从三层架构迈向领域驱动设计(转载)
知识点掌握了,还需要不断练习才能熟练运用。下面golang学习网给大家带来一个数据库开发实战,手把手教大家学习《从三层架构迈向领域驱动设计(转载)》,在实现功能的过程中也带大家重新温习相关知识点,温故而知新,回头看看说不定又有不一样的感悟!
三层架构

严格分层架构模式的特点是上层只能访问相邻的下层,其他层次间的调用都不允许。三层架构就是一种严格分层模式,它把职责划分为界面展示、业务逻辑、数据访问三层,还有一个业务实体,前面三层都要依赖它,所以它并不构成一个层。
三层架构的特点是一种面向过程的编程思想,特点如下:
a. 业务实体类中基本上只有属性没有方法。
b. 业务逻辑层的类基本上只有方法没有属性。
c. 将数据表结构映射为业务实体类是一个惯用做法,以至于有人将其称之为“传统”。这样的好处是只需要理解一套模型,能够通过自动化工具从数据表直接生成业务实体,还能够自然而然的通过自动化机制存储与检索业务实体。但对于复杂点的业务,这样做就是绝大部分问题的根源。
d. 当业务膨胀起来,需要划分模块的时候,我们有个常用的变形:提取一个服务层出来,用来组合模块间的交互,还为业务逻辑层提供了一个防腐层,可以把记录日志、验证权限、处理异常等职责分配给服务层。

由于采用了严格分层模式,用户界面层是绝对不能跨过业务逻辑层调用数据访问层的,同理服务层也是不能调用数据访问层。但是图2都有四层了。
其实三层架构还有个更准确的名字----分层贫血领域模型架构,前面名字中的领域模型指的是业务实体,贫血意思业务实体中没有或很少方法。
三层架构的反思
三层架构的最大问题在于:实际应用中人们喜欢把内存模型和数据库模型保持一致。三层架构的大部分问题都是从这里衍生出来的。
数据库模型的粒度如果很小,那么大量的表连接很快就会让数据库跑不动了。
如果数据库模型的粒度如果很大(这是大部分项目的选择),代码的质量(重用性、稳定性、扩展性)就很差。由于没有从业务的角度去仔细定义每一个对象,每个人会根据自己的需要建立各种QueryModel或ViewModel,慢慢地类会多到想哭。
还有一些三层开发人员最终患上了数据库痴迷症,他坚信程序就应该做个搬运工,其他的事情都应该交给数据库来完成,业务逻辑也应该写进存储过程里面去。
三层分层到DDD分层的转变过程
优化三层结构&重构到面向对象的设计

由于目前的服务层职责是非常轻的,甚至有很多空壳的调用,所以平衡一下职责,把调用数据访问层的职责从业务逻辑层提升到服务层,需要的数据通过参数传递给业务逻辑层。这样,对于那些简单到无业务逻辑的CRUD就不需要去访问业务层了,直接调用数据访问层。
结构如图3,我们看到业务逻辑与数据访问层已经没有依赖关系了。
然后我们就可以把业务逻辑与业务实体移到一块。
然后把属于业务实体的逻辑迁移到实体类中。

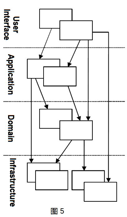
图4基本上就是图3的各个层换了名字,并且UI可以访问基础设施层。而图4与图5的区别在于,图4是基础设施依赖领域层,图5是领域层依赖基础设施层。

用户界面层:
原版----负责向用户展现信息以及解释用户命令。
补充---- MVC中V和C都属于UI层,V展现信息,C解析用户命令。UI像地图一样把各个控制器关联了起来。
应用层
原版----很薄的一层,用来协调应用的活动。它不包含业务逻辑。它不保留业务对象的状态,但它保有应用任务的进度状态。
补充----协调应用的活动这句话太抽象了,我充实一下它:从数据访问中获取领域对象,调用领域对象的方法完成任务,然后再调用数据访问代码把领域对象的改变持久化。事务、权限检查、记录日志、处理异常的职责也归它管。这点和前面三层的服务层的职责其实是一样的。
领域层
原版----本层包含关于领域的信息。这是业务软件的核心所在。在这里保留业务对象的状态,对业务对象和它们状态的持久化被委托给了基础设施层。
补充----业务对象的持久化工作我们已经提升到应用层了,一般情况下,这层最好不要涉及资源库的调用,但是并不绝对。资源库的抽象要么在领域层中,要么提升到了“应用程序框架”,领域层是不会依赖基础设施的。
基础设施层
原版----本层作为其他层的支撑库存在。它提供了层间的通信,实现对业务对象的持久化,包含对用户界面层的支撑库等作用。
对比三层分层与DDD分层
a. UI层技术基本一样,一些比较智能的绑定可能无法进行了。
b. 服务层基本一样。
d. 业务实体+业务逻辑 = 领域层
e. 如果三层架构不采用业务实体与数据表一致的做法,这层也是一样。由于内存结构与数据表结构之间存在阻抗失配,存取领域对象没那么简单。
参考资料
《领域驱动设计精简版》

