统计科学之分析遇到非正态数据该怎么办?
本篇文章主要是结合我之前面试的各种经历和实战开发中遇到的问题解决经验整理的,希望这篇《统计科学之分析遇到非正态数据该怎么办?》对你有很大帮助!欢迎收藏,分享给更多的需要的朋友学习~
我们在前面讲过数据的正态性检验,介绍了检验数据是否正态的两种方法。这一节我们来看一下,如果数据不满足正态时该怎么办,答案就是将非正态数据通过Box-Cox变换进一步转换成符合正态分布的数据。这一篇就给大家分享下Box-Cox变换的具体内容。
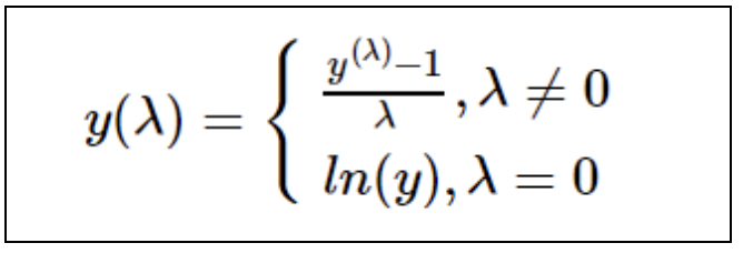
Box-Cox变换是多种变换的总称,具体的公式如下:

上面公式中y(λ)表示变换后的值,根据λ的值不同,属于不同的变换,当λ值取以下特定的几个值时就变成了特殊的数据变换:
- 当λ=0时,Box-Cox变换就变成了对数变换,y(λ) = ln(y);
- 当λ=0.5时,Box-Cox变换就变成了平方根变换,y(λ) = y^1/2
- 当λ=1时,Box-Cox变换变换就是它本身,y(λ) = y
- 当λ=2时,Box-Cox变换就变成了平方变化,y(λ) = y^2
- 当λ=-1时,Box-Cox变换就变成了倒数变化,y(λ) = 1/y。
λ值除了可以选择上述特定的值以外,还可以选择其他值,那当我们拿到一份非正态数据时,我们应该取λ值等于多少对齐进行变换呢?这个又该怎么定呢?
λ值取多少,我们可以利用Python中现成的函数,让函数自动去探索,然后返回给我们最优的值是多少就可以。这个函数就是
boxcox_normmax,这个函数用来计算给定的非正态数据对应的最优λ值。
boxcox_normmax(x[, brack, method]) 参数: x:非正态数据 brack: λ值搜索间隔,默认即可 method:计算λ值的方法,有pearsonr、mle、all三种可选,默认为pearsonr,即按照相关性的方法去计算,如果选all,则会返回各种方法的计算结果 返回值: 返回λ值
当我们得到最优的λ值以后,就可以根据λ值进行数据转换了,这个时候可以用另外的一个函数
boxcox,这个函数是根据指定的λ值对原始数据进行转换。
boxcox(x[, lmbda, alpha]) 参数: x:非正态数据 lambda:转换的λ值 alpha:计算置信区间时所用到的alpha值 返回值: boxcox:经过转换以后的数据 maxlog:如果在传入时lambda参数值没有指定的话,该函数也会计算一个λ值出来 (min_ci, max_ci):如果lambda参数为空且alpha参数不为空时,会计算maxlog的一个置信区间出来
我们上面讲了计算λ值有不同的方法,那到底哪种方法计算出来的λ值更加可靠一些呢?我们可以通过另外一个函数
boxcox_normplot来查看到底哪种方法计算出来的λ值更可靠。
boxcox_normplot(x, la, lb, plot=None, N=80) 参数: x:非正态数据 la,lb:λ值的上下界 plot:绘图的画布 N:横轴的坐标点个数 返回值: lmbdas:通过box-cox算出来的多个λ值 ppcc:相关系数,可以理解成λ值的可靠程度
首先,我们导入一份非正态数据,并绘制这份数据的概率密度图,需要这份数据的在公众号后台回复
非正态数据,即可获得。
import pandas as pd import numpy as np import seaborn as sns df = pd.read_excel(r"非正态数据集.xlsx") sns.distplot(df["price"],color = "#D86457")

通过上面的概率密度图,我们可以看出这是一份偏态数据,也就是非正态。接下来我们先利用
boxcox_normmax函数来寻找最优λ值,代码如下:
from scipy import stats stats.boxcox_normmax(df["price"]) --- 返回:0.17896037184755484
在获得最优λ值以后,我们再利用
boxcox函数来进行数据转换,具体代码如下:
x = stats.boxcox(df["price"],stats.boxcox_normmax(df["price"])) sns.distplot(x,color = "#D86457")

对转换后的数据再次进行概率密度图的绘制,我们可以看到,数据就很正态了。
接下来再来我们再看一下我们计算出来的λ值是不是最优的,具体代码如下:
fig = plt.figure() ax = fig.add_subplot(111) stats.boxcox_normplot(df["price"], -20, 20,plot = ax) plt.axvline(x = stats.boxcox_normmax(df["price"]),color = "#D86457") plt.show()

