统计科学系列之最小样本量计算
数据库小白一枚,正在不断学习积累知识,现将学习到的知识记录一下,也是将我的所得分享给大家!而今天这篇文章《统计科学系列之最小样本量计算》带大家来了解一下统计科学系列之最小样本量计算,希望对大家的知识积累有所帮助,从而弥补自己的不足,助力实战开发!
这一篇我们讲讲统计中的最小样本量计算。大家先想想为什么叫最小样本量,而不是最大或者直接叫样本量计算呢?
这是因为最小样本量这个概念主要用在抽样统计中,抽样统计为了研究某一事物的情况而从整体中抽取部分样本来进行研究,并用抽取的样本来代替整体的情况。比如要研究中学生的平均身高,你不太可能把全国的中学生身高都量一遍,然后求出一个平均值。比较简单的方法就是从全国中学生群体中抽取一部分,然后用这一部分同学的平均身高代替全国中学生的平均身高。
既然是用抽样样本的平均身高代替整体的平均身高,我们就需要考虑一个问题,就是抽出来的样本能不能代表整体。假设全国有1000万名中学生,你只抽了100个同学,想用这100位同学的平均身高代替这1000万同学的平均身高,很明显是不太合理的。那我们应该最少抽取多少样本才能够代表整体呢?这个最少抽取样本就是最小样本量,表示最少需要这么多样本量,当然也可以比这多,抽样样本越多结果越具有代表性。但是由于现实中尽可能多的样本很难获取,又为了保证抽样结果足够具有代表性,所以我们一般选择最小样本量。那这个最小样本量怎么确定呢?就是我们这一篇重点要讲的内容。
在讲最小样本量之前,我们先讲一下另一个概念,统计功效,即power值。这个在之前的文章中也提过,我们再提一下。
在假设检验中如果计算出来的P值小于等于显著性水平α,则拒绝零假设,否则接受原假设。在这个决策的过程中容易犯两种错误:第一类错误(I型错误)叫做弃真错误,通俗一点就是漏诊,就是本来是生病了(假设是正确的),但是你没有检测出来,所以给拒绝掉了;第二类错误(II型错误)是取伪错误,通俗一点就是误诊,就是本来没病(假设是错误的),结果你诊断说生病了(假设是正确的),所以就把假设给接受了。

下图中左边的分布图为H0对应的分布,右边的分布图为H1对应的分布,α为一型错误值,β为二型错误值。I型错误的值一般为0.05,II型错误的值一般为0.1或0.2,而power = 1 - β,表示H1分布下判断正确的把握是多少,即你有多大把握能够正确的拒绝掉H0假设。

上图中H1分布下对应的整体面积减去图中紫色部分的面积就是power的大小,具体计算公式如下:

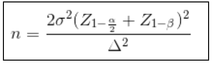
Φ表示求z值对应的累计概率,即正态分布中的面积,Δ是两组样本均值之差, σ为各组样本标准差,n为样本数。
在一般AB实验中,我们假设AB两组是同质的,且样本量是一致的,所以有σ1 = σ2,n1 = n2,将上面的power公式进行转换最后可以得到如下关于样本量公式:

