拼写的后传播 - 如karpathy所解释
欢迎各位小伙伴来到golang学习网,相聚于此都是缘哈哈哈!今天我给大家带来《拼写的后传播 - 如karpathy所解释》,这篇文章主要讲到等等知识,如果你对文章相关的知识非常感兴趣或者正在自学,都可以关注我,我会持续更新相关文章!当然,有什么建议也欢迎在评论留言提出!一起学习!
嗨!我是hexmos的创始人shrijith venkatrama。目前,我正在构建liveapi,该工具使您的代码中生成api文档非常容易。 添加标签以提高图形可读性
将标签参数添加到值类:
class value:
def __init__(self, data, _children=(), _op='', label=''):
self.data = data
self._prev = set(_children)
self._op = _op
self.label = label
def __repr__(self):
return f"value(data={self.data})"
def __add__(self, other):
return value(self.data + other.data, (self, other), '+')
def __mul__(self, other):
return value(self.data * other.data, (self, other), '-')
a = value(2.0, label='a')
b = value(-3.0, label='b')
c = value(10, label='c')
e = a * b; e.label = 'e'
d = e + c; d.label = 'd'
print(d._prev)
print(d._op)
print("---")
print(e._prev)
print(e._op)
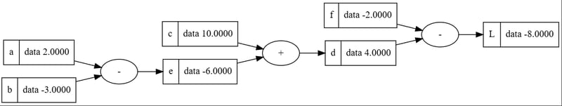
更新draw_dot将标签包括在图中
最初,我们的节点表达式为:
dot.node(name=uid, label="{ data %.4f }" % (n.data,), shape='record')
>替换为:
dot.node(name=uid, label="{ %s | data %.4f }" % (n.label, n.data), shape='record')
现在draw_dot(d)返回:
带有标签的重新渲染图
让我们在表达式中添加一些节点-f和l
生成图:
draw_dot(l)
我们上面构建的此图是布置节点的
我们要计算的 >我们想知道输入(权重-a,b,c,d,e,f)如何影响输出(损耗函数l)。因此 - 我们想找到:dl/dl,dl/df,dl/de,dl/dd,dl/dc,dl/db,dl/da。
添加毕业参数以适应反射
class value:
def __init__(self, data, _children=(), _op='', label=''):
self.data = data
self._prev = set(_children)
self._op = _op
self.label = label
self.grad = 0.0 # 0 means no impact on output to start with
更新节点图形信息
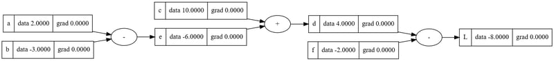
dot.node(name=uid, label="{ %s | data %.4f | grad %.4f }" % (n.label, n.data, n.grad), shape='record')
手动执行给定图的后传播
节点l

是,
l.grad = 1
表达
44543468844
节点d
l = d * f by known rules: dl/dd = f by derivation: dl/dd = (f(x+h) - f(x))/h = (d*f + h*f - d*f)/h = h*f/h = f that is, dl/dd = f = -2.0>所以,我们做
d.grad = -2.0
节点f
通过对称,我们得到dl/df = d = 4.0
是,
f.grad = 4.0
新的更新图是这样的:>
def verify_dl_by_df(): h = 0.001 a = value(2.0, label='a') b = value(-3.0, label='b') c = value(10, label='c') e = a * b; e.label = 'e' d = e + c; d.label = 'd' f = value(-2.0, label='f') l = d * f; l.label = 'l' l1 = l.data a = value(2.0, label='a') b = value(-3.0, label='b') c = value(10, label='c') e = a * b; e.label = 'e' d = e + c; d.label = 'd' f = value(-2.0 + h, label='f') # bumb f a little bit l = d * f; l.label = 'l' l2 = l.data print((l2 - l1)/h) verify_dl_by_df() # prints out 3.9999 ~ 4挑战 - 我们如何计算dl/dc?
我们知道dl/dd = -2.0-所以我们知道l如何受d。>>的影响
首先,我们可以计算“局部衍生物”,或者弄清楚c首先影响d。
。是,
> dd/dc =?
我们知道:
d = c e
因此,一旦我们通过c进行区分,我们就会得到:dd/dc = 1
现在的问题是,如何将dd/dc和dl/dd组合在一起?
