统计科学之时间序列预测(中)
数据库小白一枚,正在不断学习积累知识,现将学习到的知识记录一下,也是将我的所得分享给大家!而今天这篇文章《统计科学之时间序列预测(中)》带大家来了解一下统计科学之时间序列预测(中),希望对大家的知识积累有所帮助,从而弥补自己的不足,助力实战开发!
上一篇文章我们介绍的时间预测的方法基本都是通过历史数据直接求平均算出来的的。这一篇讲一些用模型来预测的方法。
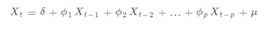
1.AR(p)模型
先讲第一个AR模型,AR的全称是Auto Regression,表示自回归,大家应该都知道普通的回归方程,都是用x去回归y,这里的x和y一般不是同一个东西。而我们这里的自回归顾名思义就是用自己回归自己,也就是x和y都是时间序列自己。具体的模型如下:

上面模型中,Xt表示t期的值,当期的值由前p期的值来决定,δ值是常数项,相当于普通回归中的截距项,μ是随机误差,因为当期值总有一些因素是我们没考虑进去的,而这些因素带来的的当期值的改变,我们就把它归到μ部分中。
AR模型与我们前面讲过的加权平均之间的区别就是多了常数项和误差项。
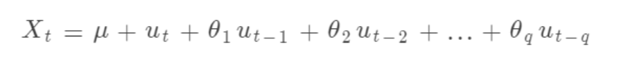
2.MA(q)模型
MA的全称是Moving Average,表示移动平均。具体模型如下:

上面模型中,Xt表示t期的值,当期的值由前q期的误差值来决定,μ值是常数项,相当于普通回归中的截距项,ut是当期的随机误差。MA模型的核心思想是每一期的随机误差都会影响当期值,把前q期的所有误差加起来就是对t期值的影响。
3.ARMA(p,q)模型
ARMA模型其实就是把上面两个模型进行合并,就是认为t期值不仅与前p期的x值有关,而且还与前q期对应的每一期的误差有关,这两部分共同决定了目前t期的值,具体的模型如下:

4.ARIMA(p,d,q)模型
ARIMA模型是在ARMA模型的基础上进行改造的,ARMA模型是针对t期值进行建模的,而ARIMA是针对t期与t-d期之间差值进行建模,我们把这种不同期之间做差称为差分,这里的d是几就是几阶差分。
还是拿gdp数据为例,下图就是一阶差分以及一阶差分以后的结果:

下图为一阶差分前后的gdp趋势图,可以看出实际gdp值为持续上升趋势,差分后变成了随机波动:

ARIMA的的具体模型如下:

