-
- Golang 框架的最新趋势和发展
- 随着Go语言的不断发展,其框架也在不断发展。当前趋势包括:微服务架构和Kubernetes集成(例如使用GIN构建微服务)、对NoSQL数据库的支持(例如使用MongoDriver与MongoDB交互)、API网关和GraphQL使用(例如使用ApolloServer创建GraphQLAPI)。这些趋势提高了Go框架的可扩展性、数据处理能力和API管理能力。
- Golang · Go教程 | 1年前 | golang 框架 484浏览 收藏
-
- 在 Golang 中实现流处理的最佳方式?
- 在Golang中实现流处理的最佳方式视需求而定:通道:轻量级、阻塞式通信,适合小规模数据。io.Reader和io.Writer:用于处理来自文件、网络或其他流的数据。ApacheBeam:大规模数据处理管道的高级抽象。
- Golang · Go教程 | 1年前 | golang 流处理 484浏览 收藏
-
- 初学者必知的 Go 框架
- 对于Go开发初学者,必备的五个框架包括:Echo:高性能、可扩展的Web框架Gin:轻量、快速、支持多种格式的Web框架GORM:易用的ORM,支持多种数据库GorillaToolkit:实用程序库,提供路由、会话管理等功能Viper:简单的配置库,支持多种格式
- Golang · Go教程 | 1年前 | 框架 Go 484浏览 收藏
-
- golang 框架如何管理并发和同步?
- Golang框架通过以下方式管理并发和同步:并发:使用goroutine实现,允许在单个进程中并行运行任务。同步:使用Channel、Mutex等原语协调并发任务,确保对共享资源的正确访问。实战案例:goroutine池可优化并发应用程序性能,减少goroutine创建和销毁开销。
- Golang · Go教程 | 1年前 | 同步 并发 484浏览 收藏
-
- golang框架在高并发场景中的消息队列应用
- Go框架在高并发中的消息队列应用:1.消息队列框架推荐:NATS:高性能、开源消息队列,支持负载均衡。RabbitMQ:功能丰富、高可靠性。Kafka:分布式流处理平台,适合大数据实时处理。2.实战示例:创建基于NATS的消息队列应用程序:生产者:发送100条消息到“test”主题。消费者:订阅“test”主题,接收并打印消息。
- Golang · Go教程 | 1年前 | 消息队列 高并发 484浏览 收藏
-
- Golang 框架性能优化的代码重构技巧
- 为了优化Golang框架性能,可采用以下代码重构技巧:避免重复HTTP处理:使用中间件或路由分组减少创建和销毁处理程序的开销。使用缓存:通过内存、文件或数据库缓存HTTP响应,避免重复或昂贵的计算。使用并发并行:利用goroutine和WaitGroup提高并发性并行处理任务,提升应用程序性能。
- Golang · Go教程 | 1年前 | golang 代码重构 484浏览 收藏
-
- 如何使用 Go 匿名函数模拟 JavaScript 的箭头函数?
- Go中的匿名函数可以模拟JavaScript箭头函数的功能,语法为func(parameters)expression。具体功能包括:1.简写函数体,2.自动返回表达式;实战示例:将JavaScript箭头函数constsum=(x,y)=>x+y;转换为Go匿名函数为sum:=func(x,yint)int{returnx+y}。
- Golang · Go教程 | 1年前 | 484浏览 收藏
-
- Golang 函数的超时和重试策略
- Golang函数的超时和重试策略在分布式系统中,处理因网络问题或其他因素导致的失败至关重要。Go提供了内置功能来实现函数超时和重试策略。超时处理使用context包可以设置函数执行的超时。context包定义了Context接口,它提供了请求的取消和超时功能。import("context""log""time")//超时函数functimeoutFunc(ctxcontext.Context){//模拟长时间运行的任务f
- Golang · Go教程 | 1年前 | 重试策略 超时 484浏览 收藏
-
- 在 Golang 函数中如何处理错误的参数输入?
- Go函数中处理错误的参数输入:定义错误类型:创建自定义错误类型,表示无效的参数。参数验证:在函数体中检查参数是否有效。返回错误:如果参数无效,返回自定义错误类型。
- Golang · Go教程 | 1年前 | 484浏览 收藏
-
- 分布式存储时代,OSS Path 分路径还有必要吗?
- oss的path...
- Golang · Go教程 | 1年前 | 484浏览 收藏
-
- 如何使用Viper实现实时动态修改定时任务间隔?
- GO的Viper实时动态修改问题解答在使用Viper读取配置文件时,虽然能够动态获取到配置文件更改的值,但程序中的...
- Golang · Go教程 | 1年前 | 484浏览 收藏
-
- Go RPC 服务中 .pb.go 文件该如何放置?
- GoRPC服务的目录结构规划对于GoRPC...