我们需要一些称为链条规则的东西:
因此,应用链条规则,我们得到:
dl/dc = dl/dd * dd/dc dl/dc = -2.0 * 1.0 = -2.0同样,dl/de = -2.0
>
>让我们在python中设置值,然后重新绘制图表:>
18574658665
找出dl/da和dl/db
dl/de = -2.0
我们想知道:
dl/da = dl/de * de/da
e = a * b de/da = b de/da = b = -3.0
we can also find:
e = a * b de/db = a de/db = a = 2.0>所以,现在要获得我们需要的东西:
dl/da = dl/de * de/da = -2.0 * -3.0 = 6.0 dl/db = dl/de * de/db = -2.0 * 2.0 = -4.0
我们在python中设置了值,然后redraw以获取完整图:
a.grad = 6.0 b.grad = -4.0
参考
今天带大家了解了的相关知识,希望对你有所帮助;关于文章的技术知识我们会一点点深入介绍,欢迎大家关注golang学习网公众号,一起学习编程~
怎么轻松删除搜索广告? 3招关闭Win11搜索要点功能的技巧
- 上一篇
- 怎么轻松删除搜索广告? 3招关闭Win11搜索要点功能的技巧
- 下一篇
- Linux上K8S安装需要哪些准备
-
- 文章 · python教程 | 21分钟前 |
- Python逻辑回归分类调优技巧解析
- 427浏览 收藏
-
- 文章 · python教程 | 43分钟前 |
- PythonNumPy花式索引详解
- 280浏览 收藏
-
- 文章 · python教程 | 45分钟前 |
- Python线程安全与锁机制解析
- 264浏览 收藏
-
- 文章 · python教程 | 47分钟前 |
- Python监控CPU温度教程详解
- 177浏览 收藏
-
- 文章 · python教程 | 53分钟前 |
- 多键减法不出现负数的Counter实现方法
- 148浏览 收藏
-
- 文章 · python教程 | 1小时前 |
- Celery与Redis实现高并发异步解耦方案
- 483浏览 收藏
-
- 文章 · python教程 | 9小时前 |
- Docker中运行pytest的Python项目教程
- 491浏览 收藏
-
- 文章 · python教程 | 10小时前 | 合并 字典
- Python3.9字典合并技巧全解析
- 159浏览 收藏
-
- 文章 · python教程 | 10小时前 |
- Python长耗时测试怎么处理?pytest标记慢用例方法
- 438浏览 收藏
-
- 文章 · python教程 | 10小时前 |
- Python文件异常处理:try-except-finally详解
- 313浏览 收藏
-
- 文章 · python教程 | 11小时前 |
- StandardScaler标准化方法详解
- 128浏览 收藏
-
- 文章 · python教程 | 11小时前 |
- Python批量转换繁简体教程详解
- 500浏览 收藏
-
- 前端进阶之JavaScript设计模式
- 设计模式是开发人员在软件开发过程中面临一般问题时的解决方案,代表了最佳的实践。本课程的主打内容包括JS常见设计模式以及具体应用场景,打造一站式知识长龙服务,适合有JS基础的同学学习。
- 543次学习
-
- GO语言核心编程课程
- 本课程采用真实案例,全面具体可落地,从理论到实践,一步一步将GO核心编程技术、编程思想、底层实现融会贯通,使学习者贴近时代脉搏,做IT互联网时代的弄潮儿。
- 516次学习
-
- 简单聊聊mysql8与网络通信
- 如有问题加微信:Le-studyg;在课程中,我们将首先介绍MySQL8的新特性,包括性能优化、安全增强、新数据类型等,帮助学生快速熟悉MySQL8的最新功能。接着,我们将深入解析MySQL的网络通信机制,包括协议、连接管理、数据传输等,让
- 500次学习
-
- JavaScript正则表达式基础与实战
- 在任何一门编程语言中,正则表达式,都是一项重要的知识,它提供了高效的字符串匹配与捕获机制,可以极大的简化程序设计。
- 487次学习
-
- 从零制作响应式网站—Grid布局
- 本系列教程将展示从零制作一个假想的网络科技公司官网,分为导航,轮播,关于我们,成功案例,服务流程,团队介绍,数据部分,公司动态,底部信息等内容区块。网站整体采用CSSGrid布局,支持响应式,有流畅过渡和展现动画。
- 485次学习
-
- ChatExcel酷表
- ChatExcel酷表是由北京大学团队打造的Excel聊天机器人,用自然语言操控表格,简化数据处理,告别繁琐操作,提升工作效率!适用于学生、上班族及政府人员。
- 4266次使用
-
- Any绘本
- 探索Any绘本(anypicturebook.com/zh),一款开源免费的AI绘本创作工具,基于Google Gemini与Flux AI模型,让您轻松创作个性化绘本。适用于家庭、教育、创作等多种场景,零门槛,高自由度,技术透明,本地可控。
- 4615次使用
-
- 可赞AI
- 可赞AI,AI驱动的办公可视化智能工具,助您轻松实现文本与可视化元素高效转化。无论是智能文档生成、多格式文本解析,还是一键生成专业图表、脑图、知识卡片,可赞AI都能让信息处理更清晰高效。覆盖数据汇报、会议纪要、内容营销等全场景,大幅提升办公效率,降低专业门槛,是您提升工作效率的得力助手。
- 4500次使用
-
- 星月写作
- 星月写作是国内首款聚焦中文网络小说创作的AI辅助工具,解决网文作者从构思到变现的全流程痛点。AI扫榜、专属模板、全链路适配,助力新人快速上手,资深作者效率倍增。
- 6198次使用
-
- MagicLight
- MagicLight.ai是全球首款叙事驱动型AI动画视频创作平台,专注于解决从故事想法到完整动画的全流程痛点。它通过自研AI模型,保障角色、风格、场景高度一致性,让零动画经验者也能高效产出专业级叙事内容。广泛适用于独立创作者、动画工作室、教育机构及企业营销,助您轻松实现创意落地与商业化。
- 4875次使用
-
- Flask框架安装技巧:让你的开发更高效
- 2024-01-03 501浏览
-
- Django框架中的并发处理技巧
- 2024-01-22 501浏览
-
- 提升Python包下载速度的方法——正确配置pip的国内源
- 2024-01-17 501浏览
-
- Python与C++:哪个编程语言更适合初学者?
- 2024-03-25 501浏览
-
- 品牌建设技巧
- 2024-04-06 501浏览

