适用于 Golang 的新 PostgreSQL ORM:企业版
偷偷努力,悄无声息地变强,然后惊艳所有人!哈哈,小伙伴们又来学习啦~今天我将给大家介绍《适用于 Golang 的新 PostgreSQL ORM:企业版》,这篇文章主要会讲到等等知识点,不知道大家对其都有多少了解,下面我们就一起来看一吧!当然,非常希望大家能多多评论,给出合理的建议,我们一起学习,一起进步!
为什么我们需要一个新的 orm?
实际上有一些不错的 orm 可用,但它们只是不能满足我的需求。那我想要什么?
- 高性能
- 架构即代码
- 静态输入和生成的 api 代码
- 生成的文件较少
- 简单实用
- 简单的 rawsql 使用
- 连接关系时单个数据库命中过滤器
目前我还不能说企业在我提到的所有事情上都做得很好。但它的目的就是这样做。
那么让我们看看企业是做什么的。
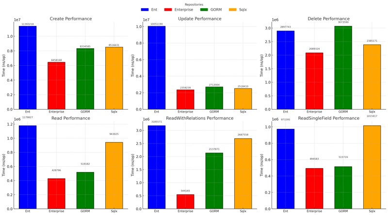
高性能
您可以在此处查看基准测试源代码。
https://github.com/mrsametburgazoglu/go-orm-benchmarks/tree/enterprise

如您所见,企业的性能非常出色。
架构即代码
像许多其他企业一样,企业从您的代码生成数据库模型。
这是一个小例子
// db_models/account.go
package db_models
import (
"github.com/mrsametburgazoglu/enterprise/models"
"github.com/google/uuid"
)
func account() *models.table {
idfield := models.uuidfield("id").defaultfunc(uuid.new)
tb := &models.table{
fields: []models.fieldi{
idfield,
models.stringfield("name"),
models.stringfield("surname"),
models.uuidfield("testid").setnillable(),
},
relations: []*models.relation{
models.manytoone(testname, idfield.dbname, "test_id"),
models.manytomany(groupname, "account_id", "group_id", "id", accountgroupname),
},
}
tb.settablename(accountname)
tb.setidfield(idfield)
return tb
}
// generate/generate.go
package main
import (
"example/db_models"
"github.com/mrsametburgazoglu/enterprise/generate"
)
func main() {
generate.models(
db_models.test(),
db_models.account(),
db_models.group(),
)
}
当您执行上面的脚本时,它将创建一个名为 models 的包,并为每个名为 model.go 和 model_predicates.go 的表放置两个文件。并且会有一个client.go用于使用db。
静态输入和生成的 api 代码
自动生成模型后,您可以创建并获取模型。
import "/your/project/models" // your auto-generated models package
func main() {
db, err := models.newdb(dburl)
if err != nil {
panic(err)
}
ctx := context.background()
account := models.newaccount(ctx, db)
account.setname("name")
account.setsurname("surname")
err = account.create()//row added to table
if err != nil {
log.fatal(err)
}
}
import "/your/project/models" // your auto-generated models package
func main() {
db, err := models.newdb(dburl)
if err != nil {
panic(err)
}
ctx := context.background()
account := models.newaccount(ctx, db)
account.where(account.isidequal(uuid.new()))
err = account.get()//row variables set to account struct
if err != nil {
log.fatal(err)
}
}
生成的文件较少
就像我之前说过的,企业为每个表生成 2 个文件,以及一个使用所有这些表的客户端文件。它在自己的包中处理大多数情况,这样您将拥有更干净的结构。
简单实用
enterprise 的目标是与数据库字段进行简单且功能性的交互。为此,字段具有辅助函数。
假设表上有一个名为face_id 的可为空的uuid,并且用*uuid 表示它。 enterprise 将生成一个辅助函数来用字符串设置它。这样你就不需要获取该变量的指针。
func (t *account) setfaceidvalue(v uuid.uuid)
如果你有一个 uuid 字段,它将创建一个解析器助手。
func (t *account) parsefaceid(v string) error
对于某些值类型,它将有 in 子句。
func (t *account) faceidin(v ...uuid.uuid) bool func (t *account) faceidnotin(v ...uuid.uuid) bool
对于 time.time 它将创建这些辅助函数。
func (t *account) formatcreatedat(v string) string func (t *account) parsecreatedat(layout, value string) error
简单的 rawsql 用法
企业可以创建复杂的查询,但始终需要 rawsql。因此,您可以使用 models.idatabase 与 pgx 交互。如果需要,我们计划将原始 sql 结果扫描到您的数据库模型或您使用关系创建的自定义结构。
连接关系时单个数据库命中过滤器
enterprise 与其他产品的最重要区别之一是可以连接关系并通过单个查询过滤它们。
一个例子是这样的。让我们来看看学生答错的测试题,并且测试分数高于 80。
s := models.NewStudent(ctx, db)
s.Where(s.IsIDEqual(studentID))
s.WithTestList(func(testList *models.TestList) {
testList.Where(
testList.IsPointGreaterThan(80),
)
testList.Order(models.CreatedAtField)
testList.WithQuestionList(func(questionList *models.QuestionList){
questionList.Where(
questionList.IsAnswerEqual(False),
)
})
})
err = s.Get()//row variables set to model and its relations struct.
if err != nil {
log.Fatal(err)
}
对于存储库:https://github.com/mrsametburgazoglu/enterprise
如需文档:https://mrsametburgazoglu.github.io/enterprise_docs/
好了,本文到此结束,带大家了解了《适用于 Golang 的新 PostgreSQL ORM:企业版》,希望本文对你有所帮助!关注golang学习网公众号,给大家分享更多Golang知识!