中间红色那条线的位置就是我们求出来最优的λ值,结果很吻合。
以上就是本文的全部内容了,是否有顺利帮助你解决问题?若是能给你带来学习上的帮助,请大家多多支持golang学习网!更多关于数据库的相关知识,也可关注golang学习网公众号。
统计科学之你能分清比例和比率吗?
- 上一篇
- 统计科学之你能分清比例和比率吗?
- 下一篇
- 统计科学之你到底偏哪边的?
-
- 数据库 · MySQL | 1星期前 |
- MySQL常用存储引擎及InnoDB与MyISAM对比分析
- 184浏览 收藏
-
- 数据库 · MySQL | 2星期前 |
- MySQL连接池配置与优化方法
- 147浏览 收藏
-
- 数据库 · MySQL | 2星期前 |
- MySQL内存优化技巧与参数设置解析
- 295浏览 收藏
-
- 数据库 · MySQL | 2星期前 |
- 主键外键关系解析与作用详解
- 413浏览 收藏
-
- 数据库 · MySQL | 2星期前 |
- MySQL数据库备份与安全方案详解
- 175浏览 收藏
-
- 数据库 · MySQL | 3星期前 |
- MySQL增删改查语法速查表大全
- 174浏览 收藏
-
- 数据库 · MySQL | 4星期前 |
- MySQLupdate语句使用详解
- 120浏览 收藏
-
- 数据库 · MySQL | 1个月前 |
- MySQL数据库创建与字符集设置教程
- 404浏览 收藏
-
- 数据库 · MySQL | 1个月前 |
- MySQL基础命令速查:增删改查全攻略
- 427浏览 收藏
-
- 数据库 · MySQL | 1个月前 |
- MySQL优化Join查询的技巧与策略解析
- 351浏览 收藏
-
- 数据库 · MySQL | 1个月前 |
- MySQL常用数据类型有哪些及如何选择
- 156浏览 收藏
-
- 数据库 · MySQL | 1个月前 |
- MySQL增删改查语法速查手册
- 405浏览 收藏
-
- 前端进阶之JavaScript设计模式
- 设计模式是开发人员在软件开发过程中面临一般问题时的解决方案,代表了最佳的实践。本课程的主打内容包括JS常见设计模式以及具体应用场景,打造一站式知识长龙服务,适合有JS基础的同学学习。
- 543次学习
-
- GO语言核心编程课程
- 本课程采用真实案例,全面具体可落地,从理论到实践,一步一步将GO核心编程技术、编程思想、底层实现融会贯通,使学习者贴近时代脉搏,做IT互联网时代的弄潮儿。
- 516次学习
-
- 简单聊聊mysql8与网络通信
- 如有问题加微信:Le-studyg;在课程中,我们将首先介绍MySQL8的新特性,包括性能优化、安全增强、新数据类型等,帮助学生快速熟悉MySQL8的最新功能。接着,我们将深入解析MySQL的网络通信机制,包括协议、连接管理、数据传输等,让
- 500次学习
-
- JavaScript正则表达式基础与实战
- 在任何一门编程语言中,正则表达式,都是一项重要的知识,它提供了高效的字符串匹配与捕获机制,可以极大的简化程序设计。
- 487次学习
-
- 从零制作响应式网站—Grid布局
- 本系列教程将展示从零制作一个假想的网络科技公司官网,分为导航,轮播,关于我们,成功案例,服务流程,团队介绍,数据部分,公司动态,底部信息等内容区块。网站整体采用CSSGrid布局,支持响应式,有流畅过渡和展现动画。
- 485次学习
-
- ChatExcel酷表
- ChatExcel酷表是由北京大学团队打造的Excel聊天机器人,用自然语言操控表格,简化数据处理,告别繁琐操作,提升工作效率!适用于学生、上班族及政府人员。
- 4215次使用
-
- Any绘本
- 探索Any绘本(anypicturebook.com/zh),一款开源免费的AI绘本创作工具,基于Google Gemini与Flux AI模型,让您轻松创作个性化绘本。适用于家庭、教育、创作等多种场景,零门槛,高自由度,技术透明,本地可控。
- 4573次使用
-
- 可赞AI
- 可赞AI,AI驱动的办公可视化智能工具,助您轻松实现文本与可视化元素高效转化。无论是智能文档生成、多格式文本解析,还是一键生成专业图表、脑图、知识卡片,可赞AI都能让信息处理更清晰高效。覆盖数据汇报、会议纪要、内容营销等全场景,大幅提升办公效率,降低专业门槛,是您提升工作效率的得力助手。
- 4454次使用
-
- 星月写作
- 星月写作是国内首款聚焦中文网络小说创作的AI辅助工具,解决网文作者从构思到变现的全流程痛点。AI扫榜、专属模板、全链路适配,助力新人快速上手,资深作者效率倍增。
- 6102次使用
-
- MagicLight
- MagicLight.ai是全球首款叙事驱动型AI动画视频创作平台,专注于解决从故事想法到完整动画的全流程痛点。它通过自研AI模型,保障角色、风格、场景高度一致性,让零动画经验者也能高效产出专业级叙事内容。广泛适用于独立创作者、动画工作室、教育机构及企业营销,助您轻松实现创意落地与商业化。
- 4820次使用
-
- golang MySQL实现对数据库表存储获取操作示例
- 2022-12-22 499浏览
-
- goHTTP2的头部压缩算法hpack实现详解
- 2022-12-22 398浏览
-
- 搞一个自娱自乐的博客(二) 架构搭建
- 2023-02-16 244浏览
-
- B-Tree、B+Tree以及B-link Tree
- 2023-01-19 235浏览
-
- go语言算法题解二叉树的最小深度
- 2022-12-22 327浏览