以上就是本文的全部内容了,是否有顺利帮助你解决问题?若是能给你带来学习上的帮助,请大家多多支持golang学习网!更多关于数据库的相关知识,也可关注golang学习网公众号。
为什么你需要避免使用ORM(含Node.js示例)
- 上一篇
- 为什么你需要避免使用ORM(含Node.js示例)
- 下一篇
- 新特性解读 | MySQL 8.0 shell util 特性
-
- 数据库 · MySQL | 1星期前 |
- MySQL常用存储引擎及InnoDB与MyISAM对比分析
- 184浏览 收藏
-
- 数据库 · MySQL | 2星期前 |
- MySQL连接池配置与优化方法
- 147浏览 收藏
-
- 数据库 · MySQL | 2星期前 |
- MySQL内存优化技巧与参数设置解析
- 295浏览 收藏
-
- 数据库 · MySQL | 2星期前 |
- 主键外键关系解析与作用详解
- 413浏览 收藏
-
- 数据库 · MySQL | 2星期前 |
- MySQL数据库备份与安全方案详解
- 175浏览 收藏
-
- 数据库 · MySQL | 3星期前 |
- MySQL增删改查语法速查表大全
- 174浏览 收藏
-
- 数据库 · MySQL | 4星期前 |
- MySQLupdate语句使用详解
- 120浏览 收藏
-
- 数据库 · MySQL | 1个月前 |
- MySQL数据库创建与字符集设置教程
- 404浏览 收藏
-
- 数据库 · MySQL | 1个月前 |
- MySQL基础命令速查:增删改查全攻略
- 427浏览 收藏
-
- 数据库 · MySQL | 1个月前 |
- MySQL优化Join查询的技巧与策略解析
- 351浏览 收藏
-
- 数据库 · MySQL | 1个月前 |
- MySQL常用数据类型有哪些及如何选择
- 156浏览 收藏
-
- 数据库 · MySQL | 1个月前 |
- MySQL增删改查语法速查手册
- 405浏览 收藏
-
- 前端进阶之JavaScript设计模式
- 设计模式是开发人员在软件开发过程中面临一般问题时的解决方案,代表了最佳的实践。本课程的主打内容包括JS常见设计模式以及具体应用场景,打造一站式知识长龙服务,适合有JS基础的同学学习。
- 543次学习
-
- GO语言核心编程课程
- 本课程采用真实案例,全面具体可落地,从理论到实践,一步一步将GO核心编程技术、编程思想、底层实现融会贯通,使学习者贴近时代脉搏,做IT互联网时代的弄潮儿。
- 516次学习
-
- 简单聊聊mysql8与网络通信
- 如有问题加微信:Le-studyg;在课程中,我们将首先介绍MySQL8的新特性,包括性能优化、安全增强、新数据类型等,帮助学生快速熟悉MySQL8的最新功能。接着,我们将深入解析MySQL的网络通信机制,包括协议、连接管理、数据传输等,让
- 500次学习
-
- JavaScript正则表达式基础与实战
- 在任何一门编程语言中,正则表达式,都是一项重要的知识,它提供了高效的字符串匹配与捕获机制,可以极大的简化程序设计。
- 487次学习
-
- 从零制作响应式网站—Grid布局
- 本系列教程将展示从零制作一个假想的网络科技公司官网,分为导航,轮播,关于我们,成功案例,服务流程,团队介绍,数据部分,公司动态,底部信息等内容区块。网站整体采用CSSGrid布局,支持响应式,有流畅过渡和展现动画。
- 485次学习
-
- ChatExcel酷表
- ChatExcel酷表是由北京大学团队打造的Excel聊天机器人,用自然语言操控表格,简化数据处理,告别繁琐操作,提升工作效率!适用于学生、上班族及政府人员。
- 4215次使用
-
- Any绘本
- 探索Any绘本(anypicturebook.com/zh),一款开源免费的AI绘本创作工具,基于Google Gemini与Flux AI模型,让您轻松创作个性化绘本。适用于家庭、教育、创作等多种场景,零门槛,高自由度,技术透明,本地可控。
- 4573次使用
-
- 可赞AI
- 可赞AI,AI驱动的办公可视化智能工具,助您轻松实现文本与可视化元素高效转化。无论是智能文档生成、多格式文本解析,还是一键生成专业图表、脑图、知识卡片,可赞AI都能让信息处理更清晰高效。覆盖数据汇报、会议纪要、内容营销等全场景,大幅提升办公效率,降低专业门槛,是您提升工作效率的得力助手。
- 4454次使用
-
- 星月写作
- 星月写作是国内首款聚焦中文网络小说创作的AI辅助工具,解决网文作者从构思到变现的全流程痛点。AI扫榜、专属模板、全链路适配,助力新人快速上手,资深作者效率倍增。
- 6102次使用
-
- MagicLight
- MagicLight.ai是全球首款叙事驱动型AI动画视频创作平台,专注于解决从故事想法到完整动画的全流程痛点。它通过自研AI模型,保障角色、风格、场景高度一致性,让零动画经验者也能高效产出专业级叙事内容。广泛适用于独立创作者、动画工作室、教育机构及企业营销,助您轻松实现创意落地与商业化。
- 4820次使用
-
- golang MySQL实现对数据库表存储获取操作示例
- 2022-12-22 499浏览
-
- 搞一个自娱自乐的博客(二) 架构搭建
- 2023-02-16 244浏览
-
- B-Tree、B+Tree以及B-link Tree
- 2023-01-19 235浏览
-
- mysql面试题
- 2023-01-17 157浏览
-
- MySQL数据表简单查询
- 2023-01-10 101浏览