- Golang · Go教程 | 1年前 | 484浏览 收藏
-
- 华硕主板电脑开机需要按F1解决教程
- 使用华硕主板的电脑在开机后出现提示按F1,这是怎么回事呢,相信很多用户都不知道。以下小编和大家分享一下导致电脑出现按F1才可以的原因分析和解决方法。开机出现按F1才能开机的原因如下:1、开机需要按F1可能是主板纽扣电池没电了,更换主板纽扣电池即可。2、例如提示CPUFANERROR,CPU散热器供电线连接错误,CPU散热器供电线连接到主板上CPU-FAN插座上。3、更多问题可能性:按F1才能进系统怎么办?电脑开机需要按f1才能进入系统的解决办法当然我们也可以直接屏蔽开机需要按F1键,比如华硕BIOS就有这
- Golang · Go教程 | 1年前 | f1 华硕主板 484浏览 收藏
-
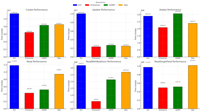
- 适用于 Golang 的新 PostgreSQL ORM:企业版
- 为什么我们需要一个新的orm?实际上有一些不错的orm可用,但它们只是不能满足我的需求。那我想要什么?高性能架构即代码静态输入和生成的api代码生成的文件较少简单实用简单的rawsql使用连接关系时单个数据库命中过滤器目前我还不能说企业在我提到的所有事情上都做得很好。但它的目的就是这样做。那么让我们看看企业是做什么的。高性能您可以在此处查看基准测试源代码。https://github.com/mrsametburgazoglu/go-orm-benchmarks/tree/enterprise如您所见,企
- Golang · Go教程 | 1年前 | 484浏览 收藏
-
- GOST-DOM如何避免进行HTTP调用
- 本文介绍了GOST-DOM的实现,这是一个用Go语言编写的无头浏览器。Go语言编写的Web应用程序非常易于测试。Web应用程序为单个功能ServeHTTP提供HTTP请求。测试代码只需调用此函数即可测试Web应用程序的行为,但仍然可以通过HTTP请求、响应、头信息、主体和状态码来表示测试,而不是控制器方法调用。GOST-DOM充分利用了这一点,原因如下:性能:测试只需调用Go代码,避免了TCP堆栈的开销。隔离:消除了管理TCP端口的需求,极大地简化了测试隔离。这是最重要的部分,虽然不阻
- Golang · Go教程 | 1年前 | 484浏览 收藏
查看更多
课程推荐
-
- 前端进阶之JavaScript设计模式
- 设计模式是开发人员在软件开发过程中面临一般问题时的解决方案,代表了最佳的实践。本课程的主打内容包括JS常见设计模式以及具体应用场景,打造一站式知识长龙服务,适合有JS基础的同学学习。
- 543次学习
-
- GO语言核心编程课程
- 本课程采用真实案例,全面具体可落地,从理论到实践,一步一步将GO核心编程技术、编程思想、底层实现融会贯通,使学习者贴近时代脉搏,做IT互联网时代的弄潮儿。
- 516次学习
-
- 简单聊聊mysql8与网络通信
- 如有问题加微信:Le-studyg;在课程中,我们将首先介绍MySQL8的新特性,包括性能优化、安全增强、新数据类型等,帮助学生快速熟悉MySQL8的最新功能。接着,我们将深入解析MySQL的网络通信机制,包括协议、连接管理、数据传输等,让
- 500次学习
-
- JavaScript正则表达式基础与实战
- 在任何一门编程语言中,正则表达式,都是一项重要的知识,它提供了高效的字符串匹配与捕获机制,可以极大的简化程序设计。
- 487次学习
-
- 从零制作响应式网站—Grid布局
- 本系列教程将展示从零制作一个假想的网络科技公司官网,分为导航,轮播,关于我们,成功案例,服务流程,团队介绍,数据部分,公司动态,底部信息等内容区块。网站整体采用CSSGrid布局,支持响应式,有流畅过渡和展现动画。
- 485次学习
-
- Golang深入理解GPM模型
- Golang深入理解GPM调度器模型及全场景分析,希望您看完这套视频有所收获;包括调度器的由来和分析、GMP模型简介、以及11个场景总结。
- 474次学习
查看更多
AI推荐
-
- ChatExcel酷表
- ChatExcel酷表是由北京大学团队打造的Excel聊天机器人,用自然语言操控表格,简化数据处理,告别繁琐操作,提升工作效率!适用于学生、上班族及政府人员。
- 4217次使用
-
- Any绘本
- 探索Any绘本(anypicturebook.com/zh),一款开源免费的AI绘本创作工具,基于Google Gemini与Flux AI模型,让您轻松创作个性化绘本。适用于家庭、教育、创作等多种场景,零门槛,高自由度,技术透明,本地可控。
- 4576次使用
-
- 可赞AI
- 可赞AI,AI驱动的办公可视化智能工具,助您轻松实现文本与可视化元素高效转化。无论是智能文档生成、多格式文本解析,还是一键生成专业图表、脑图、知识卡片,可赞AI都能让信息处理更清晰高效。覆盖数据汇报、会议纪要、内容营销等全场景,大幅提升办公效率,降低专业门槛,是您提升工作效率的得力助手。
- 4459次使用
-
- 星月写作
- 星月写作是国内首款聚焦中文网络小说创作的AI辅助工具,解决网文作者从构思到变现的全流程痛点。AI扫榜、专属模板、全链路适配,助力新人快速上手,资深作者效率倍增。
- 6108次使用
-
- MagicLight
- MagicLight.ai是全球首款叙事驱动型AI动画视频创作平台,专注于解决从故事想法到完整动画的全流程痛点。它通过自研AI模型,保障角色、风格、场景高度一致性,让零动画经验者也能高效产出专业级叙事内容。广泛适用于独立创作者、动画工作室、教育机构及企业营销,助您轻松实现创意落地与商业化。
- 4826次使用

