用微衍生物从头开始了解反向传播
目前golang学习网上已经有很多关于文章的文章了,自己在初次阅读这些文章中,也见识到了很多学习思路;那么本文《用微衍生物从头开始了解反向传播》,也希望能帮助到大家,如果阅读完后真的对你学习文章有帮助,欢迎动动手指,评论留言并分享~
深入浅出神经网络:理解微积分的精髓
大家好,我是Hexmos的创始人Shrijith Venkatrama。我目前正在开发LiveaPi,一个简化API文档生成的工具。
神经网络看起来复杂,但其核心思想却出奇地简单:导数。Andrej Karpathy的Micrograd项目完美诠释了这一点——仅用不到150行Python代码,就清晰地展现了神经网络的基本原理。本文将循序渐进地讲解Micrograd,从最基础的概念开始,逐步深入。您将学习:
- 导数的真正含义及其计算方法
- 符号微分与数值微分之间的区别
- 微小输入变化如何影响输出(正、负和零斜率)
- 为什么神经网络不需要显式导数公式
我们将通过图解、简短代码示例和实用见解,帮助您理解梯度下降如何驱动神经网络学习,避免不必要的复杂性。让我们开始吧!
Karpathy的Micrograd项目仅包含两个文件:

Engine.py:不到100行代码,定义了值类,是神经网络运行的核心。nn.py:定义了神经元、层和多层感知器(MLP),约60行代码。
核心思想:不到150行简洁的Python代码,就足以捕捉神经网络的核心思想。其他库中代码的复杂性主要在于效率的提升。
理解导数:基础概念
首先,让我们通过几个例子来理解导数的概念:
- 定义一个函数f,接收标量输入,返回标量输出。
- 生成一系列x值(输入)和对应的y值(输出)。
- 绘制函数图像。
- 计算导数的两种方法:
我们的目标是在特定点(例如x=3)找到函数的导数。在学校,我们通常学习的是符号微分法。

例如,对于表达式3*x*2 - 4x + 5,我们可以求出导数表达式为6*x - 4。然而,在神经网络中,我们处理的表达式可能非常复杂,不可能手动求导。
因此,我们采用数值微分法。但在学习数值微分之前,先理解导数的概念非常重要。
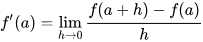
可微函数的含义
关键公式如下:

公式中,h是一个很小的值,并且趋近于0。我们关注的是:当输入发生微小变化时,函数输出的趋势是什么?更具体地说,在x点,如果我们增加一个微小的量h,输出会增加还是减少?变化的大小是多少?
公式的结果代表斜率。如果输入的微小增加导致正斜率,则输出值增加;如果导致负斜率,则输出值减少。

在某些点上,输入的微小增加可能不会改变输出,此时斜率为零。
数值实验
我们可以通过数值实验来验证上述直觉,使用一系列有效的x值和一个微小的h值。
- 正斜率示例
- 负斜率示例
- 零斜率示例
参考:神经网络和反向传播的简明介绍:构建Micrograd

