Python怎么实现softmax反向传播
来源:亿速云
2024-04-07 14:51:30
0浏览
收藏
“纵有疾风来,人生不言弃”,这句话送给正在学习文章的朋友们,也希望在阅读本文《Python怎么实现softmax反向传播》后,能够真的帮助到大家。我也会在后续的文章中,陆续更新文章相关的技术文章,有好的建议欢迎大家在评论留言,非常感谢!
反向传播求导
可以看到,softmax 计算了多个神经元的输入,在反向传播求导时,需要考虑对不同神经元的参数求导。
分两种情况考虑:
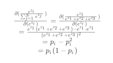
当求导的参数位于分子时
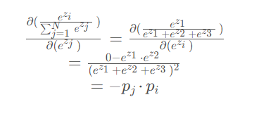
当求导的参数位于分母时

当求导的参数位于分子时:

当求导的参数位于分母时(ez2 or ez3这两个是对称的,求导结果是一样的):


代码
import torch import math def my_softmax(features): _sum = 0 for i in features: _sum += math.e ** i return torch.Tensor([ math.e ** i / _sum for i in features ]) def my_softmax_grad(outputs): n = len(outputs) grad = [] for i in range(n): temp = [] for j in range(n): if i == j: temp.append(outputs[i] * (1- outputs[i])) else: temp.append(-outputs[j] * outputs[i]) grad.append(torch.Tensor(temp)) return grad if __name__ == '__main__': features = torch.randn(10) features.requires_grad_() torch_softmax = torch.nn.functional.softmax p1 = torch_softmax(features,dim=0) p2 = my_softmax(features) print(torch.allclose(p1,p2)) n = len(p1) p2_grad = my_softmax_grad(p2) for i in range(n): p1_grad = torch.autograd.grad(p1[i],features, retain_graph=True) print(torch.allclose(p1_grad[0], p2_grad[i]))
今天关于《Python怎么实现softmax反向传播》的内容介绍就到此结束,如果有什么疑问或者建议,可以在golang学习网公众号下多多回复交流;文中若有不正之处,也希望回复留言以告知!
版本声明
本文转载于:亿速云 如有侵犯,请联系study_golang@163.com删除
如果没有换行符,如何从 reader.ReadString 获取最后一行
- 上一篇
- 如果没有换行符,如何从 reader.ReadString 获取最后一行
- 下一篇
- Linux怎么修改root用户名称
查看更多
最新文章
-
- 文章 · python教程 | 9分钟前 |
- Python操作SQLite报DatabaseLocked怎么办_设置timeout参数或优化事务提交
- 290浏览 收藏
-
- 文章 · python教程 | 28分钟前 |
- Python深度学习使用Transformer模型构建文本生成器的流程【教学】
- 211浏览 收藏
-
- 文章 · python教程 | 46分钟前 |
- Python怎么避免Flask-SocketIO掉线断连问题_配置ping_interval与心跳保活
- 456浏览 收藏
-
- 文章 · python教程 | 1小时前 |
- 详解 Python 的垃圾回收机制:引用计数与分代回收
- 182浏览 收藏
-
- 文章 · python教程 | 1小时前 |
- Python Django中如何实现动态修改定时任务_通过数据库驱动的Celery调度器
- 408浏览 收藏
-
- 文章 · python教程 | 1小时前 |
- 为什么Python中的XGBoost比GBDT训练更快_解析直方图算法优化
- 474浏览 收藏
-
