时前 |
- Golang项目.gitignore配置技巧
- 119浏览 收藏
-
- 前端进阶之JavaScript设计模式
- 设计模式是开发人员在软件开发过程中面临一般问题时的解决方案,代表了最佳的实践。本课程的主打内容包括JS常见设计模式以及具体应用场景,打造一站式知识长龙服务,适合有JS基础的同学学习。
- 543次学习
-
- GO语言核心编程课程
- 本课程采用真实案例,全面具体可落地,从理论到实践,一步一步将GO核心编程技术、编程思想、底层实现融会贯通,使学习者贴近时代脉搏,做IT互联网时代的弄潮儿。
- 516次学习
-
- 简单聊聊mysql8与网络通信
- 如有问题加微信:Le-studyg;在课程中,我们将首先介绍MySQL8的新特性,包括性能优化、安全增强、新数据类型等,帮助学生快速熟悉MySQL8的最新功能。接着,我们将深入解析MySQL的网络通信机制,包括协议、连接管理、数据传输等,让
- 500次学习
-
- JavaScript正则表达式基础与实战
- 在任何一门编程语言中,正则表达式,都是一项重要的知识,它提供了高效的字符串匹配与捕获机制,可以极大的简化程序设计。
- 487次学习
-
- 从零制作响应式网站—Grid布局
- 本系列教程将展示从零制作一个假想的网络科技公司官网,分为导航,轮播,关于我们,成功案例,服务流程,团队介绍,数据部分,公司动态,底部信息等内容区块。网站整体采用CSSGrid布局,支持响应式,有流畅过渡和展现动画。
- 485次学习
-
- ChatExcel酷表
- ChatExcel酷表是由北京大学团队打造的Excel聊天机器人,用自然语言操控表格,简化数据处理,告别繁琐操作,提升工作效率!适用于学生、上班族及政府人员。
- 4216次使用
-
- Any绘本
- 探索Any绘本(anypicturebook.com/zh),一款开源免费的AI绘本创作工具,基于Google Gemini与Flux AI模型,让您轻松创作个性化绘本。适用于家庭、教育、创作等多种场景,零门槛,高自由度,技术透明,本地可控。
- 4574次使用
-
- 可赞AI
- 可赞AI,AI驱动的办公可视化智能工具,助您轻松实现文本与可视化元素高效转化。无论是智能文档生成、多格式文本解析,还是一键生成专业图表、脑图、知识卡片,可赞AI都能让信息处理更清晰高效。覆盖数据汇报、会议纪要、内容营销等全场景,大幅提升办公效率,降低专业门槛,是您提升工作效率的得力助手。
- 4455次使用
-
- 星月写作
- 星月写作是国内首款聚焦中文网络小说创作的AI辅助工具,解决网文作者从构思到变现的全流程痛点。AI扫榜、专属模板、全链路适配,助力新人快速上手,资深作者效率倍增。
- 6104次使用
-
- MagicLight
- MagicLight.ai是全球首款叙事驱动型AI动画视频创作平台,专注于解决从故事想法到完整动画的全流程痛点。它通过自研AI模型,保障角色、风格、场景高度一致性,让零动画经验者也能高效产出专业级叙事内容。广泛适用于独立创作者、动画工作室、教育机构及企业营销,助您轻松实现创意落地与商业化。
- 4821次使用
-
- GolangCSP并发机制及使用模型
- 2023-01-01 353浏览
-
- Go语言CSP并发模型实现MPG
- 2022-12-29 305浏览
-
- CSPcommunicatingsequentialprocesses并发模型
- 2023-01-01 372浏览
-
- Go语言CSP并发模型goroutine及channel底层实现原理
- 2022-12-31 451浏览