上面公式中的wt表示t期经过d阶差分以后的结果。我们可以看到ARIMA模型的形式基本与ARMA的形式是一致的,只不过把X换成了w。
5.最后
当数据是平稳时间序列时可以使用前面的三个模型,当数据是非平稳时间序列时,可以使用最后一个,通过差分的方式将非平稳时间时间序列转化为平稳时间序列。
今天关于《统计科学之时间序列预测(中)》的内容就介绍到这里了,是不是学起来一目了然!想要了解更多关于mysql的内容请关注golang学习网公众号!
统计科学之加权最小二乘法
- 上一篇
- 统计科学之加权最小二乘法
- 下一篇
- 统计科学之你能分清比例和比率吗?
-
- 数据库 · MySQL | 1星期前 |
- MySQL常用存储引擎及InnoDB与MyISAM对比分析
- 184浏览 收藏
-
- 数据库 · MySQL | 2星期前 |
- MySQL连接池配置与优化方法
- 147浏览 收藏
-
- 数据库 · MySQL | 2星期前 |
- MySQL内存优化技巧与参数设置解析
- 295浏览 收藏
-
- 数据库 · MySQL | 2星期前 |
- 主键外键关系解析与作用详解
- 413浏览 收藏
-
- 数据库 · MySQL | 2星期前 |
- MySQL数据库备份与安全方案详解
- 175浏览 收藏
-
- 数据库 · MySQL | 3星期前 |
- MySQL增删改查语法速查表大全
- 174浏览 收藏
-
- 数据库 · MySQL | 1个月前 |
- MySQLupdate语句使用详解
- 120浏览 收藏
-
- 数据库 · MySQL | 1个月前 |
- MySQL数据库创建与字符集设置教程
- 404浏览 收藏
-
- 数据库 · MySQL | 1个月前 |
- MySQL基础命令速查:增删改查全攻略
- 427浏览 收藏
-
- 数据库 · MySQL | 1个月前 |
- MySQL优化Join查询的技巧与策略解析
- 351浏览 收藏
-
- 数据库 · MySQL | 1个月前 |
- MySQL常用数据类型有哪些及如何选择
- 156浏览 收藏
-
- 数据库 · MySQL | 1个月前 |
- MySQL增删改查语法速查手册
- 405浏览 收藏
-
- 前端进阶之JavaScript设计模式
- 设计模式是开发人员在软件开发过程中面临一般问题时的解决方案,代表了最佳的实践。本课程的主打内容包括JS常见设计模式以及具体应用场景,打造一站式知识长龙服务,适合有JS基础的同学学习。
- 543次学习
-
- GO语言核心编程课程
- 本课程采用真实案例,全面具体可落地,从理论到实践,一步一步将GO核心编程技术、编程思想、底层实现融会贯通,使学习者贴近时代脉搏,做IT互联网时代的弄潮儿。
- 516次学习
-
- 简单聊聊mysql8与网络通信
- 如有问题加微信:Le-studyg;在课程中,我们将首先介绍MySQL8的新特性,包括性能优化、安全增强、新数据类型等,帮助学生快速熟悉MySQL8的最新功能。接着,我们将深入解析MySQL的网络通信机制,包括协议、连接管理、数据传输等,让
- 500次学习
-
- JavaScript正则表达式基础与实战
- 在任何一门编程语言中,正则表达式,都是一项重要的知识,它提供了高效的字符串匹配与捕获机制,可以极大的简化程序设计。
- 487次学习
-
- 从零制作响应式网站—Grid布局
- 本系列教程将展示从零制作一个假想的网络科技公司官网,分为导航,轮播,关于我们,成功案例,服务流程,团队介绍,数据部分,公司动态,底部信息等内容区块。网站整体采用CSSGrid布局,支持响应式,有流畅过渡和展现动画。
- 485次学习
-
- ChatExcel酷表
- ChatExcel酷表是由北京大学团队打造的Excel聊天机器人,用自然语言操控表格,简化数据处理,告别繁琐操作,提升工作效率!适用于学生、上班族及政府人员。
- 4217次使用
-
- Any绘本
- 探索Any绘本(anypicturebook.com/zh),一款开源免费的AI绘本创作工具,基于Google Gemini与Flux AI模型,让您轻松创作个性化绘本。适用于家庭、教育、创作等多种场景,零门槛,高自由度,技术透明,本地可控。
- 4574次使用
-
- 可赞AI
- 可赞AI,AI驱动的办公可视化智能工具,助您轻松实现文本与可视化元素高效转化。无论是智能文档生成、多格式文本解析,还是一键生成专业图表、脑图、知识卡片,可赞AI都能让信息处理更清晰高效。覆盖数据汇报、会议纪要、内容营销等全场景,大幅提升办公效率,降低专业门槛,是您提升工作效率的得力助手。
- 4456次使用
-
- 星月写作
- 星月写作是国内首款聚焦中文网络小说创作的AI辅助工具,解决网文作者从构思到变现的全流程痛点。AI扫榜、专属模板、全链路适配,助力新人快速上手,资深作者效率倍增。
- 6105次使用
-
- MagicLight
- MagicLight.ai是全球首款叙事驱动型AI动画视频创作平台,专注于解决从故事想法到完整动画的全流程痛点。它通过自研AI模型,保障角色、风格、场景高度一致性,让零动画经验者也能高效产出专业级叙事内容。广泛适用于独立创作者、动画工作室、教育机构及企业营销,助您轻松实现创意落地与商业化。
- 4824次使用
-
- golang MySQL实现对数据库表存储获取操作示例
- 2022-12-22 499浏览
-
- 搞一个自娱自乐的博客(二) 架构搭建
- 2023-02-16 244浏览
-
- B-Tree、B+Tree以及B-link Tree
- 2023-01-19 235浏览
-
- mysql面试题
- 2023-01-17 157浏览
-
- MySQL数据表简单查询
- 2023-01-10 101浏览