- 文章 · python教程 | 1小时前 | Python 浮点型取整
- python中如何浮点型取整
- 339浏览 收藏
-
- 文章 · python教程 | 2小时前 |
- Flask文件下载怎么做_send_file()与send_from_directory()方法
- 252浏览 收藏
-
- 文章 · python教程 | 2小时前 |
- 如何找出列表中出现次数最多的元素?
- 452浏览 收藏
-
- 文章 · python教程 | 2小时前 |
- 如何在 SymPy 中正确执行向量减法:避免标量与向量混淆的常见错误
- 329浏览 收藏
-
- 文章 · python教程 | 2小时前 |
- Python Pyecharts怎么用_生成酷炫交互式HTML网页图表
- 202浏览 收藏
-
- 文章 · python教程 | 2小时前 |
- csv.DictReader 如何处理标题行缺失或重复的情况
- 303浏览 收藏
查看更多
课程推荐
-
- 前端进阶之JavaScript设计模式
- 设计模式是开发人员在软件开发过程中面临一般问题时的解决方案,代表了最佳的实践。本课程的主打内容包括JS常见设计模式以及具体应用场景,打造一站式知识长龙服务,适合有JS基础的同学学习。
- 543次学习
-
- GO语言核心编程课程
- 本课程采用真实案例,全面具体可落地,从理论到实践,一步一步将GO核心编程技术、编程思想、底层实现融会贯通,使学习者贴近时代脉搏,做IT互联网时代的弄潮儿。
- 516次学习
-
- 简单聊聊mysql8与网络通信
- 如有问题加微信:Le-studyg;在课程中,我们将首先介绍MySQL8的新特性,包括性能优化、安全增强、新数据类型等,帮助学生快速熟悉MySQL8的最新功能。接着,我们将深入解析MySQL的网络通信机制,包括协议、连接管理、数据传输等,让
- 500次学习
-
- JavaScript正则表达式基础与实战
- 在任何一门编程语言中,正则表达式,都是一项重要的知识,它提供了高效的字符串匹配与捕获机制,可以极大的简化程序设计。
- 487次学习
-
- 从零制作响应式网站—Grid布局
- 本系列教程将展示从零制作一个假想的网络科技公司官网,分为导航,轮播,关于我们,成功案例,服务流程,团队介绍,数据部分,公司动态,底部信息等内容区块。网站整体采用CSSGrid布局,支持响应式,有流畅过渡和展现动画。
- 485次学习
查看更多
AI推荐
-
- ChatExcel酷表
- ChatExcel酷表是由北京大学团队打造的Excel聊天机器人,用自然语言操控表格,简化数据处理,告别繁琐操作,提升工作效率!适用于学生、上班族及政府人员。
- 4443次使用
-
- Any绘本
- 探索Any绘本(anypicturebook.com/zh),一款开源免费的AI绘本创作工具,基于Google Gemini与Flux AI模型,让您轻松创作个性化绘本。适用于家庭、教育、创作等多种场景,零门槛,高自由度,技术透明,本地可控。
- 4799次使用
-
- 可赞AI
- 可赞AI,AI驱动的办公可视化智能工具,助您轻松实现文本与可视化元素高效转化。无论是智能文档生成、多格式文本解析,还是一键生成专业图表、脑图、知识卡片,可赞AI都能让信息处理更清晰高效。覆盖数据汇报、会议纪要、内容营销等全场景,大幅提升办公效率,降低专业门槛,是您提升工作效率的得力助手。
- 4679次使用
-
- 星月写作
- 星月写作是国内首款聚焦中文网络小说创作的AI辅助工具,解决网文作者从构思到变现的全流程痛点。AI扫榜、专属模板、全链路适配,助力新人快速上手,资深作者效率倍增。
- 6466次使用
-
- MagicLight
- MagicLight.ai是全球首款叙事驱动型AI动画视频创作平台,专注于解决从故事想法到完整动画的全流程痛点。它通过自研AI模型,保障角色、风格、场景高度一致性,让零动画经验者也能高效产出专业级叙事内容。广泛适用于独立创作者、动画工作室、教育机构及企业营销,助您轻松实现创意落地与商业化。
- 5050次使用
查看更多
相关文章
-
- Flask框架安装技巧:让你的开发更高效
- 2024-01-03 501浏览
-
- Django框架中的并发处理技巧
- 2024-01-22 501浏览
-
- 提升Python包下载速度的方法——正确配置pip的国内源
- 2024-01-17 501浏览
-
- Python与C++:哪个编程语言更适合初学者?
- 2024-03-25 501浏览
-
- 品牌建设技巧
- 2024-04-06 501浏览