北京工业大学计算机学院在多个国际权威会议发表研究成果
- 上一篇
- 北京工业大学计算机学院在多个国际权威会议发表研究成果
- 下一篇
- 电脑开机时键盘灯不亮的原因及解决办法
-
- Golang · Go教程 | 11分钟前 |
- Golang管道模式:流式计算与并发设计解析
- 410浏览 收藏
-
- Golang · Go教程 | 16分钟前 |
- Gomodvendor依赖打包教程
- 294浏览 收藏
-
- Golang · Go教程 | 21分钟前 |
- Golang实现反向Shell教程详解
- 189浏览 收藏
-
- Golang · Go教程 | 22分钟前 |
- Golang并发性能测试:多协程benchmark实战
- 225浏览 收藏
-
- Golang · Go教程 | 36分钟前 |
- Go语言嵌入结构体初始化方法详解
- 130浏览 收藏
-
- Golang · Go教程 | 44分钟前 |
- Golang图像处理:color包像素与滤镜教程
- 243浏览 收藏
-
- Golang · Go教程 | 57分钟前 |
- GolangHTTP请求统计实现方法
- 452浏览 收藏
-
- Golang · Go教程 | 1小时前 |
- Golang配置中心实现及Viper读取教程
- 349浏览 收藏
-
- Golang · Go教程 | 1小时前 |
- Golang数组指针定义与使用方法
- 272浏览 收藏
-
- Golang · Go教程 | 1小时前 |
- Golang微服务限流与网关控制方法
- 220浏览 收藏
-
- Golang · Go教程 | 1小时前 |
- Golang协程栈监控与数量管理
- 264浏览 收藏
-
- Golang · Go教程 | 1小时前 |
- Golang结构体方法与数据操作全解析
- 266浏览 收藏
-
- 前端进阶之JavaScript设计模式
- 设计模式是开发人员在软件开发过程中面临一般问题时的解决方案,代表了最佳的实践。本课程的主打内容包括JS常见设计模式以及具体应用场景,打造一站式知识长龙服务,适合有JS基础的同学学习。
- 543次学习
-
- GO语言核心编程课程
- 本课程采用真实案例,全面具体可落地,从理论到实践,一步一步将GO核心编程技术、编程思想、底层实现融会贯通,使学习者贴近时代脉搏,做IT互联网时代的弄潮儿。
- 516次学习
-
- 简单聊聊mysql8与网络通信
- 如有问题加微信:Le-studyg;在课程中,我们将首先介绍MySQL8的新特性,包括性能优化、安全增强、新数据类型等,帮助学生快速熟悉MySQL8的最新功能。接着,我们将深入解析MySQL的网络通信机制,包括协议、连接管理、数据传输等,让
- 500次学习
-
- JavaScript正则表达式基础与实战
- 在任何一门编程语言中,正则表达式,都是一项重要的知识,它提供了高效的字符串匹配与捕获机制,可以极大的简化程序设计。
- 487次学习
-
- 从零制作响应式网站—Grid布局
- 本系列教程将展示从零制作一个假想的网络科技公司官网,分为导航,轮播,关于我们,成功案例,服务流程,团队介绍,数据部分,公司动态,底部信息等内容区块。网站整体采用CSSGrid布局,支持响应式,有流畅过渡和展现动画。
- 485次学习
-
- ChatExcel酷表
- ChatExcel酷表是由北京大学团队打造的Excel聊天机器人,用自然语言操控表格,简化数据处理,告别繁琐操作,提升工作效率!适用于学生、上班族及政府人员。
- 4218次使用
-
- Any绘本
- 探索Any绘本(anypicturebook.com/zh),一款开源免费的AI绘本创作工具,基于Google Gemini与Flux AI模型,让您轻松创作个性化绘本。适用于家庭、教育、创作等多种场景,零门槛,高自由度,技术透明,本地可控。
- 4576次使用
-
- 可赞AI
- 可赞AI,AI驱动的办公可视化智能工具,助您轻松实现文本与可视化元素高效转化。无论是智能文档生成、多格式文本解析,还是一键生成专业图表、脑图、知识卡片,可赞AI都能让信息处理更清晰高效。覆盖数据汇报、会议纪要、内容营销等全场景,大幅提升办公效率,降低专业门槛,是您提升工作效率的得力助手。
- 4459次使用
-
- 星月写作
- 星月写作是国内首款聚焦中文网络小说创作的AI辅助工具,解决网文作者从构思到变现的全流程痛点。AI扫榜、专属模板、全链路适配,助力新人快速上手,资深作者效率倍增。
- 6108次使用
-
- MagicLight
- MagicLight.ai是全球首款叙事驱动型AI动画视频创作平台,专注于解决从故事想法到完整动画的全流程痛点。它通过自研AI模型,保障角色、风格、场景高度一致性,让零动画经验者也能高效产出专业级叙事内容。广泛适用于独立创作者、动画工作室、教育机构及企业营销,助您轻松实现创意落地与商业化。
- 4826次使用
-
- Golangmap实践及实现原理解析
- 2022-12-28 505浏览
-
- go和golang的区别解析:帮你选择合适的编程语言
- 2023-12-29 503浏览
-
- 试了下Golang实现try catch的方法
- 2022-12-27 502浏览
-
- 如何在go语言中实现高并发的服务器架构
- 2023-08-27 502浏览
-
- 提升工作效率的Go语言项目开发经验分享
- 2023-11-03 502浏览