需要注意的是不同检验满足的分布是不一样的,对应的power公式也是不一样,而最小样本量公式也是从power来的,所以不同检验方式对应的最小样本量公式也是不一样的。我们本篇是以满足正态分布的Z检验为例。
以上就是本文的全部内容了,是否有顺利帮助你解决问题?若是能给你带来学习上的帮助,请大家多多支持golang学习网!更多关于数据库的相关知识,也可关注golang学习网公众号。
-
- 数据库 · MySQL | 1星期前 |
- MySQL常用存储引擎及InnoDB与MyISAM对比分析
- 184浏览 收藏
-
- 数据库 · MySQL | 2星期前 |
- MySQL连接池配置与优化方法
- 147浏览 收藏
-
- 数据库 · MySQL | 2星期前 |
- MySQL内存优化技巧与参数设置解析
- 295浏览 收藏
-
- 数据库 · MySQL | 2星期前 |
- 主键外键关系解析与作用详解
- 413浏览 收藏
-
- 数据库 · MySQL | 2星期前 |
- MySQL数据库备份与安全方案详解
- 175浏览 收藏
-
- 数据库 · MySQL | 3星期前 |
- MySQL增删改查语法速查表大全
- 174浏览 收藏
-
- 数据库 · MySQL | 1个月前 |
- MySQLupdate语句使用详解
- 120浏览 收藏
-
- 数据库 · MySQL | 1个月前 |
- MySQL数据库创建与字符集设置教程
- 404浏览 收藏
-
- 数据库 · MySQL | 1个月前 |
- MySQL基础命令速查:增删改查全攻略
- 427浏览 收藏
-
- 数据库 · MySQL | 1个月前 |
- MySQL优化Join查询的技巧与策略解析
- 351浏览 收藏
-
- 数据库 · MySQL | 1个月前 |
- MySQL常用数据类型有哪些及如何选择
- 156浏览 收藏
-
- 数据库 · MySQL | 1个月前 |
- MySQL增删改查语法速查手册
- 405浏览 收藏
-
- 前端进阶之JavaScript设计模式
- 设计模式是开发人员在软件开发过程中面临一般问题时的解决方案,代表了最佳的实践。本课程的主打内容包括JS常见设计模式以及具体应用场景,打造一站式知识长龙服务,适合有JS基础的同学学习。
- 543次学习
-
- GO语言核心编程课程
- 本课程采用真实案例,全面具体可落地,从理论到实践,一步一步将GO核心编程技术、编程思想、底层实现融会贯通,使学习者贴近时代脉搏,做IT互联网时代的弄潮儿。
- 516次学习
-
- 简单聊聊mysql8与网络通信
- 如有问题加微信:Le-studyg;在课程中,我们将首先介绍MySQL8的新特性,包括性能优化、安全增强、新数据类型等,帮助学生快速熟悉MySQL8的最新功能。接着,我们将深入解析MySQL的网络通信机制,包括协议、连接管理、数据传输等,让
- 500次学习
-
- JavaScript正则表达式基础与实战
- 在任何一门编程语言中,正则表达式,都是一项重要的知识,它提供了高效的字符串匹配与捕获机制,可以极大的简化程序设计。
- 487次学习
-
- 从零制作响应式网站—Grid布局
- 本系列教程将展示从零制作一个假想的网络科技公司官网,分为导航,轮播,关于我们,成功案例,服务流程,团队介绍,数据部分,公司动态,底部信息等内容区块。网站整体采用CSSGrid布局,支持响应式,有流畅过渡和展现动画。
- 485次学习
-
- ChatExcel酷表
- ChatExcel酷表是由北京大学团队打造的Excel聊天机器人,用自然语言操控表格,简化数据处理,告别繁琐操作,提升工作效率!适用于学生、上班族及政府人员。
- 4217次使用
-
- Any绘本
- 探索Any绘本(anypicturebook.com/zh),一款开源免费的AI绘本创作工具,基于Google Gemini与Flux AI模型,让您轻松创作个性化绘本。适用于家庭、教育、创作等多种场景,零门槛,高自由度,技术透明,本地可控。
- 4574次使用
-
- 可赞AI
- 可赞AI,AI驱动的办公可视化智能工具,助您轻松实现文本与可视化元素高效转化。无论是智能文档生成、多格式文本解析,还是一键生成专业图表、脑图、知识卡片,可赞AI都能让信息处理更清晰高效。覆盖数据汇报、会议纪要、内容营销等全场景,大幅提升办公效率,降低专业门槛,是您提升工作效率的得力助手。
- 4456次使用
-
- 星月写作
- 星月写作是国内首款聚焦中文网络小说创作的AI辅助工具,解决网文作者从构思到变现的全流程痛点。AI扫榜、专属模板、全链路适配,助力新人快速上手,资深作者效率倍增。
- 6105次使用
-
- MagicLight
- MagicLight.ai是全球首款叙事驱动型AI动画视频创作平台,专注于解决从故事想法到完整动画的全流程痛点。它通过自研AI模型,保障角色、风格、场景高度一致性,让零动画经验者也能高效产出专业级叙事内容。广泛适用于独立创作者、动画工作室、教育机构及企业营销,助您轻松实现创意落地与商业化。
- 4823次使用
-
- golang MySQL实现对数据库表存储获取操作示例
- 2022-12-22 499浏览
-
- 搞一个自娱自乐的博客(二) 架构搭建
- 2023-02-16 244浏览
-
- B-Tree、B+Tree以及B-link Tree
- 2023-01-19 235浏览
-
- mysql面试题
- 2023-01-17 157浏览
-
- MySQL数据表简单查询
- 2023-01-10 101浏览

统计科学之方差分析