本篇关于《用微衍生物从头开始了解反向传播》的介绍就到此结束啦,但是学无止境,想要了解学习更多关于文章的相关知识,请关注golang学习网公众号!
win10电脑很卡反应很慢该如何处理? 提高电脑的运行速度的技巧
- 上一篇
- win10电脑很卡反应很慢该如何处理? 提高电脑的运行速度的技巧
- 下一篇
- 被盗全赔!"支付宝碰一下"启动"你敢碰我敢赔"保障
-
- 文章 · python教程 | 3分钟前 |
- Python时区处理全攻略
- 404浏览 收藏
-
- 文章 · python教程 | 15分钟前 |
- Tkinter OptionMenu样式难看?用ttk.Combobox美化界面
- 237浏览 收藏
-
- 文章 · python教程 | 34分钟前 |
- Python测试脚本无法在Jupyter中运行?使用ipytest轻松解决
- 455浏览 收藏
-
- 文章 · python教程 | 1小时前 |
- Python安装cv2库方法详解
- 298浏览 收藏
-
- 文章 · python教程 | 1小时前 |
- Python爬虫批量入库技巧:提升效率方法
- 319浏览 收藏
-
- 文章 · python教程 | 1小时前 |
- Python计算两个日期相差天数的方法
- 297浏览 收藏
-
- 文章 · python教程 | 2小时前 |
- Python项目混合调试技巧:pytest集成C++测试方法
- 265浏览 收藏
-
- 文章 · python教程 | 2小时前 |
- Python安装后找不到解释器?CMD输入python无反应解决方法
- 411浏览 收藏
-
- 文章 · python教程 | 2小时前 |
- Python正则测试:pytest多数据验证方法
- 284浏览 收藏
-
- 文章 · python教程 | 2小时前 |
- Web端Python在线编辑器实现方法
- 206浏览 收藏
-
- 文章 · python教程 | 3小时前 |
- Python中如何判断两个浮点数是否接近
- 387浏览 收藏
-
- 文章 · python教程 | 3小时前 |
- Python微服务RPC测试:grpc-testing与pytest实战
- 404浏览 收藏
-
- 前端进阶之JavaScript设计模式
- 设计模式是开发人员在软件开发过程中面临一般问题时的解决方案,代表了最佳的实践。本课程的主打内容包括JS常见设计模式以及具体应用场景,打造一站式知识长龙服务,适合有JS基础的同学学习。
- 543次学习
-
- GO语言核心编程课程
- 本课程采用真实案例,全面具体可落地,从理论到实践,一步一步将GO核心编程技术、编程思想、底层实现融会贯通,使学习者贴近时代脉搏,做IT互联网时代的弄潮儿。
- 516次学习
-
- 简单聊聊mysql8与网络通信
- 如有问题加微信:Le-studyg;在课程中,我们将首先介绍MySQL8的新特性,包括性能优化、安全增强、新数据类型等,帮助学生快速熟悉MySQL8的最新功能。接着,我们将深入解析MySQL的网络通信机制,包括协议、连接管理、数据传输等,让
- 500次学习
-
- JavaScript正则表达式基础与实战
- 在任何一门编程语言中,正则表达式,都是一项重要的知识,它提供了高效的字符串匹配与捕获机制,可以极大的简化程序设计。
- 487次学习
-
- 从零制作响应式网站—Grid布局
- 本系列教程将展示从零制作一个假想的网络科技公司官网,分为导航,轮播,关于我们,成功案例,服务流程,团队介绍,数据部分,公司动态,底部信息等内容区块。网站整体采用CSSGrid布局,支持响应式,有流畅过渡和展现动画。
- 485次学习
-
- ChatExcel酷表
- ChatExcel酷表是由北京大学团队打造的Excel聊天机器人,用自然语言操控表格,简化数据处理,告别繁琐操作,提升工作效率!适用于学生、上班族及政府人员。
- 4513次使用
-
- Any绘本
- 探索Any绘本(anypicturebook.com/zh),一款开源免费的AI绘本创作工具,基于Google Gemini与Flux AI模型,让您轻松创作个性化绘本。适用于家庭、教育、创作等多种场景,零门槛,高自由度,技术透明,本地可控。
- 4865次使用
-
- 可赞AI
- 可赞AI,AI驱动的办公可视化智能工具,助您轻松实现文本与可视化元素高效转化。无论是智能文档生成、多格式文本解析,还是一键生成专业图表、脑图、知识卡片,可赞AI都能让信息处理更清晰高效。覆盖数据汇报、会议纪要、内容营销等全场景,大幅提升办公效率,降低专业门槛,是您提升工作效率的得力助手。
- 4742次使用
-
- 星月写作
- 星月写作是国内首款聚焦中文网络小说创作的AI辅助工具,解决网文作者从构思到变现的全流程痛点。AI扫榜、专属模板、全链路适配,助力新人快速上手,资深作者效率倍增。
- 6584次使用
-
- MagicLight
- MagicLight.ai是全球首款叙事驱动型AI动画视频创作平台,专注于解决从故事想法到完整动画的全流程痛点。它通过自研AI模型,保障角色、风格、场景高度一致性,让零动画经验者也能高效产出专业级叙事内容。广泛适用于独立创作者、动画工作室、教育机构及企业营销,助您轻松实现创意落地与商业化。
- 5101次使用
-
- Flask框架安装技巧:让你的开发更高效
- 2024-01-03 501浏览
-
- Django框架中的并发处理技巧
- 2024-01-22 501浏览
-
- 提升Python包下载速度的方法——正确配置pip的国内源
- 2024-01-17 501浏览
-
- Python与C++:哪个编程语言更适合初学者?
- 2024-03-25 501浏览
-
- 品牌建设技巧
- 2024-04-06 501浏览

